
Gemini 2.5라...

RAG, MCP에 대하여

강화학습 스터디 1주차

강화학습 스터디 2주차

Open WebUI + Ollama 을 왜 쓰는지 그리고 어떻게 설치하는지에 대한 내용

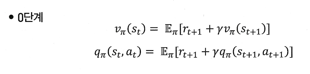
강화학습 스터디 3주차

Stanford CME295 Transformers & LLMs | Autumn 2025 | Lecture 2 - Transformer-Based Models & Tricks

Stanford CME295 Transformers & LLMs | Autumn 2025 | Lecture 3 - Tranformers & Large Language Models를 보고 공부한 후 노션에 정리한 내용

Stanford CME295 Transformers & LLMs | Autumn 2025 | Lecture 4 - LLM Training를 보고 공부한 후 노션에 정리한 내용 :