
궁금증, 반복문의 범위와, 인덱스가 왜 0부터 출발하는 지에 대한 나름의 답변입니다. :)

🤔 변수명은 어디에 저장될까?

전류가 흐른다....

기계어와 어셈블리어는 어떻게 데이터 타입을 알까?

Node js 소켓 통신 app.listen

🤔 컴퓨터에게 실수란?

Node.js 버전 맞추기!

외래 키

트랜지스터

🤔 3 나누기 2의 몫은 1.5인가?

🤔🤔🤔🤔🤔 배열 출력하는데 for문을 돈다고 ??????

구조 분해 할당 + Group Assignment

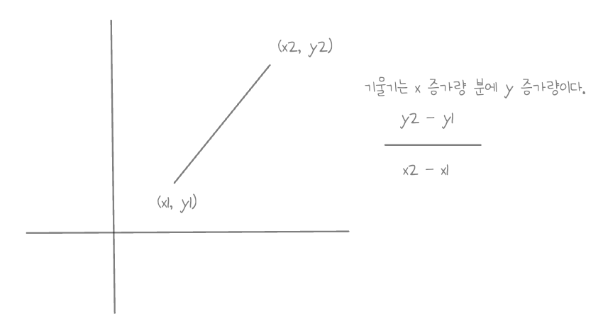
기울기, 대각선

map 자료구조

키보드를 누르면?