리액트에서 자주 쓰이는 자바스크립트 문법-1
React에서 자주 쓰이는 자바스크립트 문법-2
npm과 yarn
CRA와 컴포넌트
JSX
Props 개요
Props Children
Props 추출
State
불변성과 순수함수
Component & Rendering
Styling
반복되는 컴포넌트 처리하기
컴포넌트 분리하기 (독립 컴포넌트)
Styled Components - 소개, 사용
Styled Components - GlobalStyles, Sass 소개, css reset
React Hooks - useState
React Hooks - useEffect

React Hooks - useRef

React Hooks - useContext(Context API)
React Hooks - 최적화(React.memo, useCallback, useMemo)

LifeCycle - 클래스형 컴포넌트에서의 라이프사이클 이해하기
DOM과 Virtual DOM

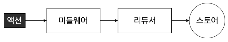
Redux - 소개
Redux - 카운터 프로그램 만들기

Redux - 카운터 프로그램 만들기2
Redux - Refactoring(action creators, action values)
Redux - Payload
Redux - Ducks 패턴
TodoList Refactoring 실습(Redux)
React Router Dom - 소개, hooks, children
React Router Dom - Dynamic Route, useParam
비동기 프로그래밍 입문
REST(Path Variable vs Query Parameter)
JSON이란?(NoSQL 데이터 설계를 위한 기초지식)

Redux Toolkit(Feat. Flux Pattern)
React Toolkit - counter
React Toolkit - Todo List

json-server

HTTP
비동기 통신 - axios, fetch

axios 심화 - instance와 interceptor

Thunk
최종프로젝트-15일차 오늘 한 일 Sweet Alret2 미 적용된 부분 및 컬러 수정 Detail Page 설문조사 질문 form 데이터 가져오기 Detail Page 설문조사 질문 옵션 Progress Bar 구현 Detail Page 설문조사 제출 데이터 firebase 저장 Detail Page 질문 많을 때 페이지 넘어가는거 수정