[Mathematical Statistics] 6.2 Rao-Cramer lower bound and efficiency

박경민·2024년 10월 6일
0

[Mathematical Statistics]

목록 보기
21/24

6.2 Rao-Cramer lower bound and efficiency

라오 크래머 하한은 본 확률 통계학 전체 내용 중 가장 중요한 내용이자 이전에 다룬 많은 사실관계들이 동원되는 내용이다. 호흡도 길고 하니.. 본 포스트의 내용을 잘 정리해두면 좋겠다.

먼저 라오-크래머 하한을 통해 보여주고 싶은 목표를 보자.

Goals

    1. To establish a lower bound (Rao 1{ }^{1}-Cramér lower bound, 라오 크래머 하한) on the variance of any unbiased estimator.
    1. To show that MLE asymptotically follows the normal distribution.
    1. To show that (under regularity conditions) the asymptotic variance of MLE achieve the RaoCramér lower bound.
  1. 은 라오-크래머 하한을 증명하고 자유롭게 쓸 수 있게 된다면.. 어떤 unbiased estimator 에 대해서도 lower bound 를 쓸 수 있게 됨을 뜻한다. 그리고 나서 3으로 넘어가기 위해 우리는 2. MLE 가 항상 normal distribution 을 asymptotically 따른다는 것을 보일 것이고.. 이를 통해 3. MLE 의 asymptotic variance (n이 무한대로 갈 때 variance)는 항상 R-C bound 를 touch 함을 보일 것이다.

결론적으로 MLE 는 다른 증명 없이도 nice 한 추정량임을 보이기 위한 내용들이다. 그러나 1, 2, 3, 특히나 본격적으로 R-C lower bound 를 보이기 위해선 다음과 같은 내용을 하나씩 봐야 한다.

    1. Bartlett identity
    1. Score function and Fisher information

[1] Bartlett identity

Bertlett identity 를 보이기 위해선 확률변수 X가 pdf of f(x;θ)f(x;\theta) 로부터 나왔을 때 이들의 적분구간에서 적분이 1이라는 것에서 출발한다.

We begin with the identity

1=f(x;θ)dx1=\int_{-\infty}^{\infty} f(x ; \theta) d x

θ\theta 에 대해 미분하면 값이 0인 다음 식을 얻을 수 있다.

이 식의 값을 변형하지 않고 분모분자에 pdf of X를 다시 넣으면 다음과 같은 식을 얻는다. 이 식을 (1) 이라 하자.

expectation 은 각 확률변수 Xi과 각 확률변수가 관찰될 확률값 (pdf of X) 을 summation 한 것이므로.. 다음 아래와 같이 쓸 수 있고, 이를 first Bartlett identity 라 한다.

(first Bartlett identity에 굳이 해석을 덧붙이면 pdf 에 log 를 취한 것을 세타에 대해 한 번 미분한, 것의 기댓값은 0이라는 것이다.)

이제 1이라 했던 식을 곱의 미분법으로 한 번 더 미분하게 되면 다음과 같은 결과를 얻는다.

뒤 로그함수의 미분을 제곱한 것에 expectation 을 취한 것을 조금 뜯어보면.. 다음과 같이 쓸 수 있다.

first identity 에 따라 한 번 미분한 것 (=: g(x)) 의 expectation = 0이므로 E(g(x)^2) = Var(g(x)) 라고 할 수 있다. (Var(g(x))에서 E(g(x))^2 = 0이므로)

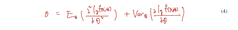
따라서 E(두 번 미분) + E(한 번 미분의 제곱) 위 식을 second Bartlett identity 라 하자.

[2] Score function and Fisher information

스코어 함수와 피셔 정보는 이의 성분을 다시 쓴 것에 지나지 않으므로 바로 살펴볼 수 있다. 정의를 살펴보자.

Definition. Let XX follows pdf f(x;θ),θΩf(x ; \theta), \theta \in \Omega, where ΩR\Omega \subset \mathbb{R} is an open interval. (i.e., the model family is {f(;θ):θΩ})\{f(\cdot ; \theta): \theta \in \Omega\}) Then,

  • 스코어 function 은 first identity 에 들어갔던 확률변수 같은 것을 세타에 depend 하는 함수로 빼온 것이다. log pdf (나중엔 log likelihood 로 봐야한다.) 에 한 번 미분한 것이 score function 이다.
  • 피셔 information 은 score function 의 제곱의 expectation, 즉 second Bartlett identity 에 두 번째 term 과 같다.

따라서 다음과 같이 쓸 수 있다.

  • Score function 의 기댓값은 = 0
  • fisher information 은 variance of score function 으로 쓸 수 있으며, second identity 에서 이항하면 두 번 미분한 것의 expectation 에 - 를 붙인 것이다.

그렇다면 아래 예제를 통해 first Bartlett identity 가 실제로 그러한지, 로그 pdf 의 expectation 이 실제로 0인지 확인해보면 다음과 같다.

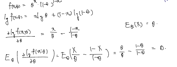
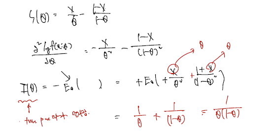
Example (Information of Bernoulli Random Variable). Let XB(1,θ)X \sim B(1, \theta). Find the information of B(1,θ)B(1, \theta).
(sol)

베르누이의 expectation 이 세타임을 알고 쓰면, 바로 score function expectation = 0 (Bartlett identity 1) 을 증명할 수 있다.

아래는 그렇다면 Bernouli Random Variable 의 Fisher Information 은 어떻게 쓸까 하는 것이다. Fisher Information 은 한 번 미분 제곱의 expectation, 또는 그냥 variance, 또는 두 번 미분 expectation 의 minus 각각의 표현이 있으므로 여기서 골라쓰면 된다.

Example (Information of random sample). Let X1,X2X_{1}, X_{2} be r.s. from XX following pdf f(x;θ)f(x ; \theta). Let I(θ)I(\theta) is the information of XX given θ\theta then the information for X1X_{1} and X2X_{2} given θ\theta is=2I(θ)=2 I(\theta).

  • 사실 Score function 이나 Fisher information 이나 pdf에서 one sample를 가지고 계산하는 것인데, 만약 이를 pdf 에 대해 iid 로 X1, X2 2개로 추출했다고 하자.
  • 그때의 score function 은 다음과 같고 (iid Sample 에서 X1, X2 관찰할 Score 값은 각각 관찰할 Score 값의 합과 같다.)
  • 둘을 포괄하는 information 을 그냥 I(θ)I(\theta) 로 쓰면 cross product 가 0이 되어 1 sample information 의 2배로 쓸 수 있다.

이를 확장하면, 확률변수 X1 ,...., Xn을 샘플링한 상황이라면 이들의 information 은 In general, the information for nn r.s. X1,,XnX_{1}, \cdots, X_{n} is nI(θ)n I(\theta).

[3] Rao-Cramér lower bound.

Theorem Let X1,,XnX_{1}, \ldots, X_{n} be iid with common pdf f(x;θ)f(x ; \theta) for θΩ\theta \in \Omega. Assume that the regularity conditions (R0)(R4)(R 0)-(R 4) hold. Let Y=u(X1,X2,,Xn)Y=u\left(X_{1}, X_{2}, \ldots, X_{n}\right) be a statistic with mean Eθ(Y)=E_{\theta}(Y)= Eθ[u(X1,X2,,Xn)]=:k(θ)E_{\theta}\left[u\left(X_{1}, X_{2}, \ldots, X_{n}\right)\right]=: k(\theta). Then

Var(Y)[k(θ)]2nI(θ)\operatorname{Var}(Y) \geq \frac{\left[k^{\prime}(\theta)\right]^{2}}{n I(\theta)}
  • Y는 X1...Xn 까지를 통해 만들어낸 통계량이라 하자.
  • 이들의 expectation 을 k(θ)k(\theta) 로 두면,
  • 통계량 Y의 variance는 다음과 같은 lower bound 를 가진다.
  • 여기서 갑자기 튀어나오는 것이 이전에 봤던 n개 Random sample 의 fisher information 이고.. 이것이 분모로 가고, expectation 의 미분은 분자로 간다.

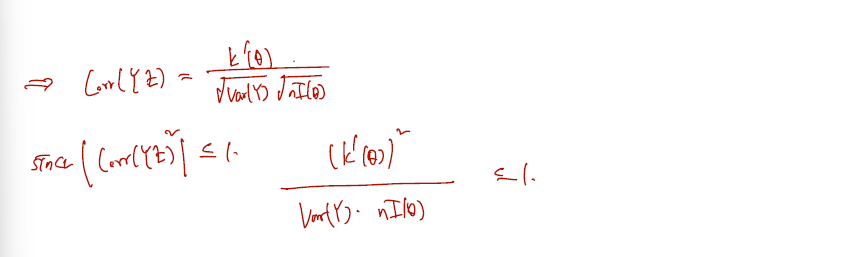
여기서 만약 expectation of Y 를 세타라고 한다면 (estimator 의 expectation 이 세타라는 건 estimator 가 unbiased estimator 라는 조건이었다; 비편향추정량), 이를 미분한 k(θ)k'(\theta) 는 1이므로 다음과 같이 쓸 수 있다.

Var(Y)(: "Rao-Crameˊr lower bound"), \operatorname{Var}(Y) \geq \quad(: \text { "Rao-Cramér lower bound"), }

i.e., the variance of any unbiased estimator is lower bounded by the inverse of the Fisher information. 즉, 임의의 비편향추정량의 variance 는 Fisher information 의 역수를 lower bound 로 가진다.)

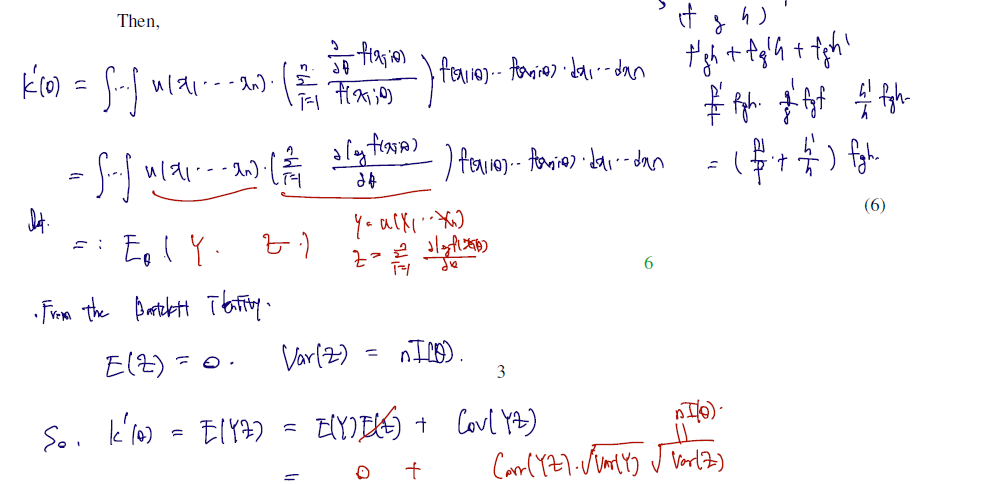
(Proof for Theorem) The proof is for the continuous case, but the proof for the discrete case is quite similar. Write the mean of YY as

k(θ)=u(x1,,xn)f(x1;θ)f(xn;θ)dx1dxnk(\theta)=\int_{-\infty}^{\infty} \cdots \int_{-\infty}^{\infty} u\left(x_{1}, \ldots, x_{n}\right) f\left(x_{1} ; \theta\right) \cdots f\left(x_{n} ; \theta\right) d x_{1} \cdots d x_{n}

Then,

[4] Efficiency

효율성, 효율비의 정의를 보자. 효율추정량이란 그 추정량의 variance 가 R-C lower bound 와 정확히 일치하는 경우를 말한다.

Definition (Efficient Estimator). Let Y=u(X1,,Xn)Y=u\left(X_{1}, \ldots, X_{n}\right) be an unbiased estimator of a parameter θ\theta given a random sample with size nn. The statistic YY is called an efficient estimator(효율추정량) of θ\theta if and only if Var(Y)=1/{nI(θ)}\operatorname{Var}(Y)=1 /\{n I(\theta)\}.

그렇지만 (뒤에서 다룰 MLE의 경우를 제외하고) 다른 추정량들은 lower bound 와 일치하거나 asymptotically 라도 일치하지 않는 경우가 많기에, 다음과 같은 비를 계산하게 된다.

Definition (Efficiency). Let Y=u(X1,,Xn)Y=u\left(X_{1}, \ldots, X_{n}\right) be an unbiased estimator of a parameter θ\theta a random sample with size nn. Then, the the efficiency (효율비) of YY is defined by

 Rao-Crameˊr lower bound Var(Y)={nI(θ)}1Var(Y)\frac{\text { Rao-Cramér lower bound }}{\operatorname{Var}(Y)}=\frac{\{n I(\theta)\}^{-1}}{\operatorname{Var}(Y)}

만약 이 효율비가 1이라면 그 추정량은 이미 그 자체로 효율추정량이다. 만약 1보다 작다면 Var(Y)가 컸다는 이야기이므로 1보다 작은만큼 효율적이지 못하다고 할 수 있다.

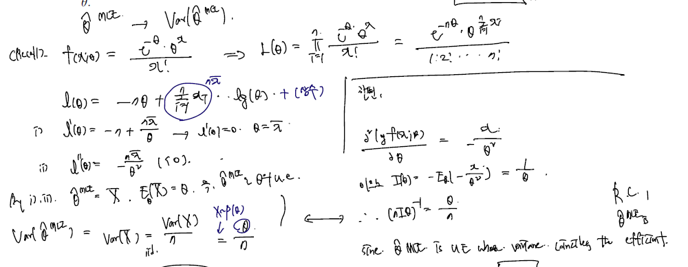
실제로 X1..,Xn 을 포아송 분포에서 추출했다고 했을 때, 샘플로부터 얻은 MLE 추정량의 variance과 fisher information 역수를 비교해 비가 어떻게 되는지, (혹은 일치하는지 살펴보자.)

  • 샘플로부터 얻은 MLE 추정량은 θ/n\theta/n 이다.
  • 두 번 미분한 것의 minus expectation 인 fisher information 은 1/θ1/\theta
  • 여기에 n을 곱해줘야 하므로 일치.
  • MLE 추정량은 세타의 unbiased estimator 이면서 (그래야 미분이 1이므로 식이 된다.) variance 가 Rao-Crammer 하한을 터치하므로 efficient 하다라 말할 수 있다.

[5] Asymptotic normality
그런데 우리는 추정량의 variance 가 fisher information 의 역수와 '완전히' 일치하는 경우만큼 n이 무한대로 갈 상황에서 efficienty를 고려해야 한다. 이를 위해 우선, MLE가 normality 를 따른다는 것을 보여야 한다. 다음의 R5 가정은 이를 보이기 위해 세 번 미분이 가능하고 이것이 세타에 의존하지 않는 변수의 함수로 upper bound 됨을 추가한다.

(R5) The pdf f(x;θ)f(x ; \theta) is three times differentiable as a function of θ\theta. Further, for all θΩ\theta \in \Omega, there exist a constant cc and a function M(x)M(x) such that

3θ3logf(x;θ)M(x)\left|\frac{\partial^{3}}{\partial \theta^{3}} \log f(x ; \theta)\right| \leq M(x)

with Eθ0[M(X)]<E_{\theta_{0}}[M(X)]<\infty, for all θ0c<θ<θ0+c\theta_{0}-c<\theta<\theta_{0}+c and all xx in the support of XX.

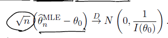
그러면 다음 정리를 쓸 수 있다. MLE 는 n이 무한대로 가면 normal로 수렴하되 분산은 fisher information 의 역수다.

Theorem Assume X1,,XnX_{1}, \ldots, X_{n} are iid with pdf f(x;θ0)f\left(x ; \theta_{0}\right) for θ0Ω\theta_{0} \in \Omega such that the regularity conditions R0-R5 are satisfied. Suppose that the Fisher information satisfies 0<I(θ0)<0<I\left(\theta_{0}\right)<\infty. Assume further that {θ^nMLE}n\left\{\widehat{\theta}_{n}^{\mathrm{MLE}}\right\}_{n} be a sequence of MLEs such that θ^nMLEPθ02\widehat{\theta}_{n}^{\mathrm{MLE}} \xrightarrow{P} \theta_{0}{ }^{2}. Then,

n(θ^nMLEθ0)DN(0,1I(θ0))\sqrt{n}\left(\widehat{\theta}_{n}^{\mathrm{MLE}}-\theta_{0}\right) \xrightarrow{D} N\left(0, \frac{1}{I\left(\theta_{0}\right)}\right)

이를 다음과 같이 쓸 수 있다. (asymptotically follows)

Proof. Let θ^n=θ^nMLE\widehat{\theta}_{n}=\widehat{\theta}_{n}^{\mathrm{MLE}}. The 1st-order Taylor expansion of l(θ)l^{\prime}(\theta) about θ0\theta_{0} and θθ^n\theta \leftarrow \widehat{\theta}_{n} gives

true 세타를 세타0, MLE 세타를 MLE hat 이라 할 때, 위 테일러 전개를 쓸 수 있고..이 식이 0이므로 다음을 쓸 수 있다.

(1) 차이로 묶고,

(2) 차이에 대해 정리한 다음 루트 n 곱, n으로 나누자.

이제 각각 분모는 N(0,I(θ0))N(0, I(\theta_0)) 로, 분포는 I(θ0)I(\theta_0) 와 0으로 수렴함을 보이면 끝난다.

(1) CLT에 의해 분자는 N(0,I(θ0))N(0, I(\theta_0)) 로 수렴

(2) WLLN 로 분모 첫항은 I(θ0)I(\theta_0) 으로 수렴.

(3) 마지막 항은 0으로 in probability 수렴하는 것에 대해 bound 되어 0으로 수렴. (R5 조건의 도움을 받는다.)

따라서 분자는 Normal, 분모는 I(theta) 로 in prob. 0으로 in prob. 수렴하므로 슬러츠키 정리에 의해 이를 끼워넣을 수 있다. 따라서 다음 이어지는 내용을 위해, MLE 는 asymptotically 분산이 inverse fisher information 인 normal 을 따름을 기억하자.

[6] Asymptotic efficiency

앞선 내용들에 기반해, 보여주고 싶은 건 MLE 는 결국 n이 무한대로 가면 어떤 상황에서건 R-C lower bound 를 touch 한다는 것이다. 아래를 보자.

Definition Let X1,,XnX_{1}, \ldots, X_{n} be independent and identically distributed with probability density function f(x;θ)f(x ; \theta). Suppose θ^1n=θ^1n(X1,,Xn)\hat{\theta}_{1 n}=\hat{\theta}_{1 n}\left(X_{1}, \ldots, X_{n}\right) is an estimator of θ0\theta_{0} such that n(θ^1nθ0)D\sqrt{n}\left(\hat{\theta}_{1 n}-\theta_{0}\right) \xrightarrow{D} N(0,σθ^1n2)N\left(0, \sigma_{\hat{\theta}_{1 n}}^{2}\right). Then

  • 만약 추정량이 N(0,σ2/n)N(0, \sigma^2/n) 을 점근적으로 따른다는 가정을 길게 쓴 것이고, 이럴 경우

(i) The asymptotic efficiency (점근효율비) of θ^1n\hat{\theta}_{1 n} is defined to be

e(θ^1n)=1/I(θ0)σθ^1n2e\left(\hat{\theta}_{1 n}\right)=\frac{1 / I\left(\theta_{0}\right)}{\sigma_{\hat{\theta}_{1 n}}^{2}}

추정량의 효율비도 다음과 같이 쓸 수 있다. 여기선 점근적으로 따른다는 가정이 있으므로 똑같이 점근효율비라 쓰고, 이 비율이 1이 될 때 (n이 무한대로 갈 때 R.C lowr bound 와 추정량 자체가 점근적으로 따르는 분산이 같을 때) 이를 점근효율적 추정량이라 한다.

(ii) The estimator θ^1n\hat{\theta}_{1 n} is said to be asymptotically efficient (점근효율적) if the ratio in part (a) is 1 .

만약 추정량이 2개라면 어떨까? 서로 다른 추정량 중 무엇이 좋을 지 비교하기 위해선 이들의 variance 만 비교하면 될 것이다.

(iii) Let θ^2n\hat{\theta}_{2 n} be another estimator such that n(θ^2nθ0)DN(0,σθ^2n2)\sqrt{n}\left(\hat{\theta}_{2 n}-\theta_{0}\right) \xrightarrow{D} N\left(0, \sigma_{\hat{\theta}_{2 n}}^{2}\right). Then the asymptotic relative efficiency (ARE, 점근상대효율비) of θ^1n\hat{\theta}_{1 n} to θ^2n\hat{\theta}_{2 n} is the reciprocal of the ratio of their respective asymptotic variances; i.e.,

e(θ^1n,θ^2n)=σθ^2n2σθ^1n2e\left(\hat{\theta}_{1 n}, \hat{\theta}_{2 n}\right)=\frac{\sigma_{\hat{\theta}_{2 n}}^{2}}{\sigma_{\hat{\theta}_{1 n}}^{2}}
  • 만약 1보다 크다면 추정량 1이 효율
  • 만약 2보다 작다면 추정량 2가 효율적이다, 라고 할 수 있다.

가장 중요한 것은 MLE 는 asymptotically eifficient estimators 라는 점이다. 위 점근효율비 정의에서, 이를 MLE 로 갈아끼우게 되면 MLE 분산이 그대로 Fisher informaiton 과 비교되게 되는데, MLE 의 분산은 항상 Fisher information 의 역수로 수렴함을 기억하자. 따라서 점근효율비가 MLE에선 항상 1이다.

이것이 또한 MLE가 optimality result 라 부르는 이유이기도 하다. 우리가 푼 예제들에선 MLE 가 그 자체로 lower bound 를 touch 하는 경우도 있었으며, 그렇지 못하더라도 결국 n이 무한대로 가면 variance가 하한과 같아진다는 점은 굉장한 성질이다.

profile
Mathematics, Algorithm, and IDEA for AI research🦖

0개의 댓글