이 글은 Coursera에서 제공하는 Andrew Ng 교수님의 Supervised Machine Learning : Regression and Classification 강의를 듣고 기록한 것입니다.
Linear Regression은 Regression model의 한 예시로, 단지 데이터를 직선에 맞추는 것을 의미한다.
Linear Regression은 생각보다도 훨씬 더 많이 사용되는 방식인데, 그 이유는 표현하기 상대적으로 쉽고 간결하기 때문에 더 복잡한 Non-linear 모델을 얻기 위한 토대가 되는 선으로 사용하기 좋기 때문이다.
아래의 사진은 Linear Regression의 적용 예시이다. 만약 내가 부동산 주인이고, 손님이 집을 얼마에 팔 수 있는지 물어본다면, 나는 내가 가진 데이터셋을 활용해 비용을 산출해야 한다. 이를 위한 방법 중 하나가 선형 회귀 모델을 만드는 것이다.

이러한 Regression model은 input과 right answer(price)를 통해 예측하므로 Supervised learning에 해당한다.

Cost Function에 대해 알아보기 전 알아야 할 기본적인 개념을 살펴보자.
Supervised learning에서는 features와 targets가 담긴 데이터셋을 통해 Learning algorithm을 만들어내고, 이를 통해 함수 f를 만든다. 이 함수를 우리는 model이라고 부른다.
이러한 함수 f는 새로운 입력값 x를 받고,이에 대한 예측값 를 추정하는 역할을 한다.
모델 f에는 다음과 같은 수학적 공식이 적용된다.
이때, w, b에 선택된 값이 x를 기반으로 을 결정한다. 또한, 이 식은 일차함수와 같은 꼴이라서 이를 Univariate linear regression이라고도 한다.
참고로, 이 공식에서 라는 표현은 와 같은 표현이다. 그렇기에 둘 중 무엇으로 표현하든 상관이 없다.
그렇다면 이제 Cost Function에 대해 자세히 알아보자.
일단, Cost Function에서 사용하는 Model은 이다. 이때, w와 b는 parameters 값으로, w, b에 대해 선택한 값에 따라 다른 함수 f를 생성한다. 그리고 함수 f는 값에 따라 다른 선을 그래프에 생성한다.
그림으로 살펴보면 좀 더 직관적으로 이해할 수 있다.

이렇게 w, b 값에 따라 함수가 변화하는 것을 확인했다. 이제 우리가 해야할 일은, 이를 이용해서 함수 f에서 얻은 직선이 에 잘 맞도록(예측의 정확도가 높도록) w, b의 값을 선택하는 것이다. 즉, 새롭게 입력 받은 x에 대한 예측 결과 가 기존 데이터 셋의 right answer과 최대한 비슷하거나 근접하도록 값을 조절해야 한다는 것이다.
따라서 와 y 값의 오차가 최소가 되도록 w, b의 값을 찾아야 한다. 우리는 이를 위해 Cost Function을 사용한다. 이를 통해 예측 값이 target 값으로부터 얼마나 멀리 떨어져 있는지 측정한다. 이 Cost Function이 작을수록, 실제 결과값과 유사한 예측값을 도출한다.
Cost Function을 작게 만들기 위해선 결국 w, b 값을 조절해 가면서 작은 값을 도출해 내야 한다. 왜냐하면 Cost Function을 구하기 위해선 에서 y를 뺀 값인 error를 구해야 하기 때문이다.

이를 정리하면 다음과 같다.

Cost Function에서 b=0으로 가정하고, 단순한 형태의 그래프로 표현했을 때 다음과 같이 수프 모양의 그래프가 나온다. 이때의 목표도 마찬가지로 w 값을 조절하여 Cost Function J(w)를 최소화하는 w를 찾는 것이므로 여기서 w는 1을 선택하는 것이 좋다.

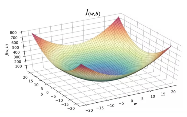
만약 b가 0이 아닌 값을 지닌다면 w와 b 값을 모두 그래프에 표현해야 하기 때문에 그래프는 다음과 같이 3차원의 형태를 지닌다.

그런데, 이 3차원 그래프를 통해 w, b 값을 선택하고자 하면, 조금 복잡한 부분이 있다. 그래서 우리는 이걸 좀 더 직관적으로 파악하기 위해 등고선도를 활용한다.
등고선도는 3D 그래프를 위에서 보는 것과 비슷한 형태로, 등고선이 같으면 w, b 값이 달라도 같은 J 값을 지닌다.
또, 등고선도에서는 타원의 중심이 J의 minimum 값을 가리킨다. 따라서 우리는 아래의 사진과 같이 J가 최대한 타원의 중심에 오도록 w, b 값을 선택하여야 한다.

사실 이렇게 직접적으로 찾는 방법 말고 J의 값이 최소화되는 w, b 값을 자동으로 찾아주는 알고리즘이 있는데, 이를 경사하강법이라고 한다. 이는 다음 시간에 더 자세히 다루게 될 것이다.