Algorithm

recursion

배열, 문자열, 스택, 큐, 우선순위 큐, 힙, 연결 리스트, 해시 테이블, 그래프, 트리

Priority Queue

Hash Table

Graph

Tree

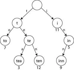
Trie
B-Tree

버블, 선택, 삽입, 퀵, 병합, 힙 / 정렬의 특징
정렬 예제

완전 탐색, 이분 탐색

DFS

BFS
Dijkstra Algorithm
Floyd-Warshall Algorithm
벨만-포드 알고리즘
MST

Topological Sorting
DP

Greedy Algorithm

Divide and Conquer