PCA 차원 축소의 한계점 Big Data Analytics #01 Data Cleaning

(대안으로 T-sne 나옴)
1. T-SNE 개요
: T-distributed Stochastic Neighbor Embedding
높은 차원의 데이터를 저차원으로 축소하는 방법
(비선형 데이터에 대해서도 잘 동작하는 장점을 가짐)
고차원에서 가까운 데이터는 저차원에서도 가까울 것이며,
멀리 떨어진 데이터는 저차원에서도 멀리 떨어져 있을 것
1) 고차원 데이터에서 유사한 점 찾기
2) 저차원 공간에서 유사한 점 배치하기
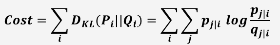
3) 두 확률 분포(P,Q) 차이를 줄이기 (KL Divergence로 최소화)
4) 최적화가 완료되면 데이터 구조 시각화
2. Stochastic Neighbor Embedding (SNE)
고차원에서의 데이터 분포와 저차원에서의 데이터 분포를 같게 만드는 것
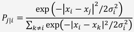
고차원 데이터에서 유사도 확률 분포
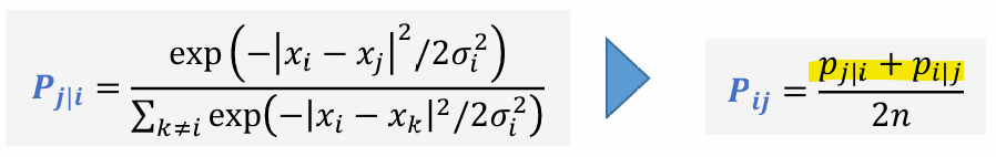
: 특정 데이터 포인트 가 주어졌을 때, 다른 데이터 포인트 를 선택할 확률을 가우시안 분포를 이용해 계산
(σ는 특정 데이터 포인트의 perplexity를 조정하기 위해 설정되는 표준 편차)

"한 점이 몇 개의 이웃을 고려할지"에 대한 기준 (희망하는 복잡도)

목표 : Perplexity 값을 설정한 후, 조건부 확률 의 엔트로피 가 Perplexity와 맞추기
1) 초기값 설정 : σ의 초기값 설정 (보통 1부터 시작)
2) 조건부 확률 계산 : 현재 σ 값으로 확률 계산 후 Entropy 계산

3) 이진 탐색을 통한 σ 조정
Kullback-Leibler Divergence (KL divergence)
고차원 공간과 저차원 공간의 두 확률 분포 가 얼마나 비슷한지 측정하는 지표


(이것을 해결한 것이 TSNE)
3. T-distributed Stochastic Neighbor Embedding (T-SNE)
고차원에서 유사도가 작은 값들이 많기에, 가우시안 분포를 사용하면 정보 손실 일어남
T distribution은 꼬리가 두꺼워, 저차원 공간에서 작은 거리 차이를 더 잘 반영할 수 있음
가높고 가낮을때에는 cost가높지만 가 낮고 가 높을 때에는 cost가낮음
Cost Function을 에 대해 대칭적으로 만들기 위해 아래와 같이 계산


4. Evaluation : Perplexity
: Perplexity 값에 따라 성능이 달라질 수 있음
Perplexity는 하나의 정답이 있는 값이 아니라, 여러 시도를 거쳐 최적의 구조를 찾아야 하는 값
Perplexity 5~50값을 추천(기본값=30)
너무 큰 값일 경우 dataset의 모든점을 균일하게 취합하여 군집이 무너짐

Perplexity가 클수록, 군집의 크기를 비슷하게 보이도록 학습
( 분포가 같아지도록 학습하기에 )
→ 원래 군집의 진짜 크기를 왜곡할 수 있음

Perplexity가 커질수록, 멀리 떨어진 군집 간 거리를 가깝게 표현하려 함
→ 원래 데이터의 구조(거리)가 손상될 수 있음

5. T-SNE 실습
: Sklearn을 이용한 Coding
from sklearn.manifold import TSNE
from sklearn.datasets import load_digits
import matplotlib.pyplot as plt
digits=load_digits()
fig, axis=plt.subplots(2,5, figsize=(10,5), subplot_kw={'xticks':[], 'yticks':[]})
for ax, imgs in zip(axis.ravel(), digits.images):
ax.imshow(imgs)

tsne=TSNE()
digists_tsne=tsne.fit_transform(digits.data)
print(digists_tsne.shape)
plt.figure(figsize=(10,10))
plt.xlim(digists_tsne[:,0].min(), digists_tsne[:,0].max()+1)
plt.ylim(digists_tsne[:,1].min(), digists_tsne[:,1].max()+1)
colors = ['black', 'blue', 'purple', 'green', 'red', 'brown', 'orange', 'pink', 'gray', 'cyan']
for i in range(len(digits.data)):
plt.text(digists_tsne[i,0], digists_tsne[i,1], str(digits.target[i]),
color = colors[digits.target[i]],
fontdict={'weight':'bold', 'size':9})
plt.xlabel('t-SNE feature 0')
plt.ylabel('t-SNE feature 1')
plt.show()

T-SNE Summary
- T-SNE는 차원 축소 및 시각화 도구로써 개발 (널리 사용됨)
- Perplexity 값에 따라 성능 차이 존재 (최적의 값을 위한 fine-tuning 필요)
- 시각화 기능만 존재(새로운 데이터를 받아 임베딩 불가)
- 데이터가 너무 클 경우, 학습에 시간 소요 많이 됨
(해결책 : 여러 방법론 사용, PCA로 전처리 후 T-SNE 사용)