





train 데이터에서 2개를 뽑아서 2개를 섞어줌


뉴럴네트워크의 weight를 0으로 바꿔주는 것 dropout
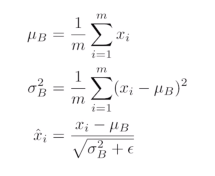
내가 적용하고자 하는 layer에 statistics를 정교화시키는것


torchvision
import torchvision.datasets as dsets
...
# root: 파일의 위치,
# train: True-train set False-test set,
# transform: 데이터를 불러올때 어떤 transform을 사용할 것인가?
## ToTensor: 이미지는 (높이,너비,채널) -> 파이토치의 채널, 높이,너비 순서로 바꿔줌
mnist_train = dsets.MNIST(root="MNIST_data/", train=True, transform=transforms.ToTensor(),
download=True)
mnist_test = dsets.MNIST(root="MNIST_data/", train=False, transform=transforms.ToTensor(),
download=True)
# DataLoader: 어떤 데이터를 로더할꺼냐?
# batch_size: 데이터를 불러올떄 몇개씩 잘라올래?
# shuffle: 무작위를 불러올래? 원래 순서대로 불러올래?
# drop_last: 배치사이즈에 맞게 불러올때 숫자가 맞지 않는 뒷 데이터는 어떻게 할래?(True: 사용하지 않음)
data_loader = torch.utils.DataLoader(DataLoader=mnist_train, batch_size=batch_size,
shuffle=True, drop_last=True)
...
for epoch in range(training_epochs):
...
for X, Y in data_loader: # x: 이미지 데이터 Y:label 데이터
# reshape input image into [batch_size by 784]
# label is not one-hot encoded
X = X.view(-1, 28 * 28).to(device)
## batch size, 1(크기), 28(높이), 28(너비) -> batch size, 784
# MNIST data image of shape 28 * 28 = 784
# 10(output):minist는 10개의 라벨을 사용한다.
linear = torch.nn.Linear(784, 10, bias=True).to(device)
# initialization
torch.nn.init.normal_(linear.weight)
# parameters
training_epochs = 15
batch_size = 100
# define cost/loss & optimizer
criterion = torch.nn.CrossEntropyLoss().to(device) # Softmax is internally computed.
# linear.parameters() -> biase, weight
optimizer = torch.optim.SGD(linear.parameters(), lr=0.1)
for epoch in range(training_epochs):
avg_cost = 0
total_batch = len(data_loader)
for X, Y in data_loader:
# reshape input image into [batch_size by 784]
# label is not one-hot encoded
X = X.view(-1, 28 * 28).to(device)
optimier.zero_grad()
hypothesis = linear(X) # 분류결과를 얻을 수 있음
cost = criterion(hypothesis, Y) # 분류결과와 정답 라벨을 CrossEntropy을 구해서 cost 구함
cost.backward() # 그래디언트를 계산
optimizer.step() # 업데이트 진행
avg_cost += cost / total_batch
print("Epoch: ", "%04d" % (epoch+1), "cost =", "{:.9f}".format(avg_cost))
# Test the model using test sets
With torch.no_grad(): #grad 계산하지 않겠다
X_test = mnist_test.test_data.view(-1, 28 * 28).float().to(device)
Y_test = mnist_test.test_labels.to(device)
prediction = linear(X_test) # 예측한 결과를 받음
correct_prediction = torch.argmax(prediction, 1) == Y_test # 정답 테이블과 예측값이 일치하냐?
accuracy = correct_prediction.float().mean()
print("Accuracy: ", accuracy.item())
import matplotlib.pyplot as plt
import random
...
r = random.randint(0, len(mnist_test) - 1)
X_single_data = mnist_test.test_data[r:r + 1].view(-1, 28 *28).float().to(device)
Y_single_data = mnist_test.test_labels[r:r + 1].to(device)
print("Label: ", Y_single_data.item())
single_prediction = linear(X_single_data)
print("Prediction: ", torch.argmax(single_prediction,
1).item())
# 예측을 해본 이미지를 띄운다
plt.imshow(mnist_test.test_data[r:r + 1].view(28, 28),
cmap="Greys", interpolation="nearest")
plt.show()
예를 들어 압정을 던졌을 때, 바닥으로 떨어질지? 아님 압정 뾰족한 부분으로 떨어질지?





그렇다면 어떻게 Overfitting을 방지할 수 있을까?

















X = torch.FloatTensor([[0, 0], [0, 1], [1, 0], [1, 1]]).to(device)
Y = torch.FloatTensor([[0], [1], [1], [0]]).to(device)
# nn layers => nn.linear 2개를 사용했다
w1 = torch.Tensor(2, 2).to(device)
b1 = torch.Tensor(2).to(device)
w2 = torch.Tensor(2, 1).to(device)
b2 = torch.Tensor(1).to(device)
def sigmoid(x):
# sigmoid function
return 1.0 / (1.0 + torch.exp(-x))
# return torch.div(torch.tensor(1), torch.add(torch.tensor(1.0), torch.exp(-x)))
def sigmoid_prime(x): # 시그모이드 미분
# derivative of the sigmoid function
return sigmoid(x) * (1 - sigmoid(x))
for step in range(10001):
# forward
l1 = torch.add(torch.matmul(X, w1), b1)
a1 = sigmoid(l1)
l2 = torch.add(torch.matmul(a1, w2), b2)
Y_pred = sigmoid(l2)
#binary cross Entropy
cost = -torch.mean(Y * torch.log(Y_pred) + (1 - Y) * torch.log(1 - Y_pred))
for step in range(10001):
# forward
...
# Back prop (chain rule)
# Loss( #binary cross Entropy) derivative
# 1e-7 -> 0으로 나눠지는 것을 방지하기 위해서
d_Y_pred = (Y_pred - Y) / (Y_pred * (1.0 - Y_pred) + 1e-7)
# Layer 2
d_l2 = d_Y_pred * sigmoid_prime(l2) # 시그모이드에 대한 미분 사용
d_b2 = d_l2 # bias에 대한 미분
# matmul: 매트릭스 곱
# transpose -> matrix의 transpose와 비슷 ex) 10 X 5 -> 5 X 10
d_w2 = torch.matmul(torch.transpose(a1, 0, 1), d_b2) # weight에 대한 미분
# Layer 1
d_a1 = torch.matmul(d_b2, torch.transpose(w2, 0, 1))
d_l1 = d_a1 * sigmoid_prime(l1)
d_b1 = d_l1
d_w1 = torch.matmul(torch.transpose(X, 0, 1), d_b1)
for step in range(10001):
# forward
...
# Back prop (chain rule)
...
# Weight update
w1 = w1 - learning_rate * d_w1
b1 = b1 - learning_rate * torch.mean(d_b1, 0)
w2 = w2 - learning_rate * d_w2
b2 = b2 - learning_rate * torch.mean(d_b2, 0)
if step % 100 == 0:
print(step, cost.item())
X = torch.FloatTensor([[0, 0], [0, 1], [1, 0], [1, 1]]).to(device)
Y = torch.FloatTensor([[0], [1], [1], [0]]).to(device)
# nn layers (Multi Layer Perceptron)
linear1 = torch.nn.Linear(2, 2, bias=True)
linear2 = torch.nn.Linear(2, 1, bias=True)
sigmoid = torch.nn.Sigmoid()
model = torch.nn.Sequential(linear1, sigmoid, linear2, sigmoid).to(device)
# define cost/loss & optimizer
criterion = torch.nn.BCELoss().to(device)
optimizer = torch.optim.SGD(model.parameters(), lr=1)
for step in range(10001):
optimizer.zero_grad()
hypothesis = model(X)
# cost/loss function
cost = criterion(hypothesis, Y)
cost.backward()
optimizer.step()
if step % 100 == 0:
print(step, cost.item())
X = torch.FloatTensor([[0, 0], [0, 1], [1, 0], [1, 1]]).to(device)
Y = torch.FloatTensor([[0], [1], [1], [0]]).to(device)
# nn layers
linear1 = torch.nn.Linear(2, 10, bias=True)
linear2 = torch.nn.Linear(10, 10, bias=True)
linear3 = torch.nn.Linear(10, 10, bias=True)
linear4 = torch.nn.Linear(10, 1, bias=True)
sigmoid = torch.nn.Sigmoid()