
프로그램 , 프로세스, 스레드란?파일이 저장 장치에 저장되어 있지만 메모리에는 올라가 있지 않은 정적인 상태 \- 메모리가 올라가 있지 않은 : 아직 운영체제가 프로그램에서 독립적인 메모리 공간을 할당해주지 않았다는 뚯으로, 모든 프로그램은 운영체제가 실행되기 위한

오늘은 정처기 공부할 때 ,무지성으로 외우기만 했던 OSI7계층을각 층이 어떤 역할을 하는지 공부해보겠습니다.네트워크란?: 컴퓨터나 기타 기기들이 리소스를 공유하거나 데이터를 주고 받기 위해 유선 혹은 무선으로 연결된 통신 체계를 말한다.기능들애플리케이션 목적에 맞는

오늘은 OWASP Top 10 취약점에 대해 알아볼 것입니다.1\. 인젝션 공격( Injection ): 인젝션 공격은 신뢰할 수 없는 데이터를 명령 또는 쿼리에 삽입하여 애플리케이션이 사용자가 제공한 데이터에 대해 유효성 검사 ,필터링 또는 검사를 실행하지 않아 의도

컴퓨터는 명령어를 실행해 데이터를 처리하는 기계다. 모든 정보는 0/1 비트로 표현된다. 메모리에 올린 명령어·데이터를 CPU가 읽어 ALU/레지스터/제어장치로 처리하고, 결과는 버스를 통해 메모리·I/O·보조기억장치와 오간다 — 이것이 컴퓨터 동작의 기본 원리이다.

고급 언어 ↔ 저급 언어, 컴파일 vs 인터프리트 차이 명령어 = 연산코드 + 오퍼랜드, 대표 연산군만 묶음 주소지정 핵심: 즉시·레지스터·메모리(직접/간접)·베이스+오프셋/인덱스·PC상대·자동증감

ALU는 레지스터에서 피연산자를 받아 제어장치의 제어 신호대로 연산을 수행하고, 결과와 플래그(부호·제로·캐리·오버플로우·인터럽트·슈퍼바이저)를 갱신한다. 제어장치는 명령어 해석·제어 신호 생성·흐름 제어를 담당하며, 클럭을 기준으로 단계별 동작을 맞춘다.

CPU 성능을 높이기 위해서는 기본적으로 클럭 속도를 높이거나, 명령어를 실행하는 핵심 부품인 코어의 수를 늘리는 방식이 사용된다. 현대 CPU는 여러 코어를 포함한 멀티코어 구조로 발전했으며, 각 코어는 동시에 여러 하드웨어 스레드를 처리해 병렬성을 높인다.

RAM은 휘발성 메모리로 DRAM(주기억장치)과 SRAM(캐시 메모리)로 나뉜다. DRAM은 값이 자연 소멸되어 주기적 새로고침이 필요하며 저렴하고 대용량 구조에 적합하다.

하드디스크(HDD)는 회전하는 플래터에 자성을 기록하는 기계식 저장장치로, 트랙·섹터 같은 구조를 가지고 있으며 데이터 접근 시 헤드 이동(탐색 시간)과 회전 지연 때문에 속도가 느리다.

입출력장치는 컴퓨터와 외부 세계(사용자, 저장장치, 네트워크 등) 사이에서 데이터를 주고받는 장치이다. CPU와 속도·동작 방식이 크게 달라 이를 효율적으로 관리하기 위해 운영체제의 제어와 중재가 필요하다.

1.운영체제란? 운영체제는 실행할 프로그램에 필요한 자원을 할당하고 프로그램이 올바르게 실행되도록 돕는 특별한 프로그램이다. 컴퓨터 하드웨어와 소프트웨어를 관리하고, 사용자와 컴퓨터 사이를 중재하는 핵심 프로그램이다.

프로세스는 실행 중인 프로그램을 의미하며, 포그라운드/백그라운드 프로세스로 나뉜다.

운영체제가 프로세스들에 공정하고 합리적으로 CPU 자원을 배분하는 것이다.

동시다발적으로 실행되는 프로세스들은 서로 협력하며 영향을 주고 받는다 . 이 과정에서 자원의 일관성을 보장해야한다.→ 프로세스나 스레드는 동시에 실행되면서 공유 자원(변수, 파일, 메모리 등) 을 사용한다.

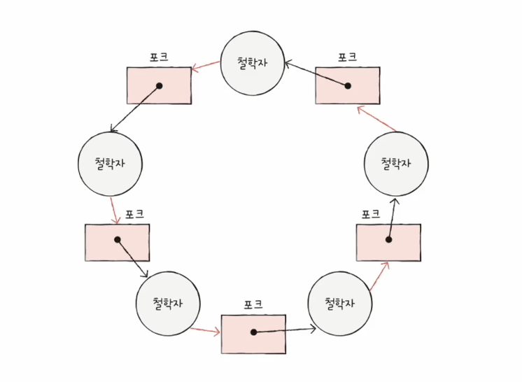
교착상태(Deadlock)는 두 개 이상의 프로세스가 서로가 가진 자원을 기다리며 아무도 진행하지 못하는 상태로, 자원 할당 관계를 나타내는 그래프에서는 보통 원형 형태로 나타난다.

연속 메모리 할당은 프로세스에 연속된 물리 메모리 공간을 배정하는 방식으로, 스와핑을 통해 사용되지 않는 프로세스를 디스크로 옮겨 RAM 공간을 확보할 수 있지만 속도가 느린 디스크를 사용하기 때문에 성능 저하(스래싱)가 발생할 수 있다.

요구 페이징은 프로그램 전체를 메모리에 올리지 않고 필요한 페이지만 메모리에 적재하는 방식으로, CPU가 접근하려는 페이지가 메모리에 없으면 페이지 폴트가 발생하고, 운영체제가 해당 페이지를 디스크에서 가져와 적재한 뒤 다시 실행을 이어간다.

파일 시스템은 운영체제 내부에서 파일과 디렉터리를 생성·삭제·읽기·쓰기 등으로 관리하는 핵심 프로그램이다.

컴퓨터 네트워크란? 여러 개의 장치가 마치 그물처럼 서로 연결되어 정보를 주고받을 수 있는 통신망 네트워크는 그래프라는 자료구조 형태를 가지고 있다. 컴퓨터들이 서로 대화할 수 있게 선이나 무선으로 연결된 통신망입니다. 네트워크의 네트워크 , 인터넷 여러

이더넷 (1) 이더넷과 연결 매체 이더넷 현대 LAN,특히 유선 LAN 환경에서 가장 대중적으로 사용되는 기술이다 물리 계층에서는 사용되는 케이블 → 이더넷 규격이 다르다 다양한 통신 매체의규격 ,송수신되는 프레임의 형태 , 프레임을 주고받는 방법 등이 정의

네트워크 계층은 IP 주소를 활용해 데이터 링크 계층의 한계인 타 네트워크 경로 파악과 호스트 특정 문제를 해결합니다. IPv4는 주소 지정과 더불어 패킷을 MTU 크기에 맞춰 쪼개는 단편화 기능을 수행하며, 주소 고갈 문제를 해결하기 위해 128비트 체계의 IPv6가

주소 지정은 IP 주소로 이루어진다IP 주소의 구조 : 크게 네트워크 주소와 호스트 주소로 구성된다네트워크 주소네트워크를 표현하는 부분이다