기존의 2 stage detector은 localization, classification을 나누어서 진행하기 때문에 속도가 매우 느리다. 따라서 real-time으로 object detection task를 잘 실행하기 위해서 고안된 것이 이 모든 것을 한 번에 처리하는 1 stage detector이다. 특히 1 stage detector는 영역을 추출하지 않고 전체 이미지를 보기 때문에 객체에 대한 맥락적 이해가 높다.
1 stage detector의 예시로 YOLO 모델이 있다. YOLO (You Only Look Once)는 GoogLeNet을 변형하여 object detection task에 사용했으며, 24개의 convolution layer를 이용해서 특징을 추출하고, 2개의 Fully-Connected (FC) layer를 통과하며 box의 좌표값과 확률을 계산한다.
입력 이미지를 7 7 grid로 나눈 후 각 grid마다 2개의 bounding box 좌표 (, , , )와 confidence score (= ), 해당 클래스일 확률 (conditional class probability = )을 계산한다. 그 후 NMS algorithm을 활용하여 가장 적절한 bbox를 도출한다.

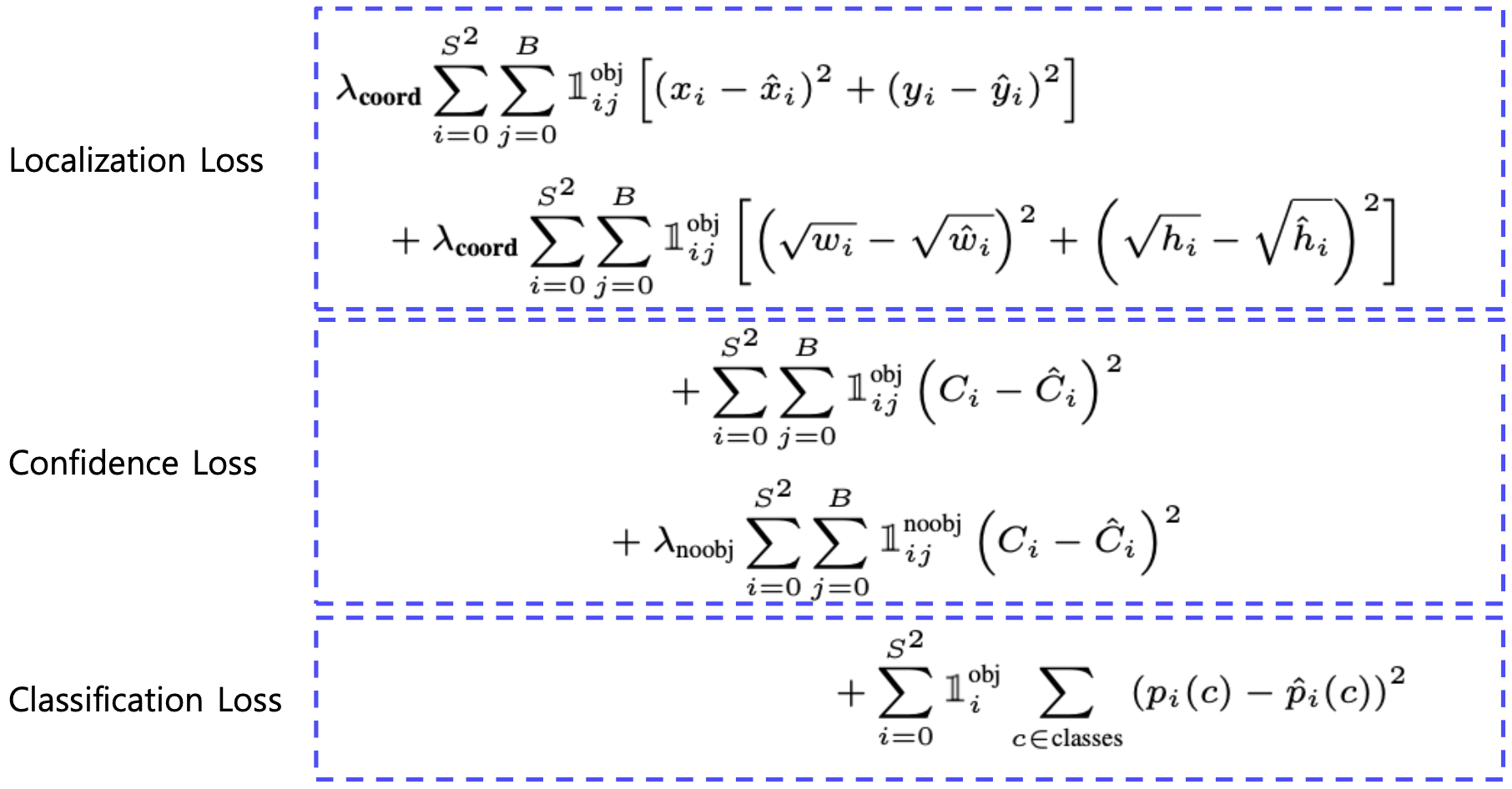
loss function은 위와 같이 localization loss, confidence loss, classification loss로 이루어져 있다.
YOLO는 다른 real-time detector에 비해 정확도가 2배 높았고 이미지 전체를 보기 때문에 맥락적 정보를 가지고 있다는 장점이 있다. 그러나 grid보다 작은 크기의 물체는 detection할 수 없고, 신경망을 통과하며 마지막 feature만 사용하기 때문에 정확도가 하락한다는 단점이 있다.
Single Shot Multibox Detector (SSD)는 VGG16을 backbone으로 사용하고 extra convolution layer에서 나온 6개의 서로 다른 스케일의 feature map에서 detection을 수행한다. 큰 feature map에서는 (→ early stage feature map) 작은 물체를 detection하고, 작은 feature map에서는 (→ late stage feature map)에서는 큰 물체를 detection한다.
서로 다른 스케일과 aspect ratio을 가진 미리 계산된 default anchor box를 사용해서 object의 위치를 예측한다. 이 논문에서는 feature map의 각 셀마다 6개의 default box를 만들어서 그 안의 class score를 계산한다.
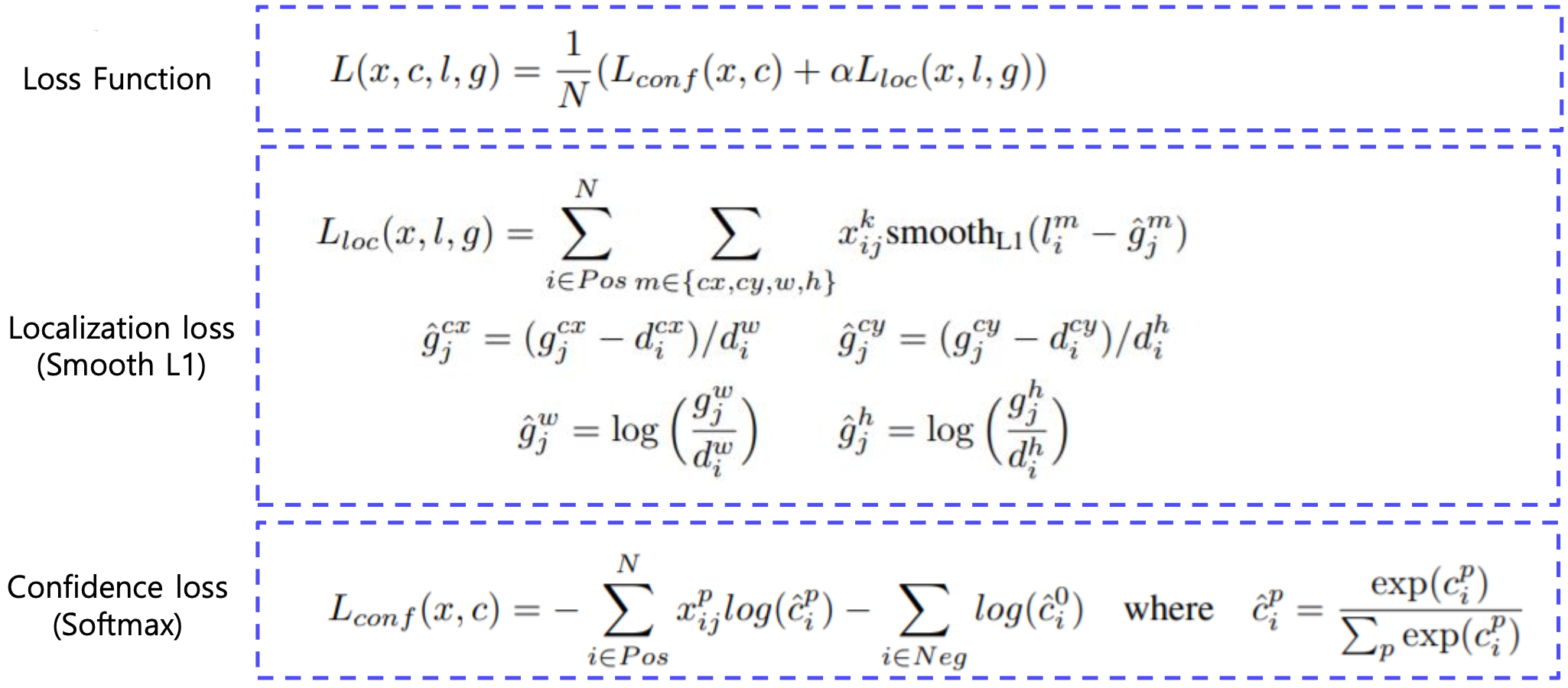
학습 과정에서는 hard negative mining과 non maximum suppression을 사용하고, luss function은 localization loss와 confidence loss로 이루어져 있다.

보다 빠르고 정확도가 높은 detector의 필요성이 대두되고 있는 상황에서, YOLO v4가 많은 실험을 거쳐 하나의 GPU에서 훈련할 수 있는 빠르고 정확한 object detector로 발돋움하게 되었다.
어떻게 YOLO v4가 정확도와 속도를 향상시켰는지 방법을 살펴보자.
inference 비용을 늘리지 않고 정확도를 향상시키는 방법이다.
inference 비용을 조금 높이지만 정확도가 크게 향상하는 방법이다.
Attention module
feature map에 global attention을 추가해주는 방법이다. context 관점에서 상대적으로 더 중요한 feature map에 집중할 수 있도록 해준다.
ex) SE, CBAM
Feature integration
= feature map을 통합 = Neck
Activation function
약간의 음수를 허용하는 Swish/Mish
Post-processing method
불필요한 bbox 제거 (→ NMS)
YOLO v4는 1) 작은 물체를 검출하기 위한 큰 네트워크 입력 사이즈, 2) 입력 사이즈 증가로 큰 receptive field (+ 많은 layer), 3) 하나의 이미지에서 다양한 크기의 물체 검출을 위한 큰 모델 용량에 집중하여 모델을 개발했다.

2 stage detector들은 region proposal에서 background sample들을 제거하지만, 1 stage detector들은 anchor box의 대부분이 background에 해당하는 negative sample이다. 따라서 class의 대부분을 background가 차지하는 class imbalance 문제가 생기게 된다.
이를 해결하기 위해서 RetinaNet은 focal loss를 도입했다. focal loss는 cross entropy loss에 scaling factor를 도입하여, 쉬운 예제에는 작은 가중치를 부여하고 어려운 예제에는 큰 가중치를 부여하여 어려운 예제에 집중하도록 만드는 것이다. 이를 이용하면 배경에 대한 과도한 학습을 방지하고 실제 객체에 대한 학습 성능을 높일 수 있다.
기존에 사용하던 feature pyramid는 classification task를 위해 설계된 것이라 object detection을 수행하기에는 충분하지 않은 면도 있다. 게다가 feature map은 single-level layer로서 single-level의 정보만 나타낸다. 이는 즉 하나의 feature map 내에서도 복잡한 외형과 간단한 외형을 탐지하는 데 성능 차이가 발생한다는 것이다. (보통 하위 level의 feature은 간단한 외형, 상위 level의 feature는 복잡한 외형을 잘 찾는다.)
따라서 M2Det은 multi-scale (→ 다양한 크기의 객체 탐지) 뿐만 아니라 multi-level (→ 단순 ~ 복잡까지 다양한 외형 탐지) 를 다루는 feature pyramid인 MLFPN을 고안하였다.

전체적인 architecture는 위 그림과 같다.
이 architecture가 동작하면 결과적으로 multi-level, multi-scale feature map을 얻게 된다. shallow level에서는 단순한 외형, deep level에서는 복잡한 외형을 잘 찾을 수 있으므로 M2Det을 이용하여 다양한 크기의 물체 뿐만 아니라 다양한 외형의 물체를 모두 잘 탐지할 수 있게 된다.
기존의 object detection 모델들은 anchor box를 만들어 물체를 탐지하는 것에 이용하였지만 anchor box의 수가 굉장히 많이 나오고, 또 대부분이 배경인 negative sample이라 class imbalance 문제가 생긴다. 또, anchor box와 관련된 하이퍼 파라미터 (개수, 사이즈, 가로세로 비 등)를 고려하는 것도 까다로운 문제이다.
그래서 CornerNet에서는 anchor box 없이, 물체가 있을 법한 위치의 top-left, bottom-right 점을 이용하여 객체를 검출하는 방법을 고안했다.

전체적인 architecture는 위 그림과 같다.
이외에도
등이 있다.