
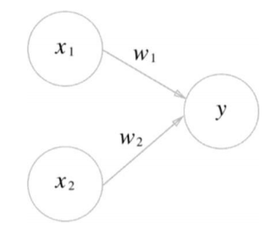
퍼셉트론

수식

AND, OR, NAND 게이트
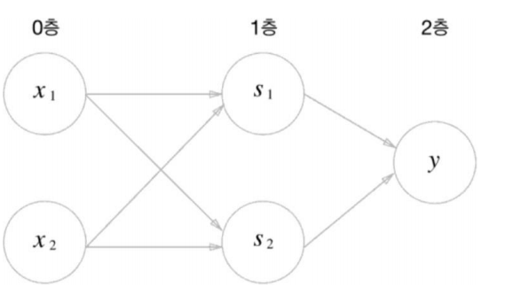
XOR 문제

직선 하나로는 문제 해결 불가

다층의 퍼셉트론이 필요

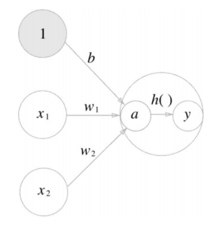
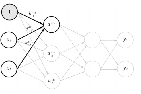
편향을 고려한 표현


활성화 함수

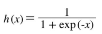
0과 1의 출력을 내고 싶으면 시그모이드

활성화함수는 비선형이 주로 사용: 선형 함수를 쓰면 합성의 의미가 없음
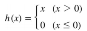
ReLU

신경망은 행렬의 곱 연산이 많이 사용

가중치 표기법

입력층에서 그 다음단계로 진행 (활성화 함수)




그래프를 이용해서 계산하면 확장이 용이함

역전파



이 글은 제로베이스 데이터 취업 스쿨의 강의 자료 일부를 발췌하여 작성되었습니다