swift란 Swift는 애플이 2014년에 발표한 프로그래밍 언어로 ios, macOS, watchOS, tvOS 등 애플의 모든 플랫폼에서 애플리케이션을 개발하는데 사용된다. 기존 Objectiv-C에서 복잡성을 개선하고, 현대적인 언어 디자인을 통해 더 쉽고 안전
Swift DataType 다음 할 일 함수

Swift Xcode로 아이폰 계산기 앱을 만들어 봅시다숫자 버튼 클릭시 해당 숫자 도출 가능C(clear) 버튼 클릭시 0으로 초기화\+, -, \* 등 사칙연산 기호 기능 만들기현재 백그라운드컬러가 사각형으로만 적용 되어 있는데 풀 화면 채우는 방법 찾기

/, +, -등 계산기호 기능 추가상단에 수식 전체 미리보기 추가복합연산 가능아이폰 전체 백그라운드 컬러 지정 아직도 방법 못찾음

로그인 메인 화면회원가입 화면계정 찾는 화면화면 이동NavigationView: 뷰 계층을 감싸서 화면 전환을 가능하게 하는 컨텍스트를 제공합니다.NavigationLink: 특정 버튼이나 텍스트와 연결되어 상호작용 시 해당 목적지 뷰로 화면을 전환합니다.입력Text

Swift랑 Firebase 연결해서 사용하려 했으나 오류 발생함이 오류를 찾다가 나중에 다시 오류를 해결해보자하고 차선책으로 Node.js랑 MongoDB로 연결하고 로그인 채팅 기능을 구성하려함

MongoDB 연결후 회원가입 후 로그인로그인 swift 코드node.js MongoDB 응답chatView는 따로 분리해서 함주고받는 ui 구성하기ui 다듬기배포해보기

채팅앱 - 채팅화면 구성내가 메시지를 보내면 1초후에 상대방의 응답 메시지를 출력하게하여 주고 받는 것처럼 임시 구성해보았다채팅 내용 db에 저장여러 사용자가 채팅에 참여할 경우 나타내기

저번엔 사전캠프 때 만든 SwiftUI로 만든 계산기앱을 다시 만들어 볼 꺼다 UIkit을 곁들인..먼저 UIkit을 사용하려면 조금 세팅이 필요하다. 코드베이스로 작성하려고 함Interface를 Storyboard로 세팅 해주고 Main이란 이름을 가진 스토리보드를
계산기 로직을 구현하다가 나머지 연산을 수행하는 과정에서 오류가 발생했다.Swift에서 Double 타입에는 % 연산이 안되고 따로 truncatingRemainder(dividingBy:)메서드를 사용해야 한다.
Closure 클로저란.. 클로저는 코드에서 일급 객체로 취급되는 익명 함수로, 변수나 상수에 할당하거나 다른 함수에 인자로 전달할 수 있다. Swift의 클로저는 JavaScript의 함수와 비슷한 역할을 하며, 클로저는 함수와 유사하지만 매개변수 이름을 생략할 수

주제 ARC
iOS에서 네트워크 요청을 처리하기 위한 프레임워크이다. 서버와 데이터를 주고받을 수 있게 도와주는 API로, HTTP 요청, 파일 다운로드 및 업로드, 백그라운드 작업 등을 처리할 수 있다. URL Session을 사용하면 REST API와 같은 서버와의 통신, JS
Alamofire는 iOS와 macOS 앱 개발을 위한 Swift 기반의 네트워킹 라이브러리이다. HTTP네트워크 요청을 쉽게 처리할 수 있도록 도와주는 라이브러리로 Apple의 기본 네트워킹 라이브러리인 URLSession보다 간결하고 직관적이다간단한 HTTP 요청:

Model : 데이터 구조와 비즈니스 로직을 관리합니다. 서버에서 데이터를 가져오거나 로컬 데이터베이스를 사용해 데이터를 유지한다.View : 데이터를 표시하고, 사용자 상호작용을 처리합니다. SwiftUI를 사용하면 @Published프로퍼티를 이용해 뷰 모델의 데이
SwiftLint는 Swift 프로젝트에서 코드 스타일과 규칙을 자동으로 점검하고 일관성을 유지하도록 도와주는 도구이다.Homebrew를 이용한 설치터미널에 명령어 실행Xcode 프로젝트에 SwiftLint 추가하기프로젝트 디렉터리로 이동SwiftLint를 Xcode

저번엔 Command Line Tool을 이용해서 계산기 프로그램을 만들었다면 이번엔 iOS UIKit을 이용해서 만들어봅시다.level 1 : UILabel을 사용해서 수식을 표시할 수 있는 라벨을 띄우기level 2 : UIStackView을 사용해서 4개의 버튼을

주제 계산기 TroubleShooting 배경 level 1 : UILabel을 사용해서 수식을 표시할 수 있는 라벨을 띄우기 level 2 : UIStackView을 사용해서 4개의 버튼을 모아 가로 스택뷰 생성 level 3 : UIStackView을 사요해서
역할: 객체의 인터페이스를 정의하여 외부와의 상호작용 통로 제공.추상화: 필요한 정보와 동작만 노출하여 내부 구현을 캡슐화.다형성 지원: 클래스, 구조체, 열거형 모두 프로토콜을 채택 가능하며, 이를 통해 클래스 외의 타입에서도 다형성을 구현.프로토콜 확장: 프로토콜
Swift에서 Reactive Programming을 구현하기 위한 프레임워크이다. 비동기 데이터 흐름과 이벤트 기반 프로그래밍을 처리할 수 있도록 도와준다Reactive Programming\-> 데이터가 변경될 때마다 이를 관찰하고, 반응적으로 처리하는 방식\->
구체적인 타입을 반환하지만 숨긴다.컴파일러는 반환 타입을 알아야 한다.다형성과는 다르다구현 세부사항 은닉최적화 가능성가독성 향상반환 타입의 일관성다중 타입 지원 불가Opaque Type은 Swift에서 캡슐화와 성능 최적화를 동시에 제공하는 강력한 도구입니다. 특히,

팀 프로젝트 키오스크 상품 화면 구성중에 상품 셀이 4개 이상이 되었을 때 상하 스크롤 구성이 아니라 좌우 스와이프 구성으로 만들려고 함UIPageControll로 한 화면에 보여지는 상품셀을 정하고 좌우 스크롤이 가능하게 함아래에 페이지가 표시되며 좌우로 스와이프 하
URLSessionAlamofire프로젝트에서 Alamofire을 설치하고 사용URLSession은 기본적으로 사용 가능하며 추가 의존성이 없다. 간단한 작업에 적합하다Alamofire은 더 간편하고, 다양한 기능을 제공한다. 프로젝트 규모가 크거나 복잡한 네트워크 요

XX게임에는 피로도 시스템(0 이상의 정수로 표현합니다)이 있으며, 일정 피로도를 사용해서 던전을 탐험할 수 있습니다. 이때, 각 던전마다 탐험을 시작하기 위해 필요한 "최소 필요 피로도"와 던전 탐험을 마쳤을 때 소모되는 "소모 피로도"가 있습니다. "최소 필요 피로
클래스, 구조체, 또는 열거형의 새로운 인스턴스를 생성할 때 사용되는 특별한 메서드다.초기화 과정에서 해당 타입의 모든 속성을 설정하고, 초기 상태를 준비해주는 역할을 한다.보통 init키워드를 사용해서 정의해디폴트 Initializer: 모든 속성에 기본값이 있다면
7-2 백트래킹으로 푼 문제 순열방식으로 풀어보기XX게임에는 피로도 시스템(0 이상의 정수로 표현합니다)이 있으며, 일정 피로도를 사용해서 던전을 탐험할 수 있습니다. 이때, 각 던전마다 탐험을 시작하기 위해 필요한 "최소 필요 피로도"와 던전 탐험을 마쳤을 때 소모되
COW는 Copy-on-Write의 약자로 객체나 값이 변경될 때까지 데이터를 복사하지 않고 지연시켜서 성능을 최적화하는 기법이다. 주로 값 타입(struct, enum)에서 사용되며, Array, Dictionary, Set등의 컬렉션 타입에서 이를 구현하여 데이터

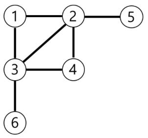
문제 설명n개의 노드가 있는 그래프가 있습니다. 각 노드는 1부터 n까지 번호가 적혀있습니다. 1번 노드에서 가장 멀리 떨어진 노드의 갯수를 구하려고 합니다. 가장 멀리 떨어진 노드란 최단경로로 이동했을 때 간선의 개수가 가장 많은 노드들을 의미합니다.노드의 개수 n,
비동기 코드 작성과 관련된 복잡성을 해결하기 위해 설계되었음async는 비동기 함수임을 나타내며 await는 비동기 함수의 결과를 기다리는 역할을 합니다Task는 비동기 작업을 병렬로 실행하기 위한 구조체입니다. 비동기 작업을 큐에 추가하고 작업이 완료되면 결과를 처리

오늘 카카오맵 api연동을 하다가 SandBox 오류가 발생해서 한 번 알아보겠다.Apple의 Sandboxing은 앱이 시스템과 상호 작용하는 방식을 제한하고 제어하는 보안 메커니즘입니다. 앱은 기본적으로 자신의 Sandbox(격리된 공간) 안에서 실행되며, 명시적으

주제 Kickboard TroubleShooting 배경 카카오맵 api를 사용함에 있어서 SPM(Swift Package Manager), CocoaPods는 종속성 관리 도구로, 외부 라이브러리를 쉽게 프로젝트에 통합할 수 있게 해주는 도구이다. 발단 먼저 카카

두 개의 단어 begin, target과 단어의 집합 words가 있습니다. 아래와 같은 규칙을 이용하여 begin에서 target으로 변환하는 가장 짧은 변환 과정을 찾으려고 합니다.1\. 한 번에 한 개의 알파벳만 바꿀 수 있습니다.2\. words에 있는 단어로만
Xcode Instruments는 애플의 Xcode 개발 환경에 포함된 강력한 성능 분석 및 디버깅 도구입니다. 이 도구를 사용하면 iOS, macOS, watchOS, tvOS 애플리케이션의 성능과 동작을 분석하고 최적화할 수 있습니다. Instruments는 애플리
Swift에서 데이터 흐름과 상태 변화를 관리하기 위해 Reactive Programming의 패러다임을 적용하는 것을 의미합니다. Swift의 RxSwift 또는 Combine 같은 프레임워크를 사용해 구현할 수 있습니다. 이를 통해 비동기 작업, 이벤트 기반 시스템
이번 과제하면서 네트워크에서 이미지를 불러와서 앱에서 표시하는 작업을 할때 Kingfisher를 사용하게 되어 알아보려고 한다. Kingfisher는 Swift로 작성된 강력하고 사용하기 쉬운 라이브러리로 이미지 다운로드와 캐싱을 간단하게 처리할 수 있도록 도와준다이미
정의: 데이터 스트림을 생성하고 이를 구독자에게 전달하는 기본 객체입니다.특징:단방향 데이터 흐름: 데이터를 생성하여 구독자에게 전달.구독자가 없으면 데이터를 생성하지 않음 (지연 실행, lazy).기본적으로 cold observable: 데이터 스트림이 구독자별로 독

NetworkManger 구현 세부사항 싱글톤 패턴fetch 메서드 ( func fetch<T: Decodable>(url: URL) -> Single )MVVM - model 구현세부사항limit = 20, offset = 0 포켓몬 정보 로드포켓몬 디테일 정보

아이폰 다이나믹 아일랜드가 있는 기종에 저렇게 화면이 가려지는 경우가 발생safeAreaLayoutGuide 사용safeAreaLayoutGuide는 iOS에서 레이아웃을 구성할 때 화면의 "안전 영역(safe area)"을 기준으로 제약을 설정할 수 있도록 도와주는
Swift에서 TDD(Test-Driven Development)는 소프트웨어 개발 방법론 중 하나로, 테스트 코드를 먼저 작성하고 그 테스트를 통과하는 최소한의 코드를 구현하는 방식으로 개발을 진행합니다. 이 과정은 다음의 3단계로 나뉩니다:테스트를 작성하지만 아직

단어장 앱 에 들어가야 되는 기능체크리스트필수 구현 기능단어장 추가 기능단어 추가 기능단어 외우기 기능단어 외우기 기록 저장학습을 독려할 수 있는 UX사용자 친화적인 인터페이스추가 구현 기능(선택)문제 풀기 기능맞힌 문제 / 틀린 문제 개수 보기애니메이션디자인 패턴Rx

주제 최종 프로젝트 WireFrame 프로젝트 주제 : 환율 api를 곁들인 가계부 앱 WireFrame

웹 같은 경우 페이지의 개발자 모드에서 margin등을 다 확인할 수 있는데, 앱 같은 경우는 쉽지 않다 그래서 확인이 어렵다.앱을 빌드후 저 아이콘을 클릭하면이런 화면이 나타나게 된다이를 통해 계층을 쉽게 사용된 UI를 쉽게 알 수 있고 크기를 쉽게 확인할 수 있다.

위의 두 화면을 합쳐야 되는데 현재 합치면 지출 내역의 셀이 나타나지 않고 있음합쳐지면서 레이아웃이 깨지면서 해당 셀이 나타나지 않는걸로 보임.. 수정중..
앱을 개발한 후, 실제 기기에서 충분히 테스트하여 버그를 최소화해야 합니다. 테스트할 때는 다음 사항을 고려하세요.기능 테스트: 모든 기능이 정상 작동하는지 확인UI 테스트: 다양한 화면 크기 및 다크 모드에서 UI 확인네트워크 테스트: 오프라인 환경 및 네트워크 상태