
Paper Info Anderson, Michael, et al. "First-generation inference accelerator deployment at facebook." arXiv preprint arXiv:2107.04140 (2021). Abstra

Lyu, Z., Yu, T., Pan, F. et al. A survey of model compression strategies for object detection. Multimed Tools Appl 83, 48165–48236 (2024). https:

Park, Yeonhong, et al. "Any-Precision LLM: Low-Cost Deployment of Multiple, Different-Sized LLMs." arXiv preprint arXiv:2402.10517 (2024).최근, Large La

ICML 2017Binary Neural Networks, BNNs은 일반적으로 Adam optimization을 사용하여 얻어진다.하지만, Adam이 BNN optimization에서 SGD와 같은 다른 optimizers보다 우수한 근본적인 이유를 탐구하거나 특정

Paper Info. https://arxiv.org/pdf/1902.08153 Absract Deep networks는 inference 시 low precision operations을 사용하면 high precision에 비해 power and space a

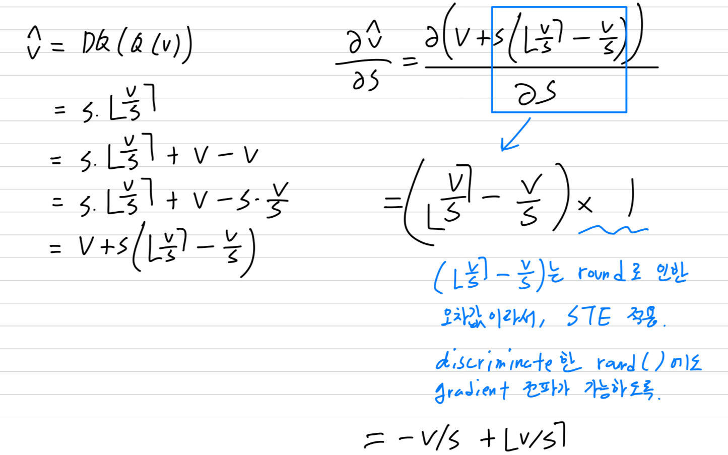
https://openaccess.thecvf.com/content/ICCV2025/papers/Lee_Scheduling_Weight_Transitions_for_Quantization-Aware_Training_ICCV_2025_paper.pdf(backg