: 더 현실적인 샘플을 생성하려고 노력
: 실제 데이터와 가짜 데이터를 구별하려고 노력, 실패 시 패널티 받음






: 초기 학습 단계에서는 생성자가 저품질 샘플을 생성
: 따라서 판별자가 가짜 샘플을 쉽게 구별 → D(G(z)) 값이 0에 가까움
: D(G(z))=0일 때, 그래디언트(Gradient)가 매우 작아짐
-> 모델이 포화 문제(saturation problem)를 겪게 됨
-> D(G(z)) 값이 1에 가까워야 문제를 해결할 수 있음



- Minimax Cost
-> D(G(z))가 0에 가까운 경우 기울기가 거의 0이므로, 초기 학습에서 생성자가 충분히 학습하지 못할 수 있음
-> D(G(z))=0.5 이후 그래디언트가 조금 더 증가하지만, 여전히 학습 속도가 제한적임- Modified Cost
-> D(G(z))가 0일 때도 기울기가 크므로 초기 학습이 더 빠르게 진행됨
-> 수정된 손실 함수는 학습 초기와 중반 모두에서 더 큰 그래디언트를 제공해, 생성자가 판별자를 더 잘 속이는 방향으로 학습할 수 있게함

몇 번의 학습 단계를 거친 후, 생성자와 판별자는 더 이상 개선할 수 없는 지점에 도달하게 되며, 이때 pg = pdata (즉, D(x)=1/2)
-> 학습이 진행되면서 pg가 pdata에 가까워지다, 둘이 균형을 이루는 지점에서 pg(생성된 데이터의 분포) = pdata(실제 데이터의 분포) 가 됨
-> discriminator의 출력이 D(x) = 1/2로 수렴함 (discriminator가 데이터의 real or fake를 구별할 수 없다는 것을 의미)
-> 생성된 데이터가 실제 데이터와 구별할 수 없을 정도로 현실적이라는 의미
GAN의 목표: 최종적으로 생성된 데이터의 분포 pg가 실제 데이터의 분포 pdata와 같아지도록 학습

GAN의 학습: minimax 최적화 문제

-> 판별자 D: V(G,D)를 최대화(maxD)하여 진짜와 가짜 데이터를 더 잘 구분하도록 학습
-> 생성자 G: V(G,D)를 최소화(minG)하여 판별자를 속이도록 학습


Expectation 공식에 의해서 풀어쓰면,

a, b, y로 대체하여 공식을 써보면,

-> 이를 maximize시키는 지점을 찾기 위해 미분하여 기울기가 0인 지점을 찾는다.

-> 미분한 식의 값이 0이 되는 지점이 Local maximum이므로

-> a, b, y로 대체했던 것을 다시 바꿔써주면,

이렇게 구한 Optimal D 식을 이용해서 기존 V(G,D)식을 V(G,D)로 바꿔쓰면,

-> D* = 1/2일 때(pdata = pg)가 최적이므로, 위 식에 대입해서 계산하면

-> -log4가 global minimum인 것을 알 수 있다.


-> Jensen-Shannon Divergence, JSD는 항상 음이 아닌 값을 가지며, 두 분포가 같을 때 0이 됨
-> Global Minimum = -log4
-> 유일한 해는 pg = pdata
-> 따라서 생성 모델을 최적화하는 것은 2*JSD(Pdata||pg)를 최소화하는 것과 동일함!

전치 합성곱(Transposed Convolution) 기반 upsampling
-> 전치 합성곱은 deconvolution이라고도 불리며, feature map의 크기를 확장(upsampling)하는 데 사용됨(latent vector z를 점진적으로 큰 이미지로 변환함)
-> 일반적인 합성곱: 입력 이미지 축소용 / 전치 합성곱: 입력 이미지 확장용
안정적인(stable) GAN 학습을 위한 배치 정규화(Batch Normalization)
-> 각 레이어에서 입력 데이터의 분포를 정규화하여 학습이 더 안정적이고 빠르게 이루어지도록 도움(기울기 폭발 or 소실 문제 완화, overfitting 방지에 도움)
심층 네트워크를 위한 ReLU 활성화 함수
-> 비선형성을 부여하여 더 복잡한 데이터 분포를 학습할 수 있게함, 계산량 적어 효율적, Sparse Activation
Convolutional Layer -> 데이터의 고차원 특징을 추출
BatchNorm -> 각 레이어의 입력 데이터를 정규화하여 학습을 안정적이게 함
Leaky_ReLU -> 비선형성 추가하여 더 복잡한 분포 학습, 음수 값에서도 정보 유지하므로 dead neurons 문제 방지
Sigmoid -> 마지막 레이어에서 출력값을 [0,1] 범위로 정규화하여, 입력 데이터가 "진짜"(1에 가까움) 인지 "가짜"(0에 가까움)인지 나타냄(확률값으로 사용)
DCGAN은 Discriminator가 새로운 작업에 대해 finetuning될 수 있음을 입증함
-> Discriminator는 적대적 학습(adversarial training) 중 유용한 정보를 학습
-> Discriminator는 진짜 데이터와 가짜 데이터를 구별하는 과정을 통해 비지도 학습 방식으로 학습할 수 있음



class가 많은 경우, GAN을 label 정보 없이 여러 클래스에서 학습시키면 현실적인 데이터셋을 생성하지 못할 수 있음(모델이 어떤 클래스의 데이터를 생성해야 하는지 모름)
-> 이유: 입력에 여러 클래스가 포함되어 있지만, 출력은 단일 클래스만 포함하기 때문
-> 해결방법: Conditional GANs 사용
label 정보에 조건을 추가하면 입력과 출력 사이에 결정론적 관계(deterministic relationship)를 생성할 수 있음(특정 조건에 맞는 일관된 데이터를 생성하도록 학습)
-> 먼저 큰 label vector를 작은 vector로 매핑하기 위해 linear mapping layer를 사용
-> 그리고, 이 작은 vector를 모델의 레이어에 병합(concatenate)
<cGANs 작동 원리>
1) 조건 정보 추가: 입력 x와 함께 label 정보 y를 모델에 제공
-> label 정보는 입력 벡터와 결합되어 G,D 모두에서 활용됨
2) label vector 매핑: 큰 label vector를 바로 사용 시 계산량 많고 효율 떨어짐
-> 그래서 label vector를 Linear Mapping을 통해 작은 크기의 vector로 변환(차원 줄임)
3) 모델의 병합(concatenate): 매핑된 작은 vector를 모델의 각 레이어에 결합
-> label 정보가 추가됨으로써, 모델은 특정 조건에 맞는 데이터를 학습 및 생성 가능

-> y: one-hot encoding된 label 정보, 각 클래스에 해당하는 벡터
예: 3740개의 클래스가 있다면, 레이블 y는 [0,0,...,1,...,0] 형태의 3740차원 벡터
-> 선형 레이어(fc)로 y를 256차원 벡터로 축소하여 랜덤 latent vector z(1024차원)와 결합하여 입력으로 사용

-> 스타일 벡터 y로부터 계산된 학습된 재스케일(scale)과 변환(shift)값


Generator에서 단일 공유 클래스 임베딩(shared class embedding)을 사용하고, latent vector z에 대해 skip connections을 적용함 (Skip-z)
Shared Embedding: 하나의 공통된 임베딩 벡터를 Generator에서 모든 클래스에 대해 공유하는 방식
-> 즉, 여러 클래스의 임베딩 정보를 별도로 저장X, 같은 임베딩 공간에서 클래스를 나타내는 벡터를 생성함
-> 계산량 감소, 학습 속도 향상
Skip-z: latent vector z를 Generator의 여러 레이어에 직접 연결하는 스킵 연결 방식
-> 특정 레이어가 latent vector 정보를 잃지 않도록 도움
-> 학습 과정에서 기울기 손실을 방지, 학습 안정화(Stability)에 도움

-> 다양성(Diversity)과 품질(Quality) 사이에서 Trade-off(균형)
-> 다양성 감소: z를 절단하면 분포 범위가 줄어들어, 생성된 샘플의 다양성이 낮아짐
-> 품질 향상: 극단적인 z 값을 제거함으로써, 생성된 데이터의 품질이 높아짐


: 음소 시퀀스(phoneme sequence)로부터 음향 특징(acoustic features)을 추정
Sampling rate: 44,100Hz
음성 인식(Speech recognition)에서는 파형 신호를 16,000Hz로 다운 샘플링함
음성 합성(Speech synthesis)에서는 파형 신호를 22,050Hz로 다운 샘플링함
-> 16,000 Hz, 24,000 Hz, 44,100 Hz, 48,000 Hz도 사용됨
음성 신호(Speech signal)는 시간 축(time axis) 상에서 고유한 에너지와 특정 형태의 파형을 갖는 특징이 있음
음성 신호는 시간 축 상에서 에너지의 변화를 나타내는 신호
파형(Waveform)은 신호가 시간에 따라 어떻게 변하는지를 시각적으로 표현한 그래프
가로축(X축): 시간(Time, 보통 초 단위로 표시)
세로축(Y축): 진폭(Amplitude, 신호의 세기)



-> Formant frequency -> 발음 결정
<주요 특징>

: Mel-filter를 사용해 사람의 가청 주파수(audible frequency)에 집중하도록 스펙트로그램을 재구성함
<Mel-spectrogram의 특징>


Causal Convolution (인과 합성곱)
: 인과성(Causality)을 보장하는 합성곱, 현재 시점 t의 출력을 계산할 때, 입력 데이터의 현재 시점 및 과거 시점만을 참고함(미래 데이터 참조X) -> 실시간 처리에 적합

Dilated Convolution (팽창 합성곱)
: 합성곱 필터를 적용할 때, 샘플 간 간격(dilation rate)을 설정하여 입력 데이터의 더 넓은 범위를 한 번에 참조할 수 있도록 확장함 -> 큰 수용 영역(receptive field)을 확보
: 입력 데이터의 과거 시점만을 참조하면서도, 팽창 합성곱을 통해 더 넓은 범위를 한 번에 처리함(효율적)


Residual Connections(잔차 연결)
: 입력 데이터를 네트워크의 출력과 더하는 방식으로, 신경망이 학습할 때 입력 정보를 유지하면서 더 깊은 특징을 학습할 수 있도록 도움
-> 기울기 소실 문제 완화, 효율적 학습
Skip Connections(스킵 연결)
: 네트워크의 각 레이어에서 학습된 정보를 최종 출력 레이어로 전달하여, 더 풍부한 정보를 사용해 음성을 생성, 네트워크의 모든 층의 정보를 효율적으로 활용
-> 다양한 시간 스케일 반영, 복잡한 패턴 학습, 효율적인 정보 전달
<장점>

: 신호의 전체 범위(이전 + 이후 데이터)를 활용
: 과거뿐만 아니라 미래의 정보도 모델이 학습에 사용
<구조>


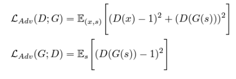
목적: 생성된 데이터(예: WaveNet이 생성한 오디오)와 실제 데이터(자연 음성)를 구분하는 판별자(Discriminator)를 훈련하여 생성 모델(Generator)을 더욱 정교하게 만들기
판별자 손실 LD:

생성자 손실 Ladv:

<판별자 구조>

: 모델이 정답 데이터(ground-truth)와 생성 데이터(generated data) 사이의 차이를 최소화하려는 손실 함수
보통 L1 거리를 사용하여 생성된 파형과 실제 파형 간의 차이를 계산
-> L1 거리: 각 데이터 포인트의 절대적인 차이의 평균으로 정의
단순하지만, 오디오 데이터에서는 지각적으로 중요한 차이를 잘 반영하지 못함
일반적으로, 파형 손실(waveform loss)은 모델이 학습한 신호의 지각적 품질(perceptual quality)에 거의 영향을 주지 X
오디오 신호의 주파수 정보(예: 음색, 음질, 화질 등)는 파형 단위의 손실보다 주파수 도메인에서 더 효과적으로 표현됨
-> 따라서 L1 손실을 제거
-> L1 대신 Multi-resolution STFT Loss(다중 해상도 STFT 손실) 사용
<Multi-resolution STFT Loss 장점>


512 / 240 / 50
:작은 FFT 크기와 짧은 윈도우는 시간 해상도(Temporal resolution)가 높아짐
: 하지만 주파수 해상도(Frequency resolution)는 낮아 세부 주파수 정보를 덜 표현
1024 / 600 / 120
: 균형 잡힌 설정으로 시간과 주파수 해상도 모두 적당히 표현
2048 / 1200 / 240
: 큰 FFT 크기와 긴 윈도우는 주파수 해상도(Frequency resolution)가 높아짐
: 하지만 시간적 변화를 정확히 표현하는 능력은 떨어짐

-> 빠른 학습 시간

목표: 오디오 파형(waveform) 생성을 수행하기 위해 비자기회귀적(non-autoregressive) feed-forward convolutional 구조를 도입
-> MelGAN은 원시(raw) 오디오 생성을 위해 GAN을 성공적으로 학습한 최초의 연구
비자기회귀적(non-autoregressive) 방식
: 기존의 WaveNet과 같은 모델은 자기회귀적(autoregressive) 접근 방식을 사용하여 한 번에 한 샘플씩 순차적으로 오디오를 생성
-> 이는 높은 품질을 제공하지만, 계산 비용이 크고 속도가 느림
-> MelGAN은 비자기회귀적(non-autoregressive) 방식을 사용하여, 오디오 샘플 전체를 병렬적으로 한꺼번에 생성
-> 이는 시간 순서를 따르지 않고 병렬적으로 오디오를 처리하므로 훨씬 더 빠르게 작동
: parallel waveform 생성을 위한 feed-forward convolutional generator


다양한 오디오 스케일에 대해 3개의 discriminator를 사용
-> 오디오를 2배 및 4배로 다운샘플링
다운샘플링된 오디오는 고주파수 정보를 잃음
-> 다운샘플링된 오디오를 사용하는 discriminator는 저주파수 정보(low-frequency)를 포착 가능함!
다중 스케일 판별기는 오디오의 고주파수와 저주파수 정보를 모두 평가하기 위해 3개의 독립적인 판별기를 사용
다운샘플링 과정을 통해 저주파수 특성을 더 잘 분석하고, 이를 통해 보다 자연스럽고 고품질의 오디오 생성이 가능함
-> 오디오 생성에서 전체 오디오 시퀀스를 평가하려면 계산 비용이 크고 복잡도가 증가함
-> 이를 해결하기 위해 윈도우 기반 접근법(Window-based Objective)을 사용
-> 전체 오디오 시퀀스를 평가하는 대신, 작은 청크(chunks)로 나누어 분석
-> 계산 효율성을 높이고, 작은 윈도우 내에서 신호의 지역적인 특성을 학습 가능

<문제점>
BCE 손실 함수는 Sigmoid 활성화 함수와 함께 사용되어, 극단적인 값에서 Vanishing Gradients(기울기 소실) 문제가 발생
-> D(x) 값이 매우 크거나 작아지면 손실 변화가 작아져 학습이 느려짐

<해결방법>

Feature Matching Loss는 GAN(Generative Adversarial Network)에서 판별기(Discriminator)의 특징 맵(feature maps)을 사용하여 생성 모델(Generator)을 학습시키는 손실 함수
특징 맵(feature maps): 입력 데이터를 판별기가 분석하면서 추출한 고수준의 표현(특징)
L1 거리: 실제 오디오와 합성 오디오의 특징 맵 간의 차이를 계산하는 거리 척도

<Feature matching의 역할>

1) GAN 손실
: 생성기가 판별기를 속여, 생성된 데이터 G(s,z)가 진짜(real)로 분류되도록 학습
2) Feature matching 손실
: 생성 데이터와 실제 데이터 간 특징 맵(feature maps)의 차이를 측정하는 손실

-> MelGAN은 최적화된 경량화 모델로, 다른 모델들에 비해 압도적으로 빠른 추론 속도와 효율성을 제공
특히 GPU 환경에서 실시간 오디오 생성이 가능하며, CPU에서도 상당히 빠른 속도
MelGAN은 파라미터 수와 속도의 균형을 잘 맞춘 모델로, 실시간 애플리케이션에 적합
: 오디오 공간에서의 L1 손실은 지각적 품질(perceptual quality)을 저하시킴
-> 오디오 신호는 고주파수와 저주파수 요소가 모두 포함된 매우 복잡한 데이터
-> L1 손실은 전체 신호의 샘플 차이를 단순히 계산하므로, 신호의 주파수 정보(음질, 음색 등)를 적절히 반영하지 못함


kernel size ex) 3, 7, 11
dilation size ex) 1, 3, 5

위에서 다룬 내용


<구조>
1) 1D 신호를 2D로 변환 (Reshape from 1D to 2D):
입력 데이터는 1D 시간 축(time)으로 이루어진 오디오 신호
이 신호를 주기(period)를 기준으로 2D 형태로 재구성
예: 주기가 3일 경우, 신호를 3개의 열로 나누어 행렬 형태로 변환
이를 통해 주기적 패턴을 더 잘 포착할 수 있도록 준비
2) 합성곱 연산 (Apply Convolution):
변환된 2D 신호에 대해 k×1 커널을 사용하는 합성곱 연산을 적용
3) MPD[2]:
재구성된 오디오와 합성곱 결과를 입력으로 받아, 해당 신호가 실제(Real)인지 가짜(Fake)인지 판별
MPD는 주기적 신호를 분석하여, 생성된 신호가 실제 신호처럼 보이는지 평가
4) Real / Fake Classification:
판별기의 최종 출력으로, 입력 신호가 실제인지 가짜인지에 대한 확률을 반환
-> 음성 오디오는 여러 주기를 가진 사인파 신호로 구성
-> 다양한 주기(periods)를 분석하기 위해 입력 신호를 특정 주기(예: [2, 3, 5, 7, 11])로 변형하여 2D 형태로 만듦
-> 각 MPD sub-discriminator는 다른 주기에서 신호를 평가하여, 생성 모델이 다양한 주기의 특성을 잘 학습하도록 도움!
<주기를 [2, 3, 5, 7, 11]로 설정한 이유>

-> 기울기 소실(Vanishing Gradient) 문제 완화, 학습 안정성 증가

-> 생성 데이터의 구조적 품질 개선, 학습 안정화, 지각적 품질(Perceptual Quality) 향상

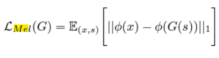
Mel loss
: Mel-spectrogram을 기반으로 생성된 데이터와 실제 데이터 간의 차이를 계산하는 손실 함수
-> Mel 손실은 생성된 오디오와 실제 오디오의 주파수 특성(Mel-spectrogram)을 비교하여, 두 신호가 유사한 주파수 분포를 가지도록 학습
-> 인간이 실제로 듣는 주파수 대역과 유사한 방식으로 신호를 평가하므로, 자연스럽고 고품질의 오디오를 생성하는 데 도움
ϕ: Mel-spectrogram 변환 함수(STFT(Short-Time Fourier Transform)(시간 도메인 오디오 신호를 주파수 도메인으로 변환)와 Mel 필터뱅크(Mel filter bank)**(STFT로 얻은 스펙트럼을 인간의 청각 특성에 맞춘 Mel 스케일로 변환)를 결합한 변환 과정)

<생성자 Loss>
LAdv: Adversarial Loss
각 판별기 Dk에서 생성된 샘플 G가 진짜(Real)로 분류되도록 학습하는 손실
LFM: Feature Matching Loss
각 판별기 Dk의 특징 맵(Feature Map)을 기준으로, 실제 데이터와 생성된 데이터 간의 차이를 최소화하는 손실
LMel: Mel Loss
생성된 신호와 실제 신호의 Mel-spectrogram 간의 차이를 최소화하는 손실
λfm: Feature Matching Loss의 중요도를 조정
λmel: Mel Loss의 중요도를 조정
<판별자 Loss>


: 입력 신호의 값을 일정 크기로 다운샘플링
예: 2개의 샘플 평균을 계산하여 샘플 수를 절반으로 줄임
: 단순히 입력 신호를 공간적으로 압축하며, 주파수 정보 손실이 발생
: 신호의 고주파수 성분과 저주파수 성분을 구별하지 않음
-> 다운샘플링 후 고주파수 정보를 포함하지 못해, 손실(lossy) 압축이 발생
: 나이퀴스트(Nyquist) 규칙에 따르면, 신호의 절반 주파수가 제거되므로 합성곱 결과 샘플의 절반을 버릴 수 있음
: 입력 신호를 저주파수 성분(LPF, Low-Pass Filter)과 고주파수 성분(HPF, High-Pass Filter)으로 분리
: 나이퀴스트(Nyquist) 규칙에 따라 샘플의 절반을 제거
: 이를 반복하여 신호를 다양한 주파수 대역으로 분해
-> 신호의 주파수 대역을 효율적으로 분리하며, 손실 없는 주파수 모델링 가능
-> 고주파수 성분과 저주파수 성분을 각각 보존하여 신호의 세부적인 특성을 유지
-> 주파수 대역별로 분리된 신호가 제공되므로, 더 풍부한 주파수 정보를 학습 가능

RCG는 서로 다른 해상도에 해당하는 상위 K개의 파형 출력을 업샘플링하고 합산함
-> 다양한 해상도에서 여러 파형을 명시적으로 합산하여 스펙트럼 분포의 다양한 수준을 포착함
다중 해상도 파형 활용
: RCG는 신호의 여러 해상도(예: 낮은 해상도에서 높은 해상도까지)에서 생성된 상위 K개의 파형 출력을 사용
: 이를 통해 다양한 주파수 대역과 신호의 구조적 특징을 포괄적으로 학습 가능
업샘플링(Upsampling)
: 각 해상도에서 생성된 파형을 동일한 해상도로 변환하기 위해 업샘플링을 수행
: 업샘플링은 저해상도의 파형이 고해상도 신호에 기여할 수 있도록 함
명시적 합산(Summation)
: 여러 해상도에서 생성된 파형을 합산하여 최종 신호를 생성
: 이렇게 합산하면, 각각의 해상도에서 추출된 스펙트럼 분포가 유지되며, 더 풍부한 주파수 특성을 가진 신호를 생성할 수 있음
-> 각 해상도에서 학습된 파형을 결합하므로, 생성된 신호는 다양한 주파수 대역과 해상도를 아우르는 높은 품질을 가짐


->Fre-GAN은 원하는 스펙트럼 분포를 재현
개선된 주파수 분포와 세부 정보 표현




STFT (Short-Time Fourier Transform):
파형을 스펙트로그램으로 변환하는 과정, 각 STFT 변환은 서로 다른 해상도를 사용하여 다양한 주파수 및 시간 정보를 캡처
Multi-resolution spectrogram discriminator:
다양한 STFT 설정을 통해 여러 해상도로 데이터를 처리하여 정교한 주파수 정보를 추출
구성 요소
Conv2D (strided) : 스펙트로그램을 처리하는 합성곱 레이어
LReLU : Leaky ReLU 활성화 함수
Multi-period waveform discriminator:
파형의 여러 주기를 분석하여 실제(real)와 가짜(fake)를 구별
-> 파형의 시간적 구조를 세밀히 분석하여 모델이 생성한 파형의 정합성을 평가
reshape2d(p_n) 단계에서 파형 데이터를 주기에 따라 나누고, 이를 2D로 변환하여 판별기에 입력
구성 요소는 스펙트로그램 판별기와 유사

학습 알고리즘은 학습자가 이전에 접하지 않은 입력에 대해 출력값을 예측하기 위해 사용하는 가정들의 집합
-> 유도 편향은 학습 알고리즘이 새로운 입력 데이터에 대해 출력을 예측하기 위해 가지는 사전 가정
-> 모델이 학습되지 않은 데이터에 대해 예측을 가능하게 하는 핵심 원리
Leaky ReLU 대신 주기적(periodic) 활성화 함수인 Snake1d로 변경
-> 기존의 Leaky ReLU와 같은 선형 활성화 함수는 특정 비선형 패턴을 학습하기 어려움
-> 대신 Snake1d와 같은 주기적 활성화 함수를 도입하여, 주기적이고 복잡한 신호(예: 오디오 파형, 주기적 데이터 패턴 등)를 더 효과적으로 학습



-> 최종적으로 고주파 성분과 시간적 조화가 가장 명확하게 복원된 모델
-> Ground Truth와 거의 유사하며, 고품질 음성 생성이 가능함

-> STFT는 파형 데이터를 주파수 영역으로 변환하여, 크기(Magnitude)와 위상(Phase) 정보를 얻음
-> iSTFT는 이를 다시 시간 영역(파형)으로 복원하는 과정
-> 디코더의 복잡한 구조를 iSTFT로 대체하면, 빠르고 효율적인 오디오 생성이 가능함
-> 멜 스펙트로그램은 크기 정보(Magnitude)를 멜 필터로 처리한 결과
<iSTFT의 장점>
기존 방식의 문제: 디코더가 오디오 파형을 생성할 때, 많은 복잡한 연산과 신경망 레이어를 사용
-> 이는 연산량 증가, 시간 지연 등의 문제 유발
-> iSTFT를 사용하면 위상(Phase)과 크기(Magnitude) 정보를 효율적으로 합성하여 파형 복원 가능
-> 계산량이 줄어들고, 속도 향상과 모델 경량화가 가능
-> 실시간 오디오 생성이나 대규모 데이터 처리에서 유리

목표: 업샘플링 없이 직접 푸리에 스펙트럼 계수(Fourier spectral coefficients)를 생성

기존 방식: 오디오 생성 모델은 보통 업샘플링(Upsampling)을 통해 파형을 생성. 하지만 업샘플링은 GPU 메모리 사용량을 크게 증가시키고, 연산 비용이 높음
- 새로운 접근법: 이 모델은 업샘플링 없이, 푸리에 변환(Fourier Transform)을 사용해 스펙트럼 계수(Fourier spectral coefficients)를 직접 생성
-> 즉, 푸리에 변환의 크기(Magnitude)와 위상(Phase) 정보를 직접 예측하고, 이를 iSTFT를 통해 파형으로 복원
-> 업샘플링을 제거하여 GPU 메모리 문제 없이 긴 문맥(Context)을 처리 가능
위상 스펙트럼(Phase Spectrum) 모델링의 도전 과제
-> 크기(Magnitude): 신호의 지속 시간 동안 서로 다른 주파수 성분의 진폭을 나타냄(직관적이고 모델링이 비교적 쉬움)
-> 위상(Phase): 위상 정보는 직관적이지 않으며, 조작 시 종종 예측 불가능한 결과를 초래
위상 정보를 잘못 다루면 왜곡된 파형을 생성할 가능성이 높음
아키텍처 (Architecture)
-> Mel → ConvNext → m, p → iSTFT (exp(m)∙(cos(p)+j∙sin(p)))
-> Mel 스펙트로그램 → ConvNext로 m (크기)와 p (위상) 추출 → iSTFT로 파형 복원
-> 긴 문맥(Context)을 모델링하기 위해 입력 시퀀스를 증가시킴
-> 표현을 업샘플링하지 않기 때문에 GPU 메모리 문제 없이 가능

(audio enCOder/DECoder)
<오디오 코덱과 토큰화의 공통점>
=> 데이터를 더 작은 단위로 변환하거나 효율적으로 처리하려는 목적
1) 데이터 압축 및 변환
오디오 코덱: 신호를 압축하여 저장 공간 절약 및 전송 효율성을 높임
토큰화: 텍스트를 작은 단위(토큰)로 변환하여 자연어 데이터를 효율적으로 처리
2) 입력 데이터를 더 작은 단위로 변환
오디오 코덱: 오디오 데이터를 샘플링하여 더 작은 주파수 단위로 변환
토큰화: 텍스트 데이터를 단어, 서브워드 또는 문자 단위로 분리
3) 모델 입력 준비
오디오 코덱: 모델이 오디오 데이터를 이해하거나 처리하기 쉽게 변환
토큰화: NLP 모델이 텍스트 데이터를 처리할 수 있도록 숫자로 변환

비양자화된 입력 벡터가 첫 번째 벡터 양자화기 VQ를 통해 처리됨
Q1(x): 첫 번째 양자화기의 출력 (원본 데이터의 초기 근사값)

양자화 잔차(Residuals)를 계산
잔차 = 잔차 - 𝑄𝑖(잔차)
-> 첫 번째 양자화기에서 나온 출력과 원래 입력 데이터의 차이를 계산
-> 이 잔차는 원본 데이터의 세부적인 정보(양자화로 손실된 정보)를 포함
잔차는 추가적인 양자화기(Quantizer) 시퀀스에 의해 반복적으로 양자화됨
-> 구해진 잔차를 다음 벡터 양자화기 𝑄2에 전달
-> 이 과정을 𝑁𝑞번 반복하며, 각 단계에서 잔차를 점점 줄여나감
<RVQ의 장점>
=> 여러 단계로 잔차를 양자화하면 대략적인 구조 → 세부 정보 → 미세한 디테일을 점진적으로 보정하므로, 원본 데이터에 가까운 정밀한 표현을 얻을 수 있음
- 더 높은 표현력: 단일 VQ와 달리, 잔차를 점진적으로 처리함으로써 데이터의 세부 정보를 더욱 정밀하게 표현 가능
- 효율적인 데이터 압축: 각 단계에서 잔차를 양자화하므로, 전체 데이터 표현의 품질을 높이면서도 효율적으로 압축 가능
- 유연성: 각 단계에서 다른 양자화기를 사용할 수 있어, 다양한 데이터 유형에 적응 가능
-> Loss 역전파로 높은 품질의 waveform 생성 가능함
-> 단기 푸리에 변환(STFT)의 결과를 입력으로 받아 오디오 데이터의 품질을 평가하는 모델
-> 이 모델은 복소수 기반 입력 데이터를 다양한 시간-주파수 스케일에서 분석하여 오디오 신호의 현실성을 판별
<장점>
- 다중 스케일 접근 방식: 다양한 창 크기를 사용하여, 신호의 시간적 및 주파수적 특성을 모두 포괄
- 복소수 데이터 처리: 실수부와 허수부를 모두 고려하여, 오디오 신호의 진폭(Magnitude)과 위상(Phase) 정보를 함께 분석
- 고품질 오디오 생성 지원: 생성 모델이 신호의 모든 세부 사항을 반영하도록 학습을 유도
<아키텍처>
2D 합성곱(Conv2D) 기반 구성

<Residual VQ의 문제점>
<장점>
<동작 과정>
입력 변환:
입력 텍스트 또는 음성을 신경 코덱을 통해 코드(Token) 형태로 변환
예: 음성을 벡터화하여 언어 모델이 처리할 수 있는 시퀀스로 변환
언어 모델의 활용:
언어 모델은 입력 코드를 기반으로 출력 코드를 생성
이 과정에서 기존 언어 모델이 가진 맥락 학습 능력을 사용하여 음성 스타일, 발화 패턴 등을 학습 없이 처리
출력 복원:
언어 모델의 출력(생성된 코드)을 신경 코덱을 통해 복원하여 최종 음성 출력

<분석>
다양성(Diversity) VS 정확도(Fidelity)
-> Diffusion 모델은 더 높은 다양성을 가질 수 있음. 하지만 신경 보코더(Neural Vocoder)는 다양한 파형을 생성할 필요가 X
-> 다양한 판별기(Discriminators)는 파형 신호의 다양한 패턴을 모델링 가능
추론 속도(Inference Speed)
-> GAN 기반 모델은 반복적인 생성 과정 없이 바로 파형 신호를 생성할 수 있음
GAN: Diversity가 좋지만, 느림
Diffusion: Fidelity(정확도)가 좋지만

1) 생성 품질 (Fidelity)
GAN:
높은 정확도로 현실적인 데이터를 생성 가능
판별기(Discriminator)를 사용해 생성 데이터를 정교하게 개선
Diffusion:
안정적이고 정교한 생성이 가능하지만, 데이터에 따라 GAN보다 낮은 정확도를 보일 수 있음
2) 다양성 (Diversity)
GAN:
종종 모드 붕괴(Mode Collapse)가 발생하여 특정 데이터 유형만 생성
예: 특정 화자의 음성만 반복적으로 생성
Diffusion:
높은 다양성을 보이며, 데이터 분포의 모든 모드를 효과적으로 캡처 가능