
어떠한 문제를 해결하기 위해 정해진 일련의 절차나 방법: 문제를 해결하는 방법한 문제를 해결하는 방법은 한 가지만 있는게 아니라 무수히 많을 수 있다.자주 쓰이는 문제 해결 방법은 패턴화: BFS, DFS, DP, 다익스트라 등등각 상황에 적합한 알고리즘을 선택할 수

리스트(List)는 순서를 가지고 원소를 저장하는 자료구조이다. sequence라고도 불린다.구현방법으로는 ArrayList로 구현할 수 있고, LinkedList로 구현할 수 있다.배열을 기반으로 구성된 List 자료구조이다. Static Array로 구현할 수 있고

먼저 저장한 데이터가 먼저 출력되는 선입선출 FIFO(First In First Out)형식으로 데이터를 저장하는 자료구조이다.enqueue: Queue의 rear(뒤)에 데이터를 추가하는 것dequeue: Queue의 front(앞)에서 데이터를 꺼내는 것시간 순서상

효율적인 탐색(빠른 탐색)을 위한 자료구조로, key-value쌍의 데이터를 입력받는다.hash function h에 key값을 입력으로 넣어 얻은 해시값 h를 위치로 지정하여 key-value 데이터 쌍을 저장한다.저장, 삭제, 검색의 시간복잡도는 모두 O(1)입니다
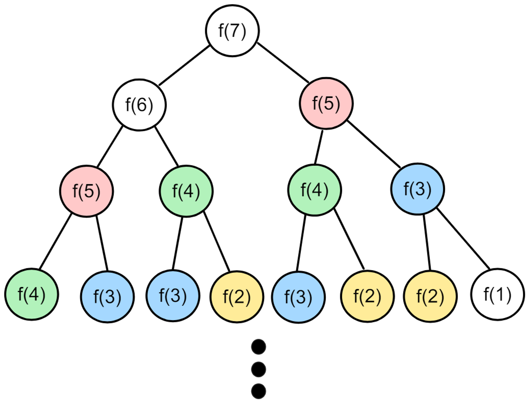
참고사항💡 재귀는 추후 그래프 탐색, 트리, dp 등 주요 자료구조와 알고리즘에 접목되기에 중요하다!자신을 정의할 때, 자기 자신을 재참조하는 것대표적은 재귀로는 팩토리얼과 피보나치가 있다. 자기 자신을 재참조하는 것이 어떤 의미인지 아래 코드를 통해 확인해보자.함수

서로 연결된 Node의 계층형 자료구조로써, root와 부모-자식 관계의 subtree로 구성되어 있다.root에서 시작하여 여러 개의 tree가 중첩되는 형태로 만들어진다. 하나의 tree안에 여러 개의 subtree가 존재한다.정점(Vertex): A, B, C와

그래프(G)는 정점(vertex)들의 집합 V와 이들을 연결하는 간선(edge)들의 집합 E로 구성된 자료 구조이다.정점들의 집합 V = {A,B,C,D,E,F}, 서로 연결해주는 간선들의 집합 E = {(A,B),(B,C),(B,E),(C,D),(E,D),(E,F)

문제에 대한 정답이 될 가능성이 있는 모든 해결책을 체계적이고 효율적으로 탐색하는 풀이법이다모든 해결책을 다 탐색해보는 완전 탐색은 기본적으로 높은 시간 복잡도를 가진다. 이를 체계적이고 효율적으로 탐색하기 위해서는 몇 가지 조건이 있어야 한다.Overlapping S

아래와 같은 queue가 있을 때, shift()를 하면 5 ➔ 3 ➔ 9 ㆍㆍㆍ ➔ 6 순으로 요소들이 나올 것 이다. 이 때 들어온 순서에 상관없이, 일정한 기준에 따라 요소들이 나오도록 할 수 있는데, 이것을 priority queue라고 한다.O(n)의 시간 복

가중치 그래프에서 시작점과 도착점이 주어졌을 때, 최소 비용을 return하는 알고리즘이다.위 사진과 같은 가중치 그래프가 주어지고 시작점은 A, 도착점은 H라고 가정한다.1\. 각각의 점에 라벨을 매겨준다. 시작점의 라벨은 0으로 초기화하고 나머지 점들은 ∞로 초기화