
| 특징 | Likelihood Function | |
|---|---|---|
| 입력 | 데이터, 고정된 파라미터 | 고정된 데이터, 변화하는 파라미터 |
| 출력 | 특정 데이터 포인트의 확률 밀도 | 특정 파라미터 값이 데이터에 대해 가질 가능도 |
| 목적 | 데이터의 확률 분포 설명 | 데이터를 가장 잘 설명하는 파라미터 추정 |
| 적분값 | 정의역에서 적분값이 항상 1 | 적분값이 1일 필요 없음 |
| 활용 | 데이터의 확률 계산 | 파라미터 추정, 모델 학습 |
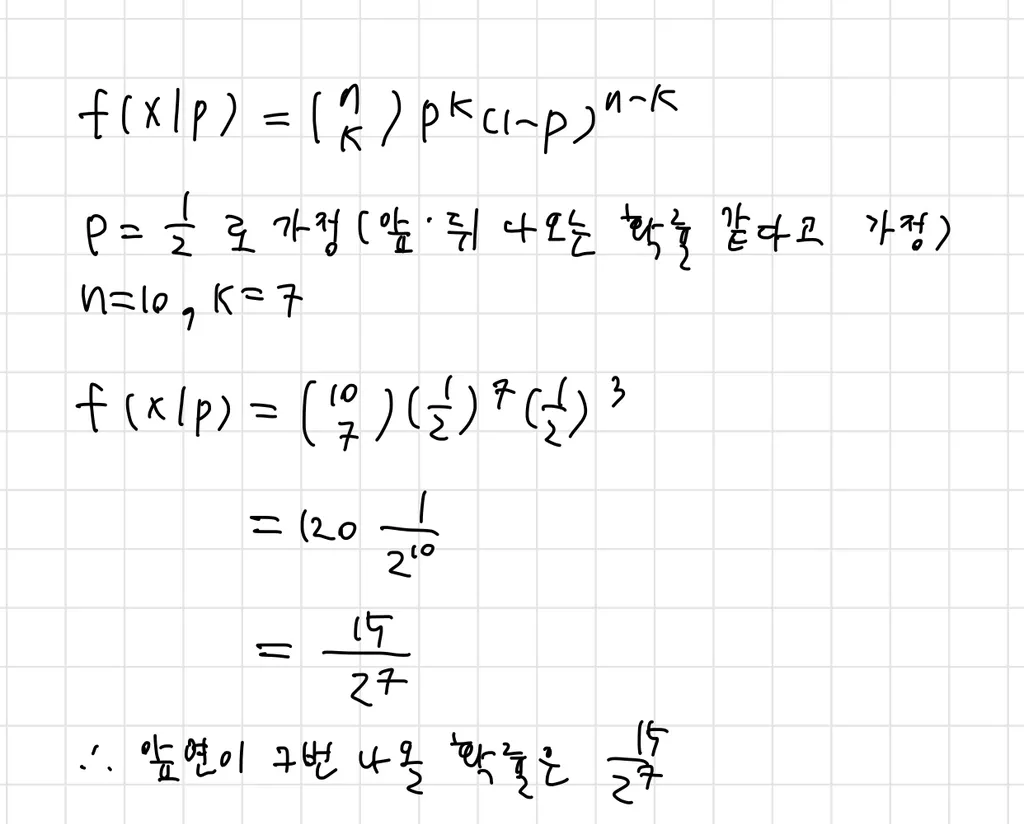
목적: p(동전 앞면이 나올 확률)이 주어질 때, 앞면이 7번 나올 확률 구하기

목적: p(동전 앞면이 나올 확률)을 변화시켜서 데이터를 가장 잘 설명하는 P를 찾기. 즉, 앞면이 7번 나온 실험 결과를 가장 잘 설명할 수 있는 p 찾기.
이항분포의 MLE 유도하는 과정과 같다.

L(θ∣X)를 최대화하기위의 예시 문제에 대한 시각적인 설명 추가


큰 샘플일수록 정확도가 높다.
Local Optimum에 빠질 가능성이 있다.

