
Diagonalizable | Eigenvalues, Eigenvectors

대각화 가능의 여러 필요충분조건들.

T-invariant subspace | T-cyclic subspace | Some definition and examples | Theorem

Cayley-Hamilton theorem | relation: Characteristic polynomial of T-invariant subspace | relation: Matrix representation of T-invariant subspace

Matrix limits | 행렬 거듭제곱의 수렴 조건 | Stochastic process | Markov process

Gershgorin Circle Theorem | Some identity in regular transition matrix | probability vector (fixed vector, stationary vector) | Hardy-Weinberg law

inner product | inner product space | norm | orthogonal | orthonormal | pythagorean theorem | parellelogram law

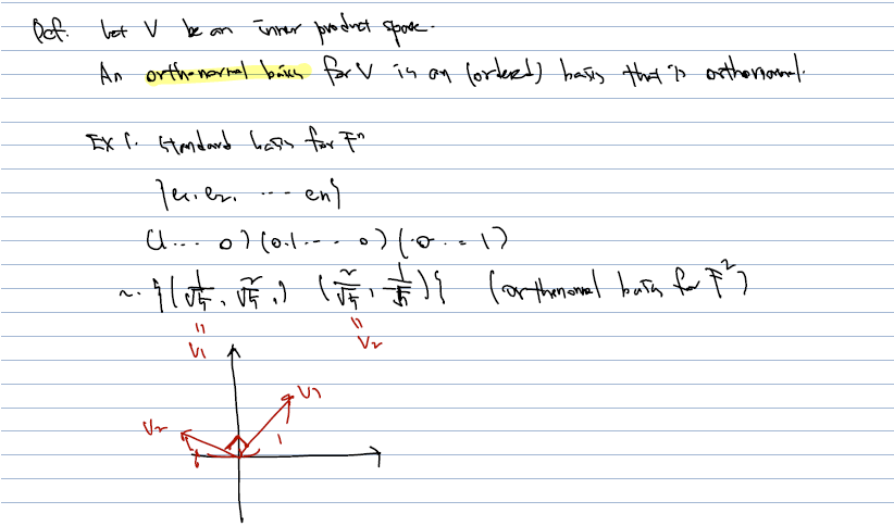
orthonormal basis | Gram-Schmidt process | Orthogonal complement | normed space (parallelogram law) metric space (homogeneous, translation invariant)

the adjoint operator | least squares approximation

normal, self-adjoint operator | unitary, orthogonal operator | rotation, reflection matrix

문제 풀이 | unitarily (orthogonally) equivalent | unitarily (orthogonally) diagonalizable | unitary, orthogonal matrix | normal, symmetric association

orthogonal operators on R2 are rotation and reflections | Rigid Motion 재해석 | 3차원상에서 회전의 행렬 표현 | Conic Section