

-> feature 수가 너무 많아짐
< Sensor representations in the brain>


: 여러 층의 신경망이 간단한 선형 문제뿐만 아니라 복잡한 비선형 문제도 해결할 수 있음
: 은닉층에 비선형 함수를 사용하지 않으면, 여러 층을 쌓더라도 신경망 전체는 여전히 하나의 선형 함수처럼 작동하기 때문에, 각 레이어마다 비선형 함수를 사용해야 각 은닉층이 새로운 표현을 학습할 수 있음
: 선형 모델은 데이터의 구분을 직선으로만 수행할 수 있지만, 비선형성을 통해 곡선 또는 복잡한 형태의 Decision boundary를 학습할 수 있음


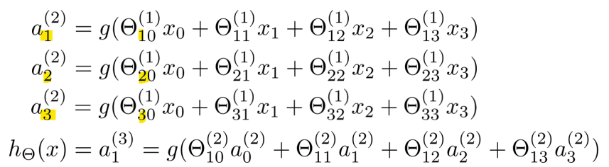
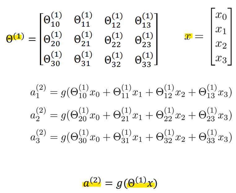
-> 위쪽에는 layer 번호를 표기
-> theta 아래에는 도착 노드, 출발 노드 번호를 차례대로 표기



-> R: 출력층 노드 수 x 입력층 노드 수(bias term 포함해야 함 + 1! 주의)









-> 두 값이 같아야 true이거나 두 값이 달라야 true임




-> AND + (NOT)AND(NOT) + OR 세 가지를 합침



