c_10.log
로그인
c_10.log
로그인
[AIAS] 2. Machine Learning Basic Mathematics
c_10.log
·
2023년 5월 23일
팔로우
0
Deep Learning
Machine Learning 💻
목록 보기
2/9
본 내용은 인하대학교 정보통신공학과 홍성은 교수님의 인공지능응용 강의내용을 기반으로 작성한 내용입니다.
선형대수(Linear Algebra)
Tensor
다차원 Array
벡터와 행렬의 일반화
Tensor in Computer Vision
컬러 이미지는 3차원 Tensor로 표현 (H x W x RGB)
Vector
물리에서는 방향을 가지는 vector
숫자 → 공간화
3차원에서 점으로 표현
Vector Operations
벡터합(Addition)
벡터차(Subtraction)
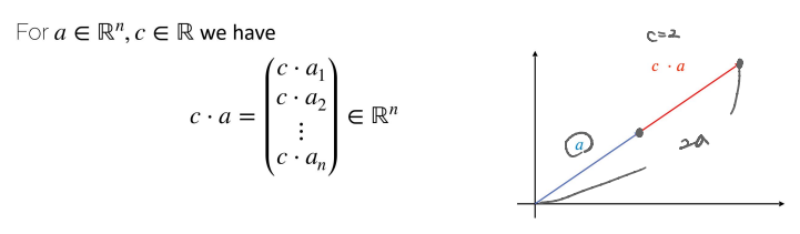
스칼라 곱(Scalar Multiplication)
내적(Dot Product)
- 교환법칙 성립
- 각 벡터 크기의 cos(사잇각) 곱과 같음
- 직교할 때 내적은 0이 됨.
Matrix
축이 2개인 행렬
미분(Derivatives)
확률과 통계
c_10.log
팔로우
이전 포스트
[AIAS] 1. Introduction to Machine Learning
다음 포스트
[AIAS] 3. Supervised Learning
0개의 댓글
댓글 작성