ML 포스팅은 한학기동안 머신러닝 스터디를 하며 공부한 내용을 바탕으로 하였으며,

O’Reilly Hands-On Machine Learning with Scikit-Learn, Keras, and TensorFlow, 2nd Edition을 기반으로 하고 있습니다.
1편) What is Machine Learning?
2편) Linear Regression, Gradient Descent
3편) Regularization, Logistic Regression
4편) SVM
5편) Decision Tree
6편) Ensemble
7편) Dimension Reduction

대부분의 sample들이 3차원 공간 내에 평면 형태로 놓여 있음

- 매니폴드 학습

그림 4의 데이터처럼 부분 공간이 뒤틀리거나, 휘어있는 경우가 다수 존재함
단순한 Projection을하게되면 왼쪽의 그래프의 결과를 얻게 되기 때문에, dataset에 매니폴드 학습(manifold learning)을 통해서 오른쪽 그래프의 결과를 도출해내는 것
(고차원 데이터셋이 더 낮은 저차원 manifold에 가깝게 놓여 있다는 매니폴드 가정, 가설에 근거함)
Train dataset의 차원을 감소시키면 훈련 속도는 빨라지지만, 항상 더 나은 결과로 귀결되는 것은 아님!
주성분 분석 (Principal component analysis)
데이터에 가장 가까운 초평면(hyperplane)을 정의한 후, 데이터를 이 평면에 투영함
그럼 어떻게 적절한 Hyperplane을 정의할 수 있을까??
실선 투영 – 분산을 최대로 보존
점선 – 분산을 매우 적게 보존
PCA process
1) 분산이 최대인 축을 도출
2) 첫번째 축에 직교하면서 남은 분산을 최대한 보존하는 두번째 축을 찾음
3) 1,2번의 과정을 반복하며 n번째 축까지 찾아냄
-> i번째 축을 이 데이터의 i번째 주성분(principal component)라고 부름
주성분(i-1번째 축에 직교하면서, 분산을 최대로 보존하는 i번째 축)을 찾는 방법
SVD(Singular value decomposition, 특이값 분해)를 통해 훈련 세트 행렬 X를, 3개 행렬의 행렬 곱셈으로 분리
주성분 추출
d차원으로 투영
주성분 추출후에는 처음 d개의 주성분으로 정의한 초평면에 투영하여 데이터셋의 차원을 d차원으로 축소
초평면에 훈련 세트를 투영하고, d차원으로 축소된 데이터셋을 얻기 위해서는
행렬 X와 V의 첫d열로 구성된 행렬 Wd를 행렬 곱셈
from sklearn.decompostion import PCA
pca = PCA(n_components = 2)
X2D = pca.fit_transform(X)
변수에 저장된 주성분의 설명 된분산의 비율을 통해, 각 주성분 축을 따라 있는 데이터셋의 분산비율 확인
이후, 충분한 분산을 가지게 될때까지 적절한 축소할 차원수를 선택
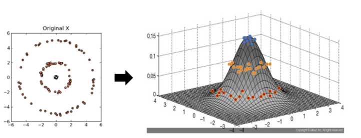
커널 트릭비선형 함수인 커널함수를 이용하여 비선형 데이터를 고차원 공간으로 매핑하는 기술
원본 공간에서는 복잡한 비선형 결정 경계 == 고차원 특성 공간에서의 선형 결정 경계
같은 기법을 PCA에 적용
어떤 Kernal가 하이퍼파라미터를 선택해야 할까?
1) Dimension Reduction -> 비지도 학습 : 성능 측정 기준??
차원 축소 자체가 지도 학습의 전처리 단계에서 사용되기 때문에, 주어진 문제에서의 성능이 가장 좋은 Kernal과 Hyperparameter를 선택!
2) 가장 낮은 재구성 오차를 만드는 Kernal과 Hyperparameter를 선택
1) 원본 3D 데이터셋
2) RBF 커널의 kPCA를 적용한 2D 데이터셋
3) 재구성된 3D 데이터셋
4) 무한차원의 특성공간에 매핑 후 2D로 투영
재구성의 어려움
rbf_pca = KernelPCA(n_components = 2, kernel='rbf', gamma=0.0433, fit_inverse_transform=True)
X_reduced = rbf_pca.fit_transform(X)
X_preimage = rbf_pca.inverse_transform(X_reduced)