[Mathematical Statistics] 6.1 Maximum likelihood methods

박경민·2024년 10월 3일
0

[Mathematical Statistics]

목록 보기
20/24

6 Maximum likelihood methods (최대 가능도 방법)

6.1 Maximum likelihood estimation (최대 가능도 추정)

이 절에서는 최대 가능도 방법을 recall 하고 이전보다 더 다양한 mle 찾기에 대해 논의할 것이다. 먼저 MLE 최대 가능도 추정이 무엇이었는지 recall 하자.

Recall. Let X1,,XnX_{1}, \ldots, X_{n} be r.s. from a distribution with pdf1f(x;θ)(θΩR\operatorname{pdf}^{1} f(x ; \theta)(\theta \in \Omega \subset \mathbb{R}.) Also, let X=(X1,,Xn)T\mathbf{X}=\left(X_{1}, \ldots, X_{n}\right)^{T} and x=(x1,,xn)T\mathbf{x}=\left(x_{1}, \ldots, x_{n}\right)^{T} represent the whole sample and its realization.

여기서 가정하는 상황은 모수 공간에서 모수가 1개인 경우다. (분포를 지배하는 모수가 여러개인 경우가 더 많으나 여기선 하나라고만 제한했다.) 세타를 true parameter 로 하는 pdf 에서 iid로 뽑은 random sample 이 있다고 하자. 이들의 뽑은 후 값은 realization 이라고 하였고, 이를 바탕으로 아래 함수들이 정의되었다.

(추가🤔)
나중에 다시 다룰 기회가 있을지 모르지만, 어떤 분포를 다루는 모수가 존재하고 이 pdf 에서 sample 들이 나왔다고 하는 건 매우 강한 가정이다. 왜냐? 현실세계에선 데이터를 얻어도 이 데이터들이 어떤 분포를 따르는지 단박에 알기 어렵고 사실상 "all models wrong, some are useful" 의 의미를 따라야하기 때문이다. 그러나, 어떤 알고 있는 pdf 를 가정할 경우, 그 모수를 추정하는 여러 추정량, 추정 방법 중 MLE 는 매우 강력한 도구이다. 그 이유도 이 포스트에서 다룰 것이다.

  • Likelihood function(가능도함수) L(θ;x)L(θ):=i=1nf(xi;θ)L(\theta ; \mathbf{x}) \equiv L(\theta):=\prod_{i=1}^{n} f\left(x_{i} ; \theta\right).
  • Log-likelihood function(가능도함수) l(θ):=logL(θ)=i=1nlogf(xi;θ)l(\theta):=\log L(\theta)=\sum_{i=1}^{n} \log f\left(x_{i} ; \theta\right)

가능도 함수는 주어진 true parameter theta에서 표본이 추출되었을 때, 각 x1...xn 표본을 관찰할 확률을 theta에 대해 표시한 것이다. 예컨대 true paramter 가 아닌 다른 세타값을 넣으면 (다른 세타값을 넣는다는 것은 그 세타를 가정했을 때 표본의 관찰할 확률을 계산하는 것과 같다.), true parameter 와 비교해 가능도함수 값이 떨어질 것이다.

  • Maximum likelihood estimator (최대가능도추정량) of the true parameter θ\theta given sample X\mathbf{X} :
    θ^MLE:=argmaxθΩL(θ;X)=argmaxθΩl(θ;X).\widehat{\theta}^{\mathrm{MLE}}:=\underset{\theta \in \Omega}{\operatorname{argmax}} L(\theta ; \mathbf{X})=\underset{\theta \in \Omega}{\operatorname{argmax}} l(\theta ; \mathbf{X}) .

우리가 궁금한 것은 항상 데이터가 주어졌을 때 이들이 따르는 분포, 분포의 모수가 무엇인지 값으로 밝혀내는 것이었다. 다른 말로 true parameter 와 근접하도록 이들을 추정하는 추정량을 계산해야 하고, by definition 에 따라 가능도 함수를 최대화하는 최대화원 세타를 MLE 추정량이라 한다. 왜냐? 가능도함수는 서로 다른 세타에 대해 그 관찰 확률을 값으로 계산하는데.. 그 값이 최대가 된다는 건 추정한 세타가 true parameter 에 가까워졌다는 뜻이기 때문이다.

이 절에서 보이고 싶은 것들을 증명하기 위해 아래의 theorem 이 필요하다.
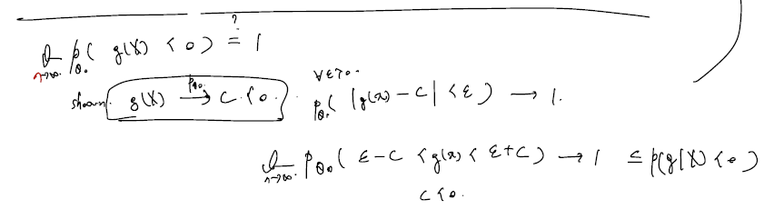
Theorem Assume that θ0\theta_{0} is the true parameter and that Eθ0[f(X1;θ)/f(X1;θ0)]E_{\theta_{0}}\left[f\left(X_{1} ; \theta\right) / f\left(X_{1} ; \theta_{0}\right)\right] exists. Under R0 and RI,

limnPθ0[L(θ0;X)>L(θ;X)]=1, for all θθ0\lim _{n \rightarrow \infty} P_{\theta_{0}}\left[L\left(\theta_{0} ; \mathbf{X}\right)>L(\theta ; \mathbf{X})\right]=1, \text { for all } \theta \neq \theta_{0}

직관적으로 해석 가능한 정리로, θ0\theta_{0} denote the true value of θ\theta 라 했을 때 서로 다른 세타 사이에서 true theta 가 주어질 때 데이터를 관측할 확률이 이와 다른 세타가 주어질 때 확률보다 크다는 것, 클 확률이 n이 커질수록 1이라는 것이다. 이를 증명하기 위해 다음의 정칙성명하기 위해 다음의 정칙성 조건이 필요하다. (복잡하게보단 가볍게 알아두자.)

Assumption (Regularity Conditions). Regularity conditions (RO)-(R2) are
(R0)(R 0) The cdfs are distinct; i.e., θθF(;θ)F(;θ)\theta \neq \theta^{\prime} \Rightarrow F(\cdot ; \theta) \neq F\left(\cdot ; \theta^{\prime}\right)., 모수가 다르면 cdf 에서 값이 달라지는 x가 무조건 존재한다. 역으로, cdf 가 어떤 점 x에서 값이 다르다면 모수가 다르다. (counter example; N(μ+ϵ,1)N(\mu+\epsilon, 1) 일 때 (\mu, epsilon) 이 각각 0 + 0 인 경우와 -1+1 인 경우.
(R1) The pdfs have common support for all θ\theta., X의 supprot 는 theta에 depend 하진 않는다. (counter example; U(0,θ)U(0, \theta) 인 경우)
(R2) The point θ0\theta_{0} is an interior point in Ω\Omega.,d차원 real 에 존재한다. 경계에 있지 않다.

다시 theorem 을 증명해보자.

[1]

[2]

[보충]

Example 1 (Exponential distribution)

Example (Exponential distribution). Let X1,XnX_{1}, \cdots X_{n} be r.s. from Exp(θ)\operatorname{Exp}(\theta) with θ>0\theta>0, i.e.

f(x;θ)=1θex/θ,x>0f(x ; \theta)=\frac{1}{\theta} e^{-x / \theta}, \quad x>0

Find the MLE of θ\theta.
(sol1)

l(θ)=nlogθ1θxil(θ)=nθ+1θ2xi=nθ+nxˉθ2l(θ)=0θ^=Xˉ\begin{aligned} l(\theta)= & -n \log \theta-\frac{1}{\theta} \sum x_{i} \\ l^{\prime}(\theta)= & -\frac{n}{\theta}+\frac{1}{\theta^{2}} \sum x_{i}=-\frac{n}{\theta}+\frac{n \bar{x}}{\theta^{2}} \\ & l^{\prime}(\theta)=0 \Rightarrow \widehat{\theta}=\bar{X} \end{aligned}

Since l(θ)>0l^{\prime}(\theta)>0 for θ<Xˉ\theta<\bar{X} and l(θ)<0l^{\prime}(\theta)<0 for θ>Xˉ\theta>\bar{X} (check!), θ^=Xˉ\widehat{\theta}=\bar{X} is the MLE of θ\theta.

한 번 미분해서 0이 되는 점은 표본평균이고, 표본평균을 기준으로 세타가 왼쪽 또는 오른쪽에 있을 경우에 증감을 따져볼 순 있으나.. 아래처럼 아예 치환을 하면 두 번 미분하기 좋을 것이다.

(sol2) Let η=1/θ\eta=1 / \theta and q(η)=l(1/η)q(\eta)=l(1 / \eta). Since η=1/θ\eta=1 / \theta is a bijective mapping on R+\mathbb{R}^{+} to R+\mathbb{R}^{+}, the maximization of q(η)q(\eta) is equivalent to the maximization of l(θ)l(\theta). Then,

q(η)=nlogηηxiq(η)=nηxi(q(η)=0η^=1/xˉ)q(η)=nη2<0 for all η>0\begin{aligned} q(\eta)= & n \log \eta-\eta \sum x_{i} \\ q^{\prime}(\eta)= & \frac{n}{\eta}-\sum x_{i} \\ & \left(\therefore q^{\prime}(\eta)=0 \Rightarrow \widehat{\eta}=1 / \bar{x}\right) \\ q^{\prime \prime}(\eta)= & -\frac{n}{\eta^{2}}<0 \text { for all } \eta>0 \end{aligned}

Thus, q(η)q(\eta) is uniquely maximized at η^=1/xˉ\widehat{\eta}=1 / \bar{x} and so l(θ)l(\theta) is uniquely maximized at θ^=1/η^=xˉ.θMLE=Xˉ\widehat{\theta}=1 / \widehat{\eta}=\bar{x} . \quad \therefore \theta^{\mathrm{MLE}}=\bar{X}.

두 번 미분했더니 모든 에타 점에서 0보다 작으므로 위로 한 번 미분 =0 지점이 위로 볼록의 MLE 였음을 확실히 보일 수 있다. (uniquely maximied at sample mean)

Example 2 (doest not have closed form solution)

Example (Logistic distribution). Let X1,XnX_{1}, \cdots X_{n} be r.s. from pdf

f(x;θ)=e(xθ)(1+e(xθ))2,<x<,<θ<f(x ; \theta)=\frac{e^{-(x-\theta)}}{\left(1+e^{-(x-\theta)}\right)^{2}}, \quad-\infty<x<\infty, \quad-\infty<\theta<\infty

Find the MLE of θ\theta.
(sol)

l(θ)=nθi=1nxi2i=1nlog{1+e(xiθ)}l(θ)=n2ie(xiθ){1+e(xiθ)}l(θ)=2ie(xiθ){1+e(xiθ)}2<0 for all θ\begin{aligned} l(\theta) & =n \theta-\sum_{i=1}^{n} x_{i}-2 \sum_{i=1}^{n} \log \left\{1+e^{-\left(x_{i}-\theta\right)}\right\} \\ l^{\prime}(\theta) & =n-2 \sum_{i} \frac{e^{-\left(x_{i}-\theta\right)}}{\left\{1+e^{-\left(x_{i}-\theta\right)}\right\}} \\ l^{\prime \prime}(\theta) & =-2 \sum_{i} \frac{e^{-\left(x_{i}-\theta\right)}}{\left\{1+e^{-\left(x_{i}-\theta\right)}\right\}^{2}}<0 \text { for all } \theta \end{aligned}

한 번 미분, 두 번 미분해서 모든 세타에 대해 0보다 작은 위로볼록인 함수임이 드러났으나 한 번 미분 = 0 인 점이 계산이 되지 않는다. 그렇다면 MLE 의 unique solution 이 없는걸까? 그렇지 않다. l(θ)<0l^{\prime \prime}(\theta)<0 for all θR,limθl(θ)=\theta \in \mathbb{R}, \lim _{\theta \rightarrow-\infty} l^{\prime}(\theta)=\infty and limθl(θ)=\lim _{\theta \rightarrow \infty} l^{\prime}(\theta)=-\infty 이므로

MLE 해가 존재하고, 유일성을 지니나.. closed form 으로 적을 수 없는 case 에 속한다. 이 경우 아래의 Newton's method 를 써볼 수 있다. (2차테일러 전개)

θ^(t+1)θ^(t)l(θ^(t))/l(θ^(t))\widehat{\theta}^{(t+1)} \leftarrow \widehat{\theta}^{(t)}-l^{\prime}\left(\widehat{\theta}^{(t)}\right) / l^{\prime \prime}\left(\widehat{\theta}^{(t)}\right)

  • 첫 세타0에서 다음 세타1로 나아가기 위해 세타0에서 2차 테일러 전개한 후, 새로 쓴 함수에서 최소화원 세타1을 계산한다.
  • 이 방법을 반복적으로 하는 것을 세타를 update 한다고 하며, 최소화원을 찾는 방법 중 하나에 속한다.
  • 테일러 전개를 쓰는 이유는 테일러 전개가 곧 계산하고 싶은 (목표) 점의 위치를 (알고 있는) 다른 점의 위치, 1, 2차 미분으로 근사할 수 있다는 것이므로 motivation 이 같다.

Example 3 (prameter θ\thetaXiX_i 에 depend 하는 경우)

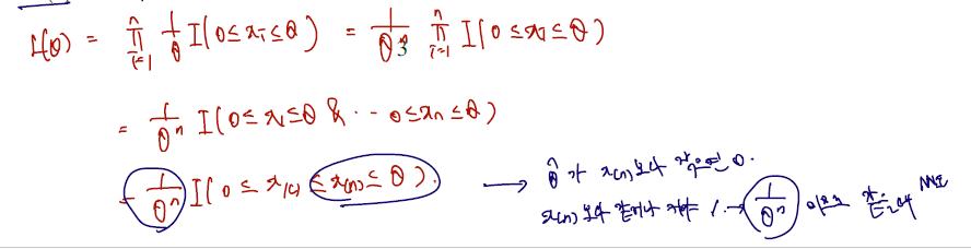
Example (Uniform distribution). Let X1,XnX_{1}, \cdots X_{n} be r.s. from U[0,θ]U[0, \theta], i.e,

f(x;θ)=1θI(0xθ),θ>0f(x ; \theta)=\frac{1}{\theta} I(0 \leq x \leq \theta), \quad \theta>0

Find the MLE of θ\theta.

  • Xn은 sample X의 n번째 순서통계량
  • 따라서 추정량 세타가 Xn 보다 작은 구간이 생기면 여기서 가능도함수 값이 0이니까 안되고..
  • 그렇다면 Xn 보다 같거나 커야 하는데 커질수록 decay 하는 형태이므로 정확히 같은 점에서 Likelihood 값이 최대가 됨.
  • 따라서 표본의 최댓값이 MLE

Example 4 (알려진 지식으로 parameter space 제한)

Example (Bernoulli distribution with restricted parameter space). Let X1,XnX_{1}, \cdots X_{n} be r.s. from B(1,θ)B(1, \theta) with 0θ130 \leq \theta \leq \frac{1}{3}. Find the MLE of θ\theta.
(sol)

L(θ)=θi=1nxi(1θ)ni=1nxi=θnxˉ(1θ)nnxˉL(\theta)=\theta^{\sum_{i=1}^{n} x_{i}}(1-\theta)^{n-\sum_{i=1}^{n} x_{i}}=\theta^{n \bar{x}}(1-\theta)^{n-n \bar{x}}

case1) If xˉ=0\bar{x}=0, 대입, then L(θ)=(1θ)nL(\theta)=(1-\theta)^{n} 이므로 0=min{xˉ,1/3}0=\min \{\bar{x}, 1 / 3\}, 0일 때 최대.
case2) if xˉ=1\bar{x}=1, 대입, then L(θ)=θnL(\theta)=\theta^{n} is maximized at 1/3=min{xˉ,1/3}1 / 3=\min \{\bar{x}, 1 / 3\}.
case3) Now, assume that xˉ(0,1)\bar{x} \in(0,1). 이때는 cancel 이 없으므로 함수 써야 함. 범위는 0<θ1/30<\theta \leq 1 / 3. So,

l(θ)=nxˉlogθ+(nnxˉ)log(1θ)l(θ)=nxˉθn1xˉ1θl(θ)=nxˉθ2n1xˉ(1θ)2<0 for all θ\begin{aligned} l(\theta) & =n \bar{x} \log \theta+(n-n \bar{x}) \log (1-\theta) \\ l^{\prime}(\theta) & =n \frac{\bar{x}}{\theta}-n \frac{1-\bar{x}}{1-\theta} \\ l^{\prime \prime}(\theta) & =-n \frac{\bar{x}}{\theta^{2}}-n \frac{1-\bar{x}}{(1-\theta)^{2}}<0 \text { for all } \theta \end{aligned}

또는 그려볼 수 있음.

  • 표본평균 < 1/3 인 경우, MLE 는 표본평균.

  • 표본평균 > 1/3 인 경우, MLE 는 1/3

  • min(표본평균, 1/3) 으로 정리

    Thus, θ^MLE=min{Xˉ,13}\widehat{\theta}^{\mathrm{MLE}}=\min \left\{\bar{X}, \frac{1}{3}\right\}


위에 다룬 예제들과 별개로 앞으로 사용할 MLE 에 관련한 정리들을 증명 없이 간단히 살펴보자.

(MLE functional invariance)
Theorem Let X1,,XnX_{1}, \ldots, X_{n} be iid with the pdf f(x;θ),θΩf(x ; \theta), \theta \in \Omega. For a specified function gg, let η=g(θ)\eta=g(\theta) be a parameter of interest. Suppose θ^\widehat{\theta} is the MLE of θ\theta. Then g(θ^)g(\widehat{\theta}) is the MLE of η=g(θ)\eta=g(\theta). i.e., g(θ)^MLE=g(θ^MLE)\widehat{g(\theta)}^{\mathrm{MLE}}=g\left(\widehat{\theta}^{\mathrm{MLE}}\right).

만약 θ^\widehat{\theta} is the MLE of θ\theta 라는 것이 이미 밝혀졌음에도 궁금하고 θ\theta 이외에도 이를 변환한 다른 모수 η=g(θ)\eta=g(\theta) 도 추정하고 싶다고 하자. 그렇다면, 다른 계산 없이 이미 밝혀둔 θ^\widehat{\theta} 를 변환 g에 집어넣은 g(θ^)g(\widehat{\theta}) 값이 η=g(θ)\eta=g(\theta)에 대한 MLE 라는 것이다.

Example. Let X1,XnX_{1}, \cdots X_{n} be r.s. from B(1,θ),θ(0,1)B(1, \theta), \theta \in(0,1). Then we know that θ^MLE=Xˉ\widehat{\theta}^{\mathrm{MLE}}=\bar{X}. So the MLE of θ(1θ)\theta(1-\theta), the variance of B(1,θ)B(1, \theta), is θ^MLE(1θ^MLE)=\widehat{\theta}^{\mathrm{MLE}}\left(1-\widehat{\theta}^{\mathrm{MLE}}\right)= Xˉ(1Xˉ)\bar{X}(1-\bar{X})

  • binomial 의 모수 세타의 MLE 가 표본평균이란 건 이미 알려진 사실이라고 할 때,
  • 이번엔 같은 모수 세타에 depend 하는 모분산이 궁금하다고 하면..
  • 모분산으로 넘어가는 변환 g를 표본평균에 대해 적용하면 그것이 모분산의 MLE 가 된다.

(MLE Consistency)

Theorem 6.1.3. Assume that X1,,XnX_{1}, \ldots, X_{n} satisfy the regularity conditions R0R 0 through R2R 2, where θ0\theta_{0} is the true parameter, and further that f(x;θ)f(x ; \theta) is differentiable with
respect to θ\theta in Ω\Omega. Then we have a solution θ^n\widehat{\theta}_{n} such that θ^nPθ0\widehat{\theta}_{n} \xrightarrow{P} \theta_{0}.

  • true parameter 가 interior 에 존재하고
  • pdf of x가 세타에 대해 미분가능하다면
  • 가능도함수에 대해 MLE 가 여럿이 존재하는 경우 그 중 true parameter 로 in probability 수렴하는 MLE 는 하나 존재한다는 것이다.
  • 다시말해, MLE 가 여러개라면 그 중 하나가 ture parameter 의 일치추정량이라는 것이다.

Corollary Assume that X1,,XnX_{1}, \ldots, X_{n} satisfy the regularity conditions R0R 0 through R2R 2, where θ0\theta_{0} is the true parameter, and that f(x;θ)f(x ; \theta) is differentiable with respect to θ\theta in Ω\Omega. Suppose the likelihood equation has the unique solution θ^n\widehat{\theta}_{n}. Then θ^n\widehat{\theta}_{n} is a consistent estimator of θ0\theta_{0}.

따라서 만약 가능도함수가 유일한 최대화원을 가진다면 그 최대화원이 true parameter 의 일치추정량이라는 것이다.

profile
Mathematics, Algorithm, and IDEA for AI research🦖

0개의 댓글