범위가 조금 넓어서 이번주 스터디에선 그래프의 표현 , 유니온 파인드 , 위상 정렬에 대해서 스터디를 해봤습니다!정의: 정점(Vertex, Node)과 간선(Edge)을 모아 객체 간의 관계를 표현하는 자료구조.예시: 지도/지하철 최단경로, 전기 회로, 도로망(교차점-
Dynamic Programming(DP) 알고리즘입력 크기가 작은 부분 문제들을 해결한 후에그 해들을 이용하여 보다 큰 크기의 부분 문제들을 해결하여최종적으로 원래 주어진 입력의 문제를 해결분할 정복 알고리즘과 DP 알고리즘의 전형적인 부분 문제들 사이의 관계imag
그리디 알고리즘은 최적화 문제를 해결하는 알고리즘최적화 (optimization) 문제가능한 해들 중에서 가장 좋은 (최대 또는 최소) 해를 찾는 문제욕심쟁이 방법, 탐욕적 방법, 탐욕 알고리즘 등으로 불림그리디 알고리즘은 (입력) 데이터 간의 관계를 고려하지 않고 수
주어진 문제의 입력을 분할하여 문제를 해결(정복) 하는 방식의 알고리즘분할한 입력에 대하여 동일한 알고리즘을 적용하여 해를 계산이들의 해를 취합하여 원래 문제의 해를 얻음부분 문제와 부분 해분할된 입력에 대한 문제를 부분 문제 ( subproblem)부분 문제의 해를
알고리즘문제를 해결하는 단계적 절차 또는 방법여기서 주어지는 문제는 컴퓨터를 이용하여 해결알고리즘에는 입력이 주어지고, 알고리즘은 수행한 결과인 “해”알고리즘의 일반적 특성정확성 : 주어진 입력에 대하여 올바른 해를 주어야 ( 랜덤 알고리즘 제외 )수행성 : 컴퓨터에서
학교에서 진행하는 알고리즘 수업을 정리해보려고 한다.카드의 숫자를 하나씩 비교하면서 본 숫자들 중에서 가장 큰 숫자를 기억해가며 찾기마지막 카드의 숫자를 본 후에 , 머릿속에 기억된 가장 큰 숫자가 적힌 카드를 바닥에서 집어든다.O(n)이런 방법을 순차 탐색 ( Seq

주어진 문제의 입력을 분할하여 문제를 해결(정복)하는 방식의 알고리즘분할한 입력에 대하여 동일한 알고리즘을 적용하여 해를 계산이들의 해를 취합하여 원래 문제의 해를 얻음부분 문제와 부분 해분할된 입력에 대한 문제를 부분 문제 (subproblem)부분 문제의 해를 부분

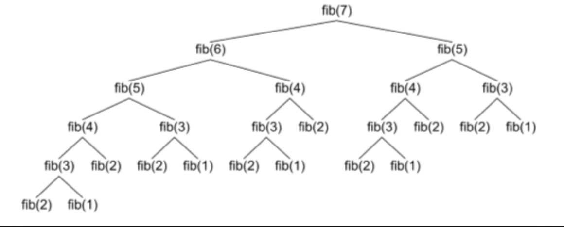
문제 풀이에 들어가기에 앞서서 DP에 대해서 먼저 찾아봤다.하나의 큰 문제를 작은 문제로 나누어 해결하는 기법을 의미.기존의 재귀적인 문제 풀이 방법으론 이전의 값(같은 값)을 여러 번 구하는 문제점이 있음→ N이 커질 수록 기하급수적으로 비효율적인 프로그램이 됨. 그
Hashing은 데이터를 저장하고 조회하는 데 사용되는 고속 탐색 기법으로, 배열 기반 자료구조와 \*\*해시 함수(hash function)\*\*를 이용하여 구현됨.일반적으로 해시는 \*\*키(key)\*\*를 기반으로 한 값을 특정한 위치에 빠르게 저장하거나 검색
이 코드는 배열 기반 스택 구조를 C 언어로 구현한 예제입니다. 주요 기능은 다음과 같습니다:스택 초기화, 삽입(push), 제거(pop), 확인(peek)스택 전체 출력(print)오버플로우, 언더플로우 검사예제 실행: 문자 'c', 'a', 't', 's'를 삽입하
삽입 정렬은 배열의 왼쪽부터 차례대로 하나씩 원소를 꺼내, 그것을 앞에 있는 정렬된 부분에 적절한 위치에 삽입하면서 정렬을 완성하는 방식이다.→ 마치 카드를 손에 들고 정렬하는 것과 비슷하다.두 번째 원소부터 시작한다.현재 원소(key)를 정렬된 부분(왼쪽)에 있는 원
이번 방학에는 cs 관련 공부에 집중하여 스터디를 할 계획이다. 방학 때 동안 cs 관련 지식들을 쌓고 제대로된 이해를 통해서 코드를 작성하는 개발자가 되고싶다. Stack 메모리 안 데이터들을 더욱 효율적으로 관리할 수 있게 도와주는 자료 참조 방식 FILO (
넘파이는 과학 계산을 위한 파이썬 핵심 라이브러리로, 고성능 다차원 배열 객체 및 다양한 수학 함수 제공pip을 이용해 넘파이를 설치하고, import로 불러와 버전을 확인합니다.np.arange()로 배열을 만들고 reshape()로 형태를 바꿉니다.dtype 속성으
delta 계산지도: 라벨 있음 (분류, 회귀)비지도: 라벨 없음 (군집, 차원축소)RandomForest/DecisionTree: 과적합 가능성Perceptron/SGD: 일반화 잘 되었을 가능성K-Fold: 데이터 K개로 나눠 반복 평가Leave-One-Out: 하
넘파이 배열 관련 기능을 시연합니다.넘파이 배열 관련 기능을 시연합니다.넘파이 배열 관련 기능을 시연합니다.넘파이 배열 관련 기능을 시연합니다.넘파이 배열 관련 기능을 시연합니다.넘파이 배열 관련 기능을 시연합니다.넘파이 배열 관련 기능을 시연합니다.넘파이 배열 관련
넘파이 라이브러리를 설치합니다.넘파이 배열 관련 기능을 시연합니다.넘파이 배열 관련 기능을 시연합니다.넘파이 배열 관련 기능을 시연합니다.넘파이 배열 관련 기능을 시연합니다.넘파이 배열 관련 기능을 시연합니다.넘파이 라이브러리를 설치합니다.다음 경로에서 파일을 다운받고
넘파이를 np라는 이름으로 불러오고 버전을 출력합니다.넘파이를 np라는 이름으로 불러오고 버전을 출력합니다.리스트나 데이터프레임을 넘파이 배열로 변환합니다.리스트나 데이터프레임을 넘파이 배열로 변환합니다.넘파이 배열 관련 기능을 시연합니다.리스트나 데이터프레임을 넘파이
✅ Section 01. 넘파이 소개 > 넘파이 라이브러리를 설치합니다. > 넘파이를 np라는 이름으로 불러오고 버전을 출력합니다. ✅ 2. 넘파이 배열 > arange로 생성한 배열을 reshape로 모양 변경합니다. ✅ dtype > 배열의 데이터 타입을 확인합니다. ✅ ndim > 배열의 차원 수를 확인합니다. ✅ T > 배열의 전치...
이번주 스터디 과제는 구글 소셜 로그인 해보기이다!! 소셜 로그인은 완전 처음 해보는거라 먼저 구글링부터 해보았다.'소셜 로그인'이란 별도의 회원가입 절차 없이 소셜 미디어 계정을 이용해 간편하게 새로운 앱이나 웹 사이트를 이용할 수 있는 기능입니다.캐치시큐(https
오늘은 저번에 실패했던 aws를 통한 ec2 배포 해보기를 마무리 해보려한다.저번에 해결하지 못했던 오류를 다시 가져와봤다.사실 그 다음에도 이 문제가 계속 해결이 되지않았다. 위의 오류를 간단하게 해석하자면 , Spring 앱이 MariaDB에 접속을 시도했지만 아이