You are given the root of a binary search tree (BST) and an integer val.
Find the node in the BST that the node's value equals val and return the subtree rooted with that node. If such a node does not exist, return null.
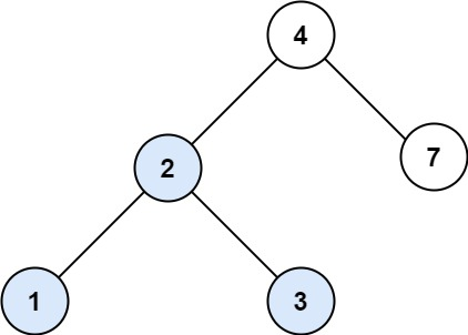
Example 1:

Input: root = [4,2,7,1,3], val = 2
Output: [2,1,3]
Example 2:

Input: root = [4,2,7,1,3], val = 5
Output: []
Use Binary Tree characteristic
if bigger, go right
smaller, go left
same, return
class Solution:
def searchBST(self, root: Optional[TreeNode], val: int) -> Optional[TreeNode]:
node = root
while True:
if not node or val == node.val:
return node
if val > node.val:
node = node.right
else:
node = node.left
36/36 cases passed (68 ms)
Your runtime beats 75.32 % of python3 submissions
Your memory usage beats 24.49 % of python3 submissions (18.6 MB)
Your solution for finding a node in a Binary Search Tree (BST) with a given value is efficient and leverages the properties of a BST effectively. The iterative approach makes it straightforward and avoids the stack space overhead of recursion. However, the use of an infinite loop (while True) can be replaced with a condition that directly reflects the termination criteria of the loop, making the code slightly more readable and explicitly safe.
Here's a slightly optimized version of your code:
class Solution:
def searchBST(self, root: Optional[TreeNode], val: int) -> Optional[TreeNode]:
node = root
while node:
if val == node.val:
return node
elif val < node.val:
node = node.left
else:
node = node.right
return None # Explicitly return None if the value is not found
In this revised version:
while loop condition is directly tied to the existence of the current node, which is more intuitive than while True. It stops when node becomes None, which happens when you've reached a leaf node's child or if the initial root is None.return None at the end is explicit, making it clear that the function returns None if the value is not found in the BST. This enhances code readability and understanding, although it's functionally the same as your original code since a Python function returns None by default if no return statement is executed.