Multi-variable Linear Regression
import tensorflow as tf
from tensorflow.keras import layers, Sequential
import numpy as np
import matplotlib.pyplot as plt
tf.__version__
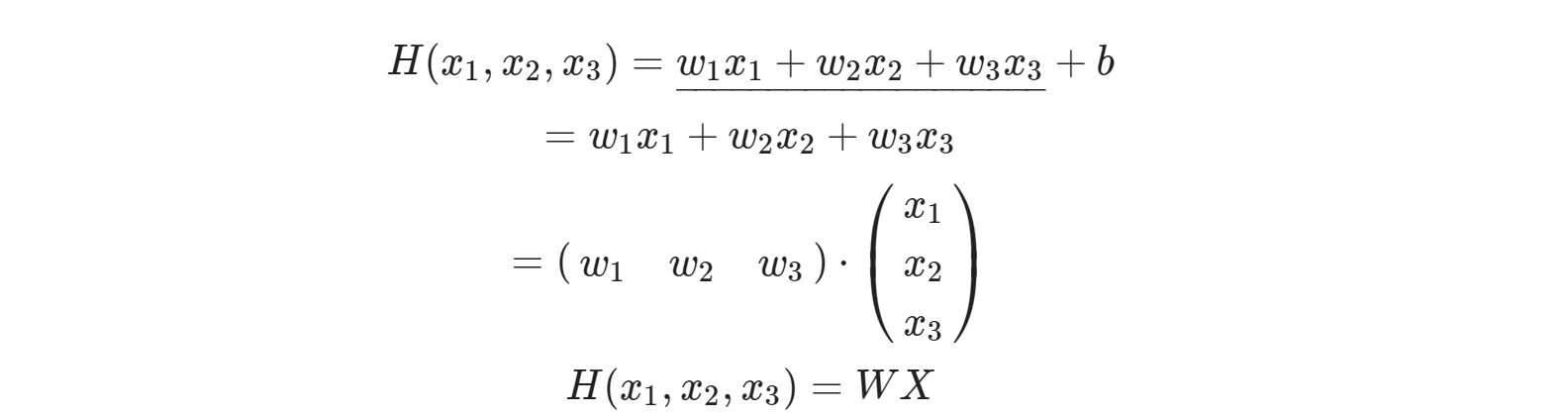
Hypothesis

x_data = [
[1., 0., 3., 0., 5.],
[0., 2., 0., 4., 0.]
]
y_data = [1, 2, 3, 4, 5]
W = tf.Variable(tf.random.normal([1, 2], -1.0, 1.0))
b = tf.Variable(tf.random.normal([1], -1.0, 1.0))
print(np.array(x_data).shape, np.array(y_data).shape, W.shape, b.shape)
learning_rate = tf.Variable(0.001)
for i in range(100):
with tf.GradientTape() as tape:
hypothesis = tf.matmul(W, x_data) + b
cost = tf.reduce_mean(tf.square(hypothesis - y_data))
W_grad, b_grad = tape.gradient(cost, [W, b])
W.assign_sub(learning_rate * W_grad)
b.assign_sub(learning_rate * b_grad)
if i % 10 == 0:
print("step: {:3} \t cost: {:5.4f} \t w[0][0]: {:5.4f} \t w[0][1]: {:5.4f} \t b: {:5.4f}".format(
i, cost.numpy(), W.numpy()[0][0], W.numpy()[0][1], b.numpy()[0]))
Test Score

Hypothesis using matrix

data = np.array([
[ 96., 91., 99., 194. ],
[ 88., 85., 82., 181. ],
[ 78., 77., 73., 177. ],
[ 67., 66., 61., 164. ],
[ 55., 51., 53., 157. ]
], dtype=np.float32)
X = data[:, :-1]
print(X.shape)
y = data[:, [-1]]
print(y.shape)
W = tf.Variable(tf.random.normal([3, 1]))
b = tf.Variable(tf.random.normal([1]))
learning_rate = 0.00001
def predict(X):
return tf.matmul(X, W) + b
print("epoch | cost")
n_epochs = 1000
for i in range(n_epochs):
with tf.GradientTape() as tape:
cost = tf.reduce_mean((tf.square(predict(X) - y)))
W_grad, b_grad = tape.gradient(cost, [W, b])
W.assign_sub(learning_rate * W_grad)
b.assign_sub(learning_rate * b_grad)
if i % 100 == 0:
print("{:5} | {:10.4f}".format(i, cost.numpy()))
데이터를 기반으로예측해보자
def predict(X):
return tf.matmul(X, W) + b
predict(X).numpy()
W
predict([[ 89., 95., 92.],[ 84., 92., 85.]]).numpy()
with Tensorflow
data = np.array([
[ 96., 91., 99., 194. ],
[ 88., 85., 82., 181. ],
[ 78., 77., 73., 177. ],
[ 67., 66., 61., 164. ],
[ 55., 51., 53., 157. ]
], dtype=np.float32)
X = data[:, :-1]
y = data[:, [-1]]
dataset = tf.data.Dataset.from_tensor_slices((X, y))
dataset = dataset.batch(batch_size=1)
model = Sequential([
layers.Dense(1, activation='linear')
])
model.compile(optimizer='adam',
loss='mse',
metrics=['mse'])
model.fit(dataset, epochs=1000)
tf.keras.utils.plot_model(model, show_shapes=True)

test_loss, test_mae = model.evaluate(X, y, verbose=0)
print('Test MSE:', test_mae)
for x, y in dataset:
print(x)
print(y)
print(model(x))
break