

Sensitivity-based non-uniform Q
Dense-and-Sparse decomposition (= outlier extraction)
sparse part: stores outliers and sensitivity weight values in an sparse format.
dense part: compact range to aid Q.
main bottleneck for LLM inference: memory bandwidth
(rather than compute, specifically for single batch inference.)
LLaMA-65B: 130GB+ RAM for FP16 deployment >> current GPU capacity.
speed for load and store parameters
non-uniform Q
uniform Q의 두 가지 main issue
LLM의 weight distribution은 non-uniform patterns
uniform Q의 main 이점은 efficient integer computation인 반면, memory bound한 end-to-end latency를 향상시키진 않음.
Dense-and-Sparse Decomposition
Matrix를 dense, sparse로 decomposition하는 것은attention map decomposition에서 연구됨.
dense-and-sparse decomposition 전략을 Q 성능을 높이기 위해서, weight matrics에 적용한 것이 우리가 처음
아래 논문 기반으로 정리해 놓은 듯.
Inference behavior는 크게 두 가지 범주로 나눌 수 있음.
Arithmetic intensity
Memory-bound 문제
생성형 LLM inference는 다른 workload에 비해 극도로 낮은 arithmetic intensity를 보임.
거의 전적으로 matrix-vector multiplication으로 구성되어 있기 때문.
각 weight load가 단일 token에 대한 단일 vector만 처리할 수 있고,
여러 token에 대한 다중 vector로 분산되지 못하므로 데이터 재사용이 제한.
이러한 낮은 arithmetic intensity는 일반적인 GPU의 계산 연산과 대조될 필요가 있음.
GPU의 계산 연산은 memory 연산보다 수 단위 이상 높음.
계산 능력과 memory bandwidth 사이의 이러한 격차, 그리고 deep learning의 증가하는 memory 요구사항은 Memory Wall 문제로 불리고 있음.
이 문제를 더 자세히 설명하기 위해, 우리는 간단한 roofline 기반 성능 모델링 접근법(Kim et al., 2023)을 사용하여,
A5000 GPU에서 다양한 bit precision으로 LLaMA-7B의 runtime을 연구함. (Fig 2)

모든 computation이 FP16에서 유지된다고 가정하더라도, bit precision을 줄일수록 latency가 선형적으로 감소하는 것을 볼 수 있음.
이는 주요 bottleneck이 compute가 아닌 memory임을 나타냄.
요약하면, 생성형 LLM inference에서 weight를 memory에 loading하는 것이 주요 bottleneck이며,
dequantization과 FP16 computation의 비용은 상대적으로 작음.
따라서, activation은 full precision으로 유지한 채
weight만 lower precision으로 quantizing함으로써,
상당한 speedup과 함께 model size 감소를 얻을 수 있음.
이러한 insight를 바탕으로, 전략은 arithmetic operation에 overhead를 추가하더라도 memory size를 최소화하는 것.

LLM의 weight distribution은 non-uniform pattern을 가짐.

SqueezeLLM이 non-uniform Q를 선택한 이유
uniform Q의 두 가지 main issue
1.LLM의 weight distribution은 non-uniform patterns
2.uniform Q의 main 이점은 efficient integer computation인 반면, memory bound한 end-to-end latency를 향상시키진 않음.
non-uniform Q의 optimal config를 찾는 것은 결국
"k-means problem"을 푸는 것과 같다.
weight distribution이 주어졌을 때,
목표는 개의 centroid를 결정하는 것. (e.g., =8 for 3-bit)
formulation of "optimization problem for non-uniform Q"

optimal solution 는 1D k-means clustering으로 구할 수 있다.
(parameter들을 k개의 cluster로 묶고, 각 cluster의 centroid를 q_j로 할당.)
이 방법은 이미 uniform Q보다 성능이 좋지만,
본 연구에서는 더 향상된 sensitivity-based clustering 알고리즘을 제안.

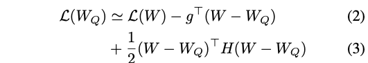
Quantization은 각 layer마다 perturbation을 일으키지만,
각각의 layer에 focus하기 보단,
final loss에 관한 overall perturbation을 최소화해야 한다.
(Q 이후의 end-to-end 성능 하락에 더 direct한 measure)이기 때문.
더욱 sensitive한 value를 결정하기 위해,
weights 의 변화(perturbation)에 따른 loss의 변화를
Taylor expansion을 사용해서 .

= gradient, = hessian
model이 converged 됐다고 가정하면, gradient
weights 의 변화(perturbation)에 따른 loss의 변화는 다음과 같다.
(즉, 새롭게 정의된 optimization problem은 다음과 같다.)

: Hessian을 Fisher info로 approx.
Hessian 를 computing하는건 비싸므로,
Hessian을 Fisher information 를 기반으로 .

단지 일련의 sample에 대한 gradient를 계산하면됨.
: Fisher info에서 diagonal만 사용.
Fisher information matrix에서 diagonal matrix만 사용.
diagonal(weight themselves)이 아닌(weight 간의 interaction)은 무시할만 한다고 가정.

Eq (5)의 중요한 결론은 이 문제가 weighted k-means clustering 문제로 해석될 수 있다는 점.
Fig 3에서는 예시로 든 weight distribution의 Fisher information을 기반으로 상위 20개의 sensitive value를 보임.



weight의 ~99.9%는 전체 range의 ~10% 범위에 집중되서 분포.

따라서, 단순히 weight를 Q하면, 성능 심각하게 하락.
하지만 이는 기회이기도 함.
소수의 outlier value (예를 들어, 0.1%)만 제거함으로써
weight value의 범위를 10배 정도 축소 가능.
weight matrix 를 S와 D로 decomposition
sparse matrix(S)
dense matrix(D)
는 distribution의 percentile을 토대로,
outlier를 정하는 threshold.

중요한 점은 이 decomposition의 overhead가 최소라는 점.
SqueezeLLM: minimize the perturbation to the end layer
GPTQ try to minimize the perturbation not to the end layer, but to the specific layer that is being quantized.
Optimal Brain Damage [1] (which minimizes perturbations to the end layer/loss and is also used by our method)
vs
Optimal Brain Surgeon [4] (which minimizes perturbations to a specific layer in isolation and used by methods such as GPTQ).
This is expected since perturbation errors in a particular layer may not be important if the predictions of the network are not sensitive to that particular layer. (squeezeLLM authors)