Simons 알고리즘을 주기를 찾는 문제입니다.
다음과 같이 2 to 1 함수가 있다고 합시다.
2 to 1 이란건 항상 두 인풋이 쌍으로 같은 값을 가리킨다는 뜻입니다.

이때 헷갈릴 수 있는데 여기서 주기는 단순 덧셈이 아니라 bitwise xor 연산입니다.
8개 인풋이 있고 2개가 같은 값을 가리키는 주기가 있다고 하면 항상 4칸씩 떨어져야 하고 그런거 아닌가? 라고 생각할 수 있는데 xor이기 때문에 사실상 모든 값이 주기가 될 수 있습니다.
xor 성질을 이용해보면
만약 n=3일때 주기 a = 110이라고 합시다.
그러면
이렇게 쌍으로 각자 주기가 성립되고 a= 6으로 4보다 큰 값인 임의의 값인데도 주기가 될 수 있음을 보여줍니다.
아무튼 그래서 주기가 될 수 있는 가능성은 0을 제외한 라고 할 수 있습니다.
원래 이 함수의 주기를 찾기 위해선 그냥 다 계산해보고 운좋게 같은 값을 가진 두쌍을 찾길 바라는 것이 최선입니다. 대충 연산이 필요하다고 합니다.
Simons 이런 지수함수 복잡도를 n번으로 줄여줍니다.!
그리고 뒤에 나오는 Shors 알고리즘에도 많은 영향을 줍니다. Shors도 주기를 찾는 문제입니다..
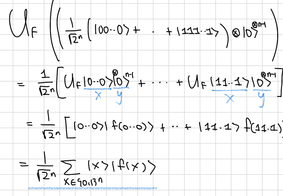
Simons 알고리즘의 첫 단계입니다.
n개의 으로 superposition을 만드는 것 까지는 별개 없습니다.
특이한 점은 를 저장하는 곳이 기존에는 보통 1비트 이였는데
이제는 입니다.
당연한게 지금까지 DJ나 Deutsch 알고리즘에서는 의 결과가 또는 이였지만 지금은 2 to 1 이라서 총 개의 서로다른 결과 값이 존재할 수 있기 때문에 을 저장하기 위해서는 비트가 필요합니다.


그래서 Uf를 지나고 나면 다음과 같이 모든 n비트 x에 대해서 그 결과 f(x)가 n-1 비트에 저장되어서 superposition상태로 나오게 됩니다.
여기까지는 기존과 비슷합니다.
여기서부터 중요한데
우리는 이미 모든 x가 짝꿍이 있고 그 짝꿍과 f(x) 값이 같단걸 압니다.
그래서 식을 다르게 쓸 수 있는데

이렇게 다르게 쓸 수 있습니다. 와 값이 같으니 저렇게 쓰는게 가능하고 근데 그렇게 하면 각 2개씩 중복되니 2로 나눠줍니다.
여기서 우리가 마지막 n-1 비트 즉 을 측정해서 값을 확인했다고 칩시다.
그러면 그거에 해당하는 x는 뭘까요?
딱 두가지 가능성이 공존합니다. 왜냐면 2 to 1이기 때문에.
그래서 x는 저렇게 2개의 상태가 superposition 형태로 존재하게됩니다.
그래서 만약 측정하면 한번은 한번은 가 나올겁니다.
쉽게 이해해서 가 주어지면 아직 하나의 로 특정할 수는 없고 아직 두개의 가능성이 공존한다고 생각하면됩니다.
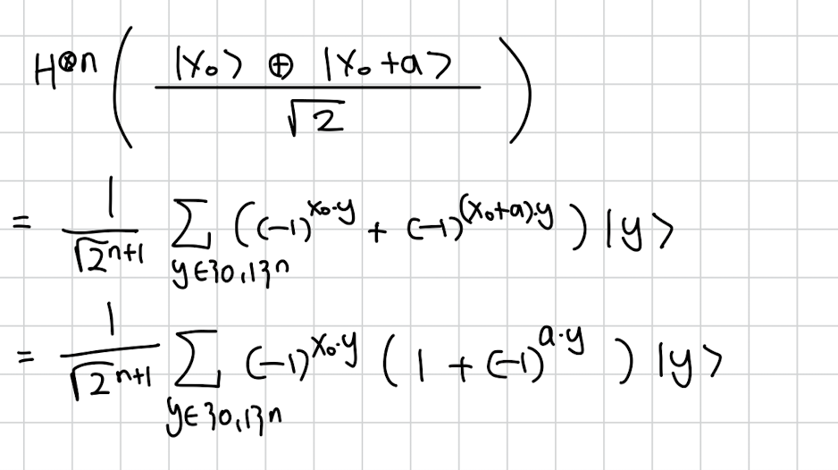
여기서 그럼 이제 Hadamard를 씌워봅시다

여기서 이 저렇게 로 펼쳐지는건 이전에 배웠던 BV알고리즘을 참고하면 이해하기 편합니다
간단히 설명하면 ,
에 H를 씌웠고 그걸 전개한 겁니다. 에서 인 지점에서는 부호가 변해야 하고 인 지점에서는 부호가 그대로여야 합니다. 그걸 만족시키도록 y의 부호를 조절하면 저렇게 됩니다. y가 이 1인 지점과 얼마나 겹치는지 카운트 하고 겹치는 갯수가 홀수 짝수냐에 따라 부호가 달라지니까 부호가 변하는게 반영되게 됩니다.

정리하자면 2개의 superposition 상태를 Hadamard를 이용해 다시 각각
2^n개의 superposition 상태로 바꿨습니다.

여기서 a와 y의 내적값은 mod 2 연산이라서 두가지 경우로 나눌 수 있습니다.
내적이 0일때만 생존하고 1일때는 제거되는걸 확인할 수 있습니다.
따라서 우리는 결국 a와 내적한 값이 0 mod 2인 y만 남습니다.
여기서 그럼 a를 구하는 법은,,,?
간단하게도
그냥 관측을 n번 이상 하면 됩니다.
그럼 y가 여러개 나올거고 그 측정한 y들은 모두 a랑 내적하면 0입니다.
그럼 우리는 n개의 방정식을 풀면 a를 가질 수 있을 겁니다.
근데 물론 조건은 우리가 구한 n개의 y가 서로 independent해야 하단겁니다.
예를 들어 y를 첫번째 측정한거랑 2번째 측정한거랑 4번째 측정한거랑 같다면,,, 서로 다른 n개의 방정식이 아니니까 풀리진 않겠죠...
보통 그래서 n번이 아니라 n+ m번 정도 한답니다.
아무튼 
이렇게 선형 방정식을 세워서 a를 구할 수 있게 됩니다.