
확률집합함수와 성질 증명, 조건부확률, 독립

이산확률변수와 확률질량함수 | 연속확률변수와 확률밀도함수 | 누적분포함수 | Transformations

Expectation of r.v. | moment generating function | Important inequalities | Markov's | Chebyshev's | Jensen's

random vector | joint cdf, pmf, pdf | marginal cdf | joint mgf | transformation

(작성 중)

The correlation coefficient

Extension to several random variables | cdf, pmf, pdf of random vector | expectation and mgf of r.v | (작성 중)

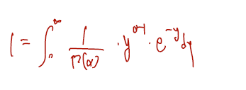
Gamma | Chi-squared | Beta | Normal distributions

multivariate (standard) normal distributions | spectral decomposition theorem | properties of MVN

t-distribution | F-distribution | student's theorem proof

Sample and statistics | Maximum likelihood estimation | motivation of MLE | Examples

confidence intervals | Central limit theorem (CLT)

order statistics | quantiles

null and alternative hypothesis | two types of errors | examples

일표본 z검정, 양측가설 | 일표본 t검정, 양측가설 | 이표본 등분산 t검정, 양측가설 | 카이제곱 검정

Convergence in probability | consistent estimator

Convergence in distribution | relationship with convergence in probability | Slutzky's theorem | counter example for additivity

bounded in probability | big-O and little-o | Big-O-p and little-o-p | delta-method

the proof of Central Limit Theorem (CLT)

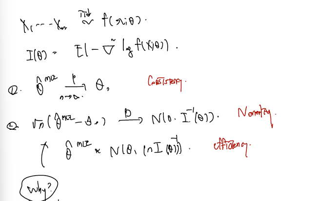
maximum likelihood estimation | finding MLE with different conditions | functional invariance of MLE | consistency of MLE

Bartlett identity | Score function | Fisher information | Rao-Cramer lower bound | Efficiency | Asymptotic efficiency/normality of MLE

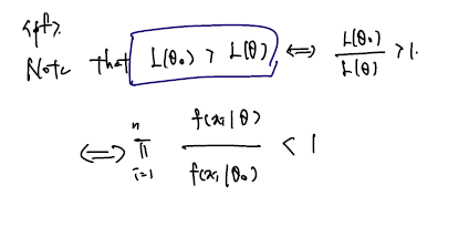
LRT Statistics | Likelihood ratio test | null distribution of LRT | Wald and score tests

Multiparameter case | LRT with multiparameter case | LRT interpretation of one sample T-test |

quadratic forms | distributions of certain quadratic forms | Independence between two quadratic forms