
민스키의 기호주의

연결주의

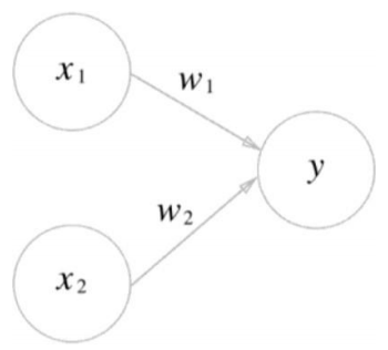
입력이 2개인 퍼셉트론


퍼셉트론의 한계 XOR


-> 해결방법은 곡선

-> 다층 퍼셉트론이 필요

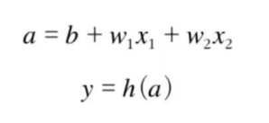
편향을 고려한 표현


활성화 함수 h


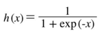
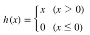
활성화함수는 비선형이 주로 사용
-> 함수의 합성에서 선형함수를 사용하면 합성의 의미가 없음
시그모이드


ReLU


신경망은 행렬의 곱 연산이 많이 사용됨

모델의 목표에 따라 뉴럿넷에게 답을 회신받는 방법

softmax 함수


그래프를 이용해서 계산하면 확장이 용이함

이때 사과가 1원 오르면 전체 가격은 얼마나 오를지 볼 수 있는 것이 역전파: Backpropagation

역전파



이 글은 제로베이스 강의 자료 일부를 발췌하여 작성되었습니다