Expectation of a R.V.
Def)
E(X)={∫−∞∞xfX(x)dx :continuous∑xxPX(x) :discrete
provided ∫−∞∞∣x∣fX(x)dx<∞(or ∑x∣x∣PX(x)<∞)
Theorem)
If E(g1(x)),E(g2(x)) exist,
E[k1g1(x)+k2g2(x)]=k1E(g1(x))+k2E(g2(x))
Some special Expectations
Mean(First Moment)
The mean of X: μ=E(X)
Variance(Second Central Moment)
The variance of X: σ2=Var(X)=E[(X−E(X))2]=E(X2)−[E(X)]2
pf)

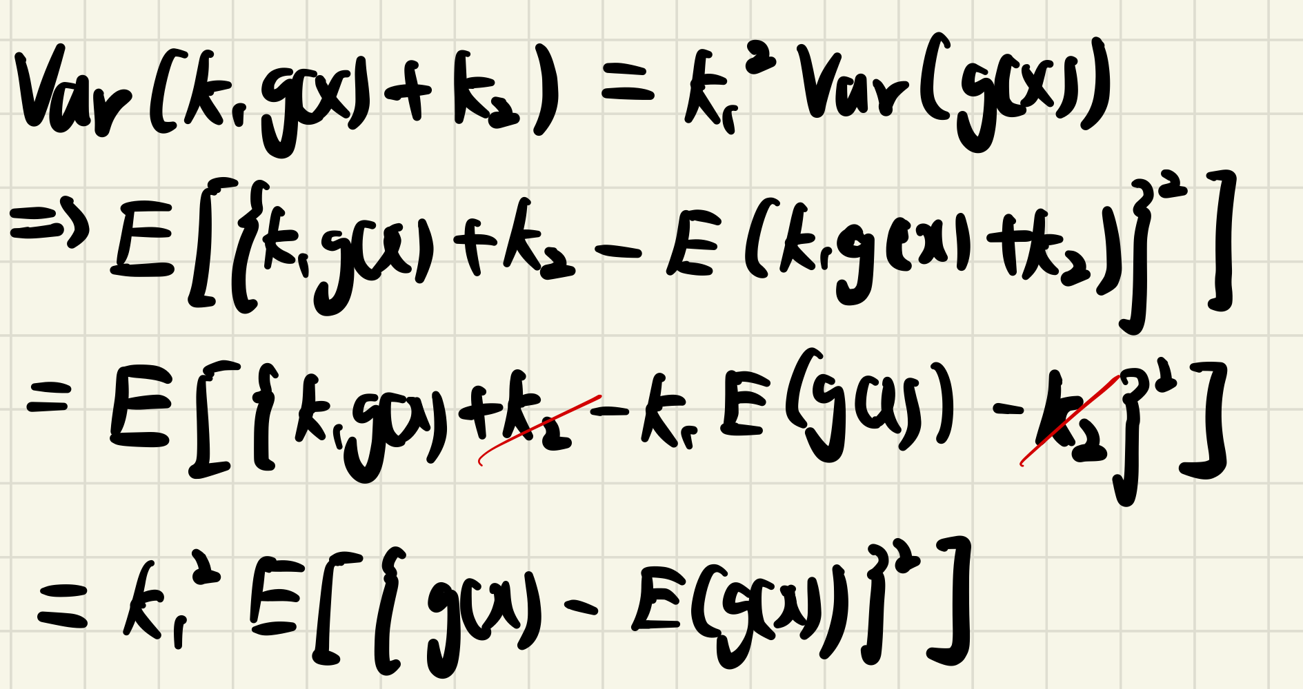
Theorem)
Var(k1g(x)+k2)=k12Var(g(x))
pf)

MGF(Moment Generating Function)
Def)
확률변수 X에 대해, −h<t<h 에서 E(etx)가 존재한다면,
MX(t)=E(etx)
활용법)
① mgf는 t=0 에서 n번 미분을 함으로써, n th moment of X를 생성한다.

② For a certain distri., mgf is unique.
=> 두 개의 확률변수가 같은 분포를 가지는지 확인하기 위해 사용
✔︎ 주의사항
E(Xn)(n=1,2,...): The n th moment of X
E((X−μ)n)(n=1,2,...): The n th central moment of X
Multivariate case
Suppose bivariate case, X=(X1,X2)
E(g(X1,X2))={∑x1∑x2g(x1,x2)PX1,X2(x1,x2):discrete∫−∞∞∫−∞∞g(x1,x2)fX1,X2(x1,x2):continuousif E(g(X1,X2))<∞
Therem)
If E(g(x1,x2)) and E(g(x1,x2)) exist,
E[k1g1(x1,x2)+k2g2(x1,x2)]=k1E(g1(x1,x2))+k2E(g2(x1,x2)) for any constants k1 and k2
MX(t)=MX1,...,Xn(t1,...,tn)=E(etTX)=E(e∑i=1ntixi)
E(X1m1...Xnmn)=∂t1m1...∂tnmn∂m1+...+mnMX(t)∣t=0
bivariate case)
MX1,X2(t1,t2)=E(et1x1+t2x2)
E(X1m1X2m2)=∂t1m1∂t2m2∂m1+m2MX1,X2(t1,t2)∣t1=t2=0
MX1,X2(t1,0)=E(et1x1+0x2)=E(et1x1)=MX1(t1)