
7월 초, 방학을 맞아 과 동기분이랑 알고리즘 스터디를 시작했다.1학기 자료구조 과목으로 매주 머리 깨지면서 '방학 때는 좀 공부좀 해야겠다'를 뼈저리게 느꼈기 때문에.... 열심히 해보고자 한다.탐색 : 많은 양의 데이터 중에서 원하는 데이터를 찾는 과정.그래프, 트
현재 상황에서 지금 당장 좋은 것만 고르는 방법.매 순간 가장 좋아 보이는 것을 선택하며, 현재의 선택이 나중에 미칠 영향에 대해서는 고려하지 않는다.문제에서 "가장 큰 순서대로" 또는 "가장 작은 순서대로"와 같은 기준을 제시해준다.문제N원을 거슬러 줘야할 때, 가장
풀이를 떠올리는 것은 쉽지만 소스코드로 옮기기 어려운 문제이 책에서는 완전탐색, 시뮬레이션 유형을 모두 구현으로 묶어서 다루고 있다.모든 경우의 수를 주저 없이 다 계산하는 해결 방법문제에서 제시한 알고리즘을 한 단계씩 차례대로 직접 수행파이썬은 다른 언어에 비해서 구

리스트 안에 있는 특정한 데이터를 찾기 위해 앞에서부터 데이터를 하나씩 차례대로 확인하는 방법(범위를 반씩 좁혀가는 탐색)변수 3개가 필요하다.(시작점, 끝점, 중간점)찾으려는 데이터와 중간점 위치에 있는 데이터를 반복적으로 비교해서 원하는 데이터를 찾는다.다음은 재귀

데이터를 특정한 기준에 따라서 순서대로 나열하는 것데이터가 무작위로 여러 개 있을 때, 이 중에서 가장 작은 데이터를 선택해 맨 앞에 있는 데이터와 바꾸고, 그 다음 작은 데이터를 선택해 앞에서 두번째 데이터와 바꾸는 과정을 반복하는 것=>가장 작은 것을 선택한다시간

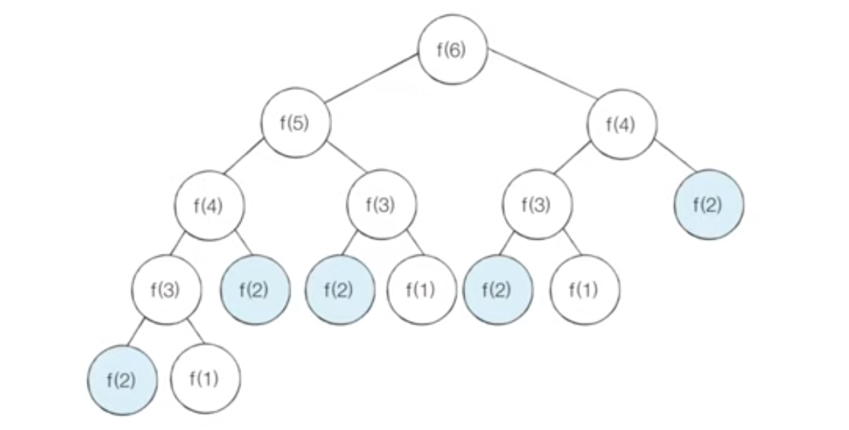
중복되는 연산을 줄여 연산량을 효과적으로 줄이는 방법큰 문제를 작은 문제로 나눌 수 있다.작은 문제에서 구한 정답은 그것을 포함한 큰 문제에서도 동일하다.주로 점화식을 이용하여 해결하는 방식이다. 피보나치 수열로 예시를 들어보자.피보나치 수열은 n번째 피보나치 수 =

가장 짧은 경로를 찾는 알고리즘. '한 지점에서 다른 특정 지점까지의 최단 경로를 구해야 하는 경우', '모든 지점에서 다른 모든 지점까지의 최단 경로를 모두 구해야 하는 경우' 등이 존재한다.사례에 맞는 알고리즘을 알고 있다면 문제를 좀 더 쉽게 풀 수 있다.최단 경

공통 원소가 없는 두 집합2개의 원소가 포함된 집합을 하나의 집합으로 합치는 연산 (합집합)특정한 원소가 속한 집합이 어떤 집합인지 알려주는 연산(집합의 부모를 찾아줌)하지만 다음과 같을 경우, 순차적으로 원소가 연결된 경우 O(V)의 시간복잡도를 찍을 수 있다.따라서
어떤 자연수 p와 q가 있을 때, 만일 p를 q로 나누었을 때 나머지가 0이면 q는 p의 약수이다. 6을 예로 들면6 ÷ 1 = 6 … 06 ÷ 2 = 3 … 06 ÷ 3 = 2 … 06 ÷ 4 = 1 … 26 ÷ 5 = 1 … 16 ÷ 6 = 1 … 0그래서 6의 약

양의 정수 n이 주어졌을 때, 이를 이진수로 나타냈을 때 1의 위치를 모두 찾는 프로그램을 작성하시오. 최하위 비트(least significant bit, lsb)의 위치는 0이다.첫째 줄에 테스트 케이스의 개수 T가 주어진다. 각 테스트 케이스는 한 줄로 이루어져
N개의 정수가 주어진다. 이때, 최솟값과 최댓값을 구하는 프로그램을 작성하시오.첫째 줄에 정수의 개수 N (1 ≤ N ≤ 1,000,000)이 주어진다. 둘째 줄에는 N개의 정수를 공백으로 구분해서 주어진다. 모든 정수는 -1,000,000보다 크거나 같고, 1,000
왕비를 피해 일곱 난쟁이들과 함께 평화롭게 생활하고 있던 백설공주에게 위기가 찾아왔다. 일과를 마치고 돌아온 난쟁이가 일곱 명이 아닌 아홉 명이었던 것이다.아홉 명의 난쟁이는 모두 자신이 "백설 공주와 일곱 난쟁이"의 주인공이라고 주장했다. 뛰어난 수학적 직관력을 가지
피보나치 수는 0과 1로 시작한다. 0번째 피보나치 수는 0이고, 1번째 피보나치 수는 1이다. 그 다음 2번째 부터는 바로 앞 두 피보나치 수의 합이 된다.이를 식으로 써보면 Fn = Fn-1 + Fn-2 (n ≥ 2)가 된다.n=17일때 까지 피보나치 수를 써보면
최근에 개발된 지능형 기차가 1번역(출발역)부터 10번역(종착역)까지 10개의 정차역이 있는 노선에서 운행되고 있다. 이 기차에는 타거나 내리는 사람 수를 자동으로 인식할 수 있는 장치가 있다. 이 장치를 이용하여 출발역에서 종착역까지 가는 도중 기차 안에 사람이 가장
두 개의 자연수를 입력받아 최대 공약수와 최소 공배수를 출력하는 프로그램을 작성하시오.첫째 줄에는 두 개의 자연수가 주어진다. 이 둘은 10,000이하의 자연수이며 사이에 한 칸의 공백이 주어진다.첫째 줄에는 입력으로 주어진 두 수의 최대공약수를, 둘째 줄에는 입력으로
배열 A가 주어졌을 때, N번째 큰 값을 출력하는 프로그램을 작성하시오.배열 A의 크기는 항상 10이고, 자연수만 가지고 있다. N은 항상 3이다.첫째 줄에 테스트 케이스의 개수 T(1 ≤ T ≤ 1,000)가 주어진다. 각 테스트 케이스는 한 줄로 이루어져 있고, 배
주어진 수 N개 중에서 소수가 몇 개인지 찾아서 출력하는 프로그램을 작성하시오.첫 줄에 수의 개수 N이 주어진다. N은 100이하이다. 다음으로 N개의 수가 주어지는데 수는 1,000 이하의 자연수이다.주어진 수들 중 소수의 개수를 출력한다.소수의 여부를 알려주는 ch
모든 경우의 수를 전부 고려하는 알고리즘. 해를 찾는 도중 해가 아니어서 막히면, 되돌아가서 다시 확인하는 것을 반복하며 원하는 조건을 찾는 알고리즘DFS는 뒤로 돌아가는 과정 없이 모든 노드를 탐색한다.즉, 백트래킹은 DFS를 하다가 돌아가는 조건을 추가해줘야한다(가

<그림 1>과 같이 정사각형 모양의 지도가 있다. 1은 집이 있는 곳을, 0은 집이 없는 곳을 나타낸다. 철수는 이 지도를 가지고 연결된 집의 모임인 단지를 정의하고, 단지에 번호를 붙이려 한다. 여기서 연결되었다는 것은 어떤 집이 좌우, 혹은 아래위로 다른 집이
N개의 수로 이루어진 수열 A1, A2, ..., AN이 주어진다. 또, 수와 수 사이에 끼워넣을 수 있는 N-1개의 연산자가 주어진다. 연산자는 덧셈(+), 뺄셈(-), 곱셈(×), 나눗셈(÷)으로만 이루어져 있다.우리는 수와 수 사이에 연산자를 하나씩 넣어서, 수식

신종 바이러스인 웜 바이러스는 네트워크를 통해 전파된다. 한 컴퓨터가 웜 바이러스에 걸리면 그 컴퓨터와 네트워크 상에서 연결되어 있는 모든 컴퓨터는 웜 바이러스에 걸리게 된다.예를 들어 7대의 컴퓨터가 <그림 1>과 같이 네트워크 상에서 연결되어 있다고 하자. 1
준규가 가지고 있는 동전은 총 N종류이고, 각각의 동전을 매우 많이 가지고 있다.동전을 적절히 사용해서 그 가치의 합을 K로 만들려고 한다. 이때 필요한 동전 개수의 최솟값을 구하는 프로그램을 작성하시오.첫째 줄에 N과 K가 주어진다. (1 ≤ N ≤ 10, 1 ≤ K
한 개의 회의실이 있는데 이를 사용하고자 하는 N개의 회의에 대하여 회의실 사용표를 만들려고 한다. 각 회의 I에 대해 시작시간과 끝나는 시간이 주어져 있고, 각 회의가 겹치지 않게 하면서 회의실을 사용할 수 있는 회의의 최대 개수를 찾아보자. 단, 회의는 한번 시작하
인하은행에는 ATM이 1대밖에 없다. 지금 이 ATM앞에 N명의 사람들이 줄을 서있다. 사람은 1번부터 N번까지 번호가 매겨져 있으며, i번 사람이 돈을 인출하는데 걸리는 시간은 Pi분이다.사람들이 줄을 서는 순서에 따라서, 돈을 인출하는데 필요한 시간의 합이 달라지게
세준이는 양수와 +, -, 그리고 괄호를 가지고 식을 만들었다. 그리고 나서 세준이는 괄호를 모두 지웠다.그리고 나서 세준이는 괄호를 적절히 쳐서 이 식의 값을 최소로 만들려고 한다.괄호를 적절히 쳐서 이 식의 값을 최소로 만드는 프로그램을 작성하시오.첫째 줄에 식이
어떤 나라에 N개의 도시가 있다. 이 도시들은 일직선 도로 위에 있다. 편의상 일직선을 수평 방향으로 두자. 제일 왼쪽의 도시에서 제일 오른쪽의 도시로 자동차를 이용하여 이동하려고 한다. 인접한 두 도시 사이의 도로들은 서로 길이가 다를 수 있다. 도로 길이의 단위는
여러분도 알다시피 여러분의 프린터 기기는 여러분이 인쇄하고자 하는 문서를 인쇄 명령을 받은 ‘순서대로’, 즉 먼저 요청된 것을 먼저 인쇄한다. 여러 개의 문서가 쌓인다면 Queue 자료구조에 쌓여서 FIFO - First In First Out - 에 따라 인쇄가 되게
N명의 사람들은 매일 아침 한 줄로 선다. 이 사람들은 자리를 마음대로 서지 못하고 오민식의 지시대로 선다.어느 날 사람들은 오민식이 사람들이 줄 서는 위치를 기록해 놓는다는 것을 알았다. 그리고 아침에 자기가 기록해 놓은 것과 사람들이 줄을 선 위치가 맞는지 확인한다
그래프를 DFS로 탐색한 결과와 BFS로 탐색한 결과를 출력하는 프로그램을 작성하시오. 단, 방문할 수 있는 정점이 여러 개인 경우에는 정점 번호가 작은 것을 먼저 방문하고, 더 이상 방문할 수 있는 점이 없는 경우 종료한다. 정점 번호는 1번부터 N번까지이다.첫째 줄

N×M크기의 배열로 표현되는 미로가 있다.미로에서 1은 이동할 수 있는 칸을 나타내고, 0은 이동할 수 없는 칸을 나타낸다. 이러한 미로가 주어졌을 때, (1, 1)에서 출발하여 (N, M)의 위치로 이동할 때 지나야 하는 최소의 칸 수를 구하는 프로그램을 작성하시오.
본 글은 바킹독님의 '실전 알고리즘' 강의로부터 필기한 내용입니다. STL을 함수 인자로 넘길 때 STL은 C++에서 제공되는 라이브러리(Standard Template Library)로, 여기선 배열과 비슷한 기능을 수행하는 vector STL만 소개하겠다. 다음
별건 아니고 그냥 공부하다가 소소한 지식들 보관용전역변수에서 배열을 선언하면 알아서 0으로 초기화된다.freq함수를 이용하면 빈도수를 측정 가능하다.