단순 정의 : 사각형 안에 수를 행과 열에 맞춰 배열한 것
복잡한 선형 변환의 식을 계산하기 편하게 단순화시킨 계산 도구
선형 변환의 표현
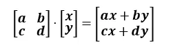
함수로서의 행렬 :
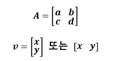
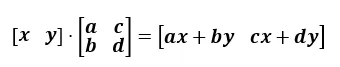
벡터로서의 행렬 :










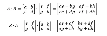
이의 결과는 무엇을 의미하는가?
정방 행렬은 같은 차원의 공간이 서로 대응되는 선형 변환을 의미한다.
열벡터는 벡터 공간의 벡터를 의미한다










앞으로 우리가 사용할 주요 선형 변환은 다음과 같음
10만개의 벡터에 위의 다섯가지 변환을 각각 적용하면 다음과 같이 50만번의 연산이 발생