Algorithms for Inverse Reinforcement Learning
https://ai.stanford.edu/~ang/papers/icml00-irl.pdf
This paper is old.
It would not include neural network.
So I will read it briefly now, and read it in detail if necessary.
The problem can be categorized like this.
is the state discrete? or continuous? (infinite?)
is the model known? (we know chess's model but not for driving)
is the policy given? or just known only through a finite set of observed trajectories?
This paper start first with finite state, known model, given policy.

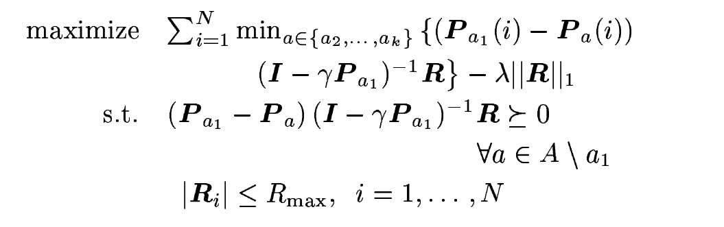
'a1' means optimal action, and 'a' means another action.
P means transition probabilities.
If obove equation is True, a1 is optimal action.
You can see proof in paper.
But there are a lot of reward function satisfying above equation. (i.e. all zero reward)

It is good to find a function which maximize this equation for meaningful reward function.
And reward function composed small reward is simpler and preferable.
So add −λ∥R∥ to objective.
If λ is too big, all reward would be 0.

I think this section will introduce the way to generalize for infinite state space.
But neural network would be better.
So if I need, I will read it later.