7.1 Introduction
마르코프 체인(Markov Chain)을 연속 시간(Continuous-Time)으로 확장
- 상태 간 전이 (Transition) + 각 상태에서 머무르는 시간 (Duration) 고려
중요 개념
- Markov Property는 기억이 없는 특성(Memorylessness)을 가진다. 즉, 현재 상태만이 미래 상태를 결정하며, 과거 상태는 영향을 주지 않는다.
- 연속시간 마르코프 체인의 경우, 각 상태에서 머무르는 시간은 지수 분포(Exponential Distribution)를 따른다.
- 상태의 순서를 보면 이산시간 마르코프 체인(Discrete-Time Markov Chain)과 유사하지만, 머무는 시간을 고려하면 연속시간 마르코프 체인과 차이가 생김.
예제
💡
Markov Transition Function
연속시간 확률 과정 Xt가 마르코프 체인이 되려면 다음을 만족해야 합니다.
즉, 미래 상태는 현재 상태에만 의존하며, 과거 상태는 영향을 주지 않는다.

연속시간 마르코프 체인은 보통 시간-동질적(Time-Homogeneous)입니다. 즉, 전이 확률이 시간에 따라 변하지 않는다는 의미입니다. 시작 시점인 s에 의존하지 않는다.

이러한 성질 덕분에 마르코프 과정의 전이 확률을 P(t)라는 transition function로 표현 가능합니다.
Pij(t)=P(Xt=j∣X0=i)
주의
P(t) vs P~
- P(t): transition function
- 시간 t가 지났을 때 상태 i에서 상태 j로 도달할 확률을 나타냄
- transition matrix for a discrete-time Markov chain과 비슷한 properties를 갖는다 → Chapman-Kolmogorov Equation
- P~
- 단순한 상태 간 전이 확률을 나타내며, 시간 개념이 없음
💡
Chapman-Kolmogorov Equations
연속시간 마르코프 체인의 전이 확률이 어떻게 시간에 따라 연결되는지를 설명하는 핵심 방정식

의미: 시간 s 후 상태 i에서 k로 갈 확률과, 다시 k에서 j로 갈 확률을 모두 합하면, 직접 i에서 j로 갈 확률과 동일해야 한다.
증명
Example 7.1 Poisson process
Holding Times and Embedded Chains
- Time-homogeneity + Markov Property ⇒ distribution of the length of time that a continuous time chain stays in state i before transitioning to a new state
💡
Holding Times are Exponentially Distributed
- Ti: holding time at state i, length of time that a continuous time Markov chain started in i stays in i before transitioning to a new state
- Ti ~ Exponential distribution
증명
qi: 상태 i에서의 전이율
E[Ti]=qi1
0<qi<∞
(1) 흡수 상태 (Absorbing State)
- 만약 qi=0이라면, 해당 상태에 영원히 머무른다.
- 즉, 다른 상태로 절대 전이하지 않음 → Absorbing State (흡수 상태).
(2) 폭발 상태 (Explosive State)
- 만약 qi→∞라면, 해당 상태에서 즉시 다른 상태로 전이.
- 즉, 도착하자마자 떠남 → Explosive State (폭발 상태).
- 이 경우, 무한히 많은 전이가 유한한 시간 내에 일어날 수도 있어서 비정상적인 과정.
일반적인 과정
- 현재 상태 i에서 머무르는 시간은 지수 분포 Exp(qi)를 따른다.
- 평균적으로 1/qi 단위 시간 동안 머무른다.
- 다음 상태 j로 확률 pij에 따라 전이한다.
- j에서 다시 머무르고, 다음 상태로 전이하는 과정이 반복됨.
즉, 각 상태에서 평균 1/qi시간 동안 머무르고, pij확률로 다음 상태로 이동하는 과정이 무한히 반복됨.
Embedded Chain:
- 연속시간 마르코프 체인의 상태 전이만을 보면, 이산시간 마르코프 체인처럼 보일 수 있다.
- 이때 얻어지는 이산시간 마르코프 체인을 Embedded Chain (내재된 체인)이라고 부른다.
- Embedded Chain의 transition matrix Pij~=pij. diagonal entries: 0
7.2 Alarm clocks and transition rates
- 연속시간 마르코프 체인은 각 상태에서 머무르는 시간과 상태 간 전이 확률을 모두 고려해야 함.
- 이를 쉽게 이해하는 방법이 Exponential Alarm Clock (지수 알람 시계) 모델.
Exponential Alarm Clock
- 각 상태 i에서 전이할 수 있는 상태 j마다 독립적인 알람 시계가 있음.
- 알람 시계 (i,j)는 지수 분포를 따르는 랜덤한 시간 후에 울림.
- 처음 울리는 알람 시계가 다음 상태를 결정.
- 현재 상태 i에 도착하면, 모든 가능한 전이 (i,j)에 대해 독립적인 지수 분포 시계가 동시에 시작됨.
- 이 시계들은 서로 다른 속도 qij를 가지며, 각 시계는 Exp(qij) 분포를 따름.
- 가장 먼저 울리는 시계가 다음 상태를 결정.
- 상태가 j로 바뀌면, 다시 새로운 시계들이 동시에 시작됨.
- 이 과정이 계속 반복되면서 연속시간 마르코프 체인이 진행됨.
qij: transition rates of the continuous time process. i→j로 가는 속도
여기서 transition rate로 알 수 있는 것: Holding Time parameters & Embedded chain transition probabilities
- qi
- 첫번째 알람이 울렸다고 하자. time of the first alarm: minimum of independent exponential random variables with parameters qi1,qi2
- 이 최소값은 지수 분포 Exp(qi)를 따름
💡
여기서 qi=∑kqik
- 즉, 상태 i에서 떠나는 총 속도는 가능한 모든 전이율의 합.
- pij
- 상태 i에서 떠날 때, 다음 상태가 j일 확률은 알람 시계 (i,j)가 가장 먼저 울릴 확률과 같음.
- 내재된 체인(Embedded Chain)의 전이 확률은 전체 전이율 중에서 특정 전이율이 차지하는 비율.
Example 7.4
Example 7.5
7.3 Infinitesimal Generator
개요
- 연속시간 마르코프 체인(CTMC)에서 transition function P(t)의 변화율 = rate of change을 분석하는 것이 중요함.
- 이 변화율을 나타내는 행렬이 Q (무한소 생성자, Infinitesimal Generator)이다.
- Q 행렬은 상태 간 전이율을 담고 있으며, 전이 확률과 직접적인 관계가 있음.
P(t)→Q 유도하기
Pij(t)
- Pij(t)=P(Xt=j∣X0=i): 상태 i에서 시작하여 t 시간 후에 상태 j로 이동할 확률.
- 초기 상태에서 즉시 전이할 확률은 다음과 같음:
Instantaneous transition rate of hitting j if Xt=i
Q
- Qii=−qi
- Qij=qij
- not stochastic matrix (diag entries are negative, entries can be greater than 1, rows sum to 0)
Example 7.6
Example 7.7
pij와 Q의 관계
- Embedded Chain의 전이 확률 pij은 Q를 통해 유도할 수 있음
- 상태 i를 떠날 때 다음 상태가 j일 확률 (j=i)
limh→0+P(Xh=j∣X0=i,Xh=i)
조건부 분포 성질을 이용해 변형
h→0+limP(Xh=i∣X0=i)P(Xh=j,Xh=i∣X0=i)
h→0+limP(Xh=i∣X0=i)P(Xh=j∣X0=i)
💡
Instantaneous Rates, Holding Times, Transition probabilities

Forward, Backward Equations
Q로부터 P(t) compute하기
P(t)을 시간에 따라 분석하려면,미분 방정식을 이용해야 한다.
💡
Kolmogorov Forward, Backward Equations


Forward: 미래의 상태 확률이 현재 상태 확률과 Q에 의해 결정됨.
Backward: 현재 상태 확률이 미래 상태 확률과 Q에 의해 결정됨.
7.4 Long Term Behavior
- Reminder - Discrete Markov Chain

충분히 많은 단계가 지나면 ( $n \to \infty$), 어떤 상태 i에서 시작하더라도 상태 j에 있을 확률이 $\lambda_j$라는 값으로 수렴한다. 초기 상태에 의존하지 않는 장기적인 행동을 의미
Let $X_0, X_1, \dots$be a Markov chain with transition matrix $P$.
A **limiting distribution** for the Markov chain is a probability distribution $\lambda$ with the property that for all i and j,
$$
⁍
$$





Limiting & Stationary Distribution
continuous-time markov chain에서도 discrete time markov chain과 비슷하게 limiting and stationary distribution이 정의된다.
💡
Limiting distribution

- 초기 상태 i가 무엇이든 간에 시간 t가 충분히 크면 상태 j에 있을 확률이 특정 값 πj로 수렴해야 한다.
A probability distribution π is the limiting distribution of a continuous-time Markov chain if for all states i and j,
t→∞limPij(t)=πj
💡
Stationary distribution

이는 특정 상태 j에 있을 확률이, 다른 모든 상태 i에서 j로 이동할 확률들의 가중합으로 나타낼 수 있어야 한다는 의미다.
limiting & stationary distribution의 관계
- limiting distribution is a stationary distribution
- however, converse is not necessarily true. 어떤 마르코프 연쇄에서는 정상 분포는 존재하지만, 시간이 무한히 지나도 극한 분포로 수렴하지 않을 수도 있다.
연속시간 마르코프 연쇄에서도 이산시간 마르코프 연쇄와 동일한 개념이 사용된다
-
accessibility: 상태 i에서 상태 j로 확률적으로 도달할 수 있는가
-
communication: 상태 i에서 상태 j로 도달할 수 있고, j에서 다시 i로도 도달할 수 있는가?
-
본질적으로 모든 state가 aperiodic
-
CTMC는 시간이 연속적이므로, 특정 주기로 상태가 반복되는 구조를 갖지 않는다.
-
이산시간 마르코프 연쇄에서는 특정 시간 단계에서만 상태가 반복될 수 있지만, 연속시간에서는 임의의 시간 t에서 전이(transition)가 발생할 수 있기 때문에 주기성(periodicity)이 존재하지 않는다.
💡
Lemma 7.1이 그 핵심적인 이론적 근거가 된다

연속시간 마르코프 연쇄(CTMC)에서 한 상태에서 다른 상태로 도달할 확률 Pij(t)이 한 번이라도 양수이면, 이후 모든 t>0에 대해 양수임을 의미. 특정 ij
직관적인 인해
- 만약 Pij(t)>0인 t가 존재한다면, i에서 j로 가는 경로가 존재한다는 의미다. embedded chain에서 일정한 시간 내에 i에서 j로 도달할 수 있는 가능성이 있다는 의미
- 그러면 그 경로를 여러 번 반복할 수 있으며, 이후의 어떤 t에서도 도달 가능성이 0이 될 수 없다.
- 결과적으로 Pij(t)가 한 번이라도 양수이면, 이후 모든 t>0에서도 양수가 된다.
- 즉, 이산시간 마르코프 연쇄에서 주기성이 발생하는 이유는 특정한 시간 간격에서만 상태로 돌아올 수 있기 때문이다. 그러나 연속시간 마르코프 연쇄에서는 한 번이라도 두 상태 간의 전이가 가능하면, 이후 모든 t>0에서 전이가 가능하다. 따라서 특정한 시간 간격(주기)으로만 상태가 반복되는 구조가 존재할 수 없다. 결과적으로 모든 상태가 본질적으로 비주기적(aperiodic)임을 보장할 수 있다.
-
irreducibility: 모든 상태가 서로 도달 가능
- 연속시간 마르코프 연쇄가 irreducible하려면, 모든 상태 i,j에 대해 어떤 t>0에 대해 Pij(t)>0이어야 한다. 즉, 어느 상태에서든지 다른 상태로 이동할 가능성이 있다면 irreducible이라고 본다.
- 연속시간 마르코프 연쇄에서 모든 holding time parameter(=qi)이 유한하다면, 다음 두 가지 경우 중 하나가 성립한다.
-
연쇄가 불기약(irreducible)하며, 모든 상태가 서로 연결됨 (모든 qi>0)
→ 즉, Pij(t)>0 for all i,j and t>0
→ 따라서 어떤 상태에서든 다른 상태로 이동할 확률이 항상 존재한다.
-
흡수 상태(absorbing state)가 하나 이상 존재하는 경우 (qi=0)
→ 이 경우 특정 상태로 이동하면 다시는 빠져나올 수 없다
Fundamental Limit Theorem
💡
Fundamental Limit Theorem
ergodic markov chain 복습
사실상 ergodic markov chain의 continuous time 버전

Let (Xt)t≥0 be a finite, irreducible, continuous-time Markov chain with transition function P(t). Then, there exists a unique stationary distribution π, which is the limiting distribution. That is, for all j,
limt→∞Pij(t)=πj,for all initial i
Equivalently,
limt→∞P(t)=Π
where Π is a matrix all of whose rows are equal to π.
Stationary Distribution and Generator Matrix의 관계
💡
Stationary Distribution and Generator Matrix

증명

이해
- 즉, πj는 시스템이 상태 j에 머무르는 평균적인 비율이다.
- 이는 이산시간 마르코프 연쇄에서 정상 분포가 "각 상태로의 전이 비율"을 나타내는 것과 유사하다.
(2) 왜 πQ=0인가?
- Q는 각 상태에서 다른 상태로 이동하는 속도를 나타내는 행렬이다.
- 정상 상태에서는 각 상태에서 나가는 전이율과 들어오는 전이율이 같아야 하므로 πQ=0이 성립한다.
- 즉, πQ 방정식은 시스템이 균형 상태에 도달했을 때, 순수한 변화가 없다는 것을 의미한다.
→ 설명
예제 Example 7.14
Eat, play, sleep


Absorbing state & mean time until absorption
absorbing state가 존재하는 경우, 시스템이 흡수 상태로 도달하는 데 걸리는 평균 시간을 구하는 방법을 설명
transient state에서 시작해서 gets absorbed and never returns to that state할 확률이 있음.
ai: expected time until absorption
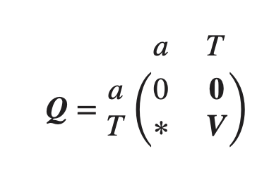
예시: absorbing continuous-time Markov chain on {1,…,k}. 이때 one absorbing state

- a: 흡수 상태에서 나가는 확률은 없으므로 0.
- ∗: transient state에서 absorbing state로 이동하는 속도
- V: transient → transient 로 이동하는 속도
💡
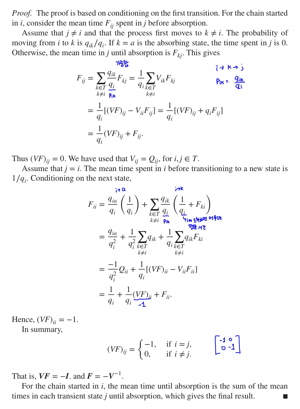
Mean time until absorption

- V는 transient 상태들 사이에서 전이율을 나타내므로, 이 행렬의 역행렬을 취하면 각 상태에서 보내는 평균 시간이 된다. 음수 부호는 전이율이 음수로 표현되기 때문
증명

예시

이 예제는 연속시간 마르코프 체인(CTMC) 을 이용하여 질병의 진행 과정을 모델링하는 방법을 설명합니다.
1. 모델 개요
- 다중 상태 마르코프 모델(multistate Markov model) 은 환자가 병의 여러 단계(상태)를 거쳐 진행하거나 회복하는 과정을 설명하는 데 사용됩니다.
- 특히, 환자가 특정 말기 상태(terminal state) 에 도달할 수 있으며, 이 상태는 흡수 상태(absorbing state) 로 간주됩니다.
2. 간 질환(Cirrhosis) 진행 모델
Bartolomeo et al. (2011)은 간경변증(Cirrhosis) 환자의 간 질환 진행 모델을 개발하였습니다.
이 모델에서는 3가지 상태(State) 가 존재합니다.
- 상태 1: 간경변증(Cirrhosis)
- 상태 2: 간암(Hepatocellular carcinoma, HCC)
- 상태 3: 사망(Death, 흡수 상태)
환자는 상태 1(간경변증)에서 상태 2(간암) 또는 상태 3(사망)으로 전이될 수 있으며,
상태 2(간암)에서는 상태 3(사망)으로만 전이됩니다.