딥러닝은 장님이 코끼리를 만지는 것처럼 한 사람이 다 다루기에는 넓은 분야이다. 좋은 딥러닝 연구자의 조건은?구현 능력(Implementation Skills) :tensorflow 또는 pytorch를 활용하여 머릿속에 있는 것을 코드로 구현하고 실행할 수 있는 능력

DL Basics 1-3. Optimization Introduction 1) 용어의 중요성 > "Language is the source of misunderstandings" > -Antoine Saint-Exupe'ry (1900-1944) 최적화에서는 여러가

Neural networks are computing systems vaguely inspired by the biological neural networks that constitute animal brains.위 문장은 우리가 많이 들어본 AI 에 대한 정의와 비슷

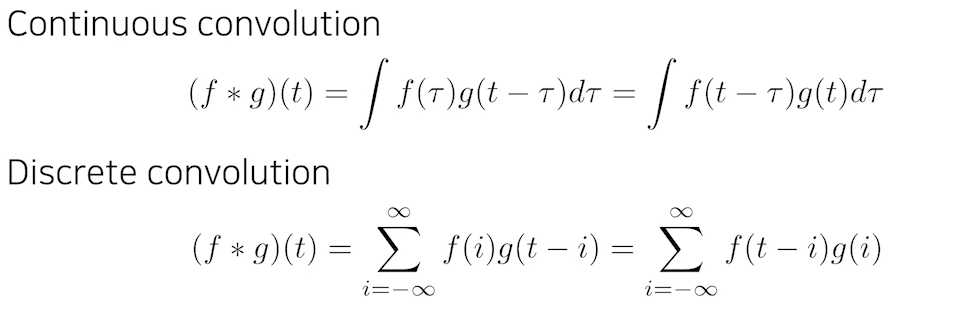
Convolution이라는 개념은 CNN에서 처음 나온 개념은 아니고,Signal processing에서 두 개의 함수가 있을 때 두 개의 함수(신호)를 잘 섞어주는 방법으로서 정의가 된다.우리가 실제로 많이 알고 있는 2D image Convolution은 아래와 같