
SQL만을 사용하지 않는 여러 유형의 DB를 통칭한다.기존 RDBMS의 문제점스키마 규칙이 너무 강함 → 유연하지 못함트랜잭션 원자성 보장은 되지만, 동시 처리량이 낮음디스크 기반의 수직 확장에 의존비관계형 DB는 기본적으로 트리 구조 데이터 구성을 가진다.단순한 ke

HTTP는 stateless이기 때문에, 보호된 리소스에 접근할 때마다 인증 과정이 필요하다. 이 인증 정보는 Header에 담긴다.자격증명 헤더는 방향에 따라 두 가지로 나뉜다.인증 흐름:ID, PW를 Base64 인코딩해서 헤더에 담아 전송하는 가장 단순한 인증 방

데이터를 기록하고 관리하기 위한 필요에서 출발했다. 기존 파일 시스템 방식의 문제점은 다음과 같다.데이터 중복 (학생 이름이 여러 파일에 분산)검색 어려움 (파일이 커지면 Full Scan 필요)보안·권한 부족동시 수정 불가OS 간 호환성 문제DB는 이 문제들을 중앙

Spring MVC에서 DispatcherServlet이 요청을 받아 Controller, Service, Repository 계층으로 흐름을 연결하는 구조 1. MVC MVC(Model-View-Controller)란 웹 애플리케이션 설계에 널리 사용되는 아키텍처
서버가 클라이언트의 이전 요청 정보를 기억하느냐의 차이다.Stateful — 상대를 기억한다서버가 클라이언트의 상태를 저장하고 유지한다. 이전 요청의 맥락을 알기 때문에 연속적인 흐름이 가능하다.장점: 맞춤형 서비스 제공 가능, 복잡한 흐름 제어 가능단점: 서버가 상태

객체 지향적 '설계'를 의미한다.현실 세계의 객체 개념을 기반으로, 데이터를 속성(필드) 와 기능(메서드) 로 묶어 프로그램을 설계하는 패러다임이다.'누가 이 일을 책임질래?' 라는 기준으로 나눈 프로그래밍 기법'해야 한다'보다는 '하면 좋다'의 관점OOP를 지향하면

Servlet은 클라이언트의 요청(Request)을 처리하고 응답(Response)으로 전송하기 위해 Java를 사용해 웹 페이지를 동적으로 생성하는 서버 측 프로그램 혹은 그 API 규격이다. Servlet 덕분에 개발자는 비즈니스 로직에 집중할 수 있게 됐다.문제서

Web 1.0은 1990년대 초반, 정적인 정보 게시판이 전부였다. '정보 제공'에만 초점이 맞춰져 있어서 읽기 전용이었고, 사용자가 직접 내용을 추가하거나 수정하는 건 불가능했다. 단방향 소통이다.Web 2.0은 2000년대 초반부터 현재까지다. 사용자가 직접 콘텐츠

StatefulWidget의 상태가 변경되었음을 프레임워크에 알려 UI를 다시 그리도록(rebuild) 만드는 기본적인 메서드간단하고 직관적이지만, 앱이 커질 경우 다음과 같은 문제가 생길 수 있다.Flutter의 화면은 위젯을 나무처럼 쌓아서 만드는데, 이걸 위젯

상속은 '~IS A' 관계일 때, 개념이 나뉘어 분류가 필요할 때 쓴다.Coffee → Americano, Latte 식으로 구성하면 커피 종류가 너무 많아지는 Class Explosion이 발생할 수 있다. 이럴 땐 속성으로 해결하는 게 낫다.기준 정리:무기 → 검

Git은 컴퓨터의 변경사항을 추적하고 버전을 관리하기 위한 도구로, 여러 사용자 간의 파일 작업을 조율하는 분산 버전 관리 시스템이다. GitHub는 이 Git 저장소를 지원하는 오픈소스 웹 서비스이다.중앙 집중식 버전 관리 시스템 : 여러 사용자가 하나의 서버에서 파

어떤 문제가 있고, 그것을 해결하는 방안으로 기술이 등장해왔다.컴퓨터란 원래 직업을 지칭하는 단어였지만, 기계식 및 전자식 계산기의 등장으로 기계를 칭하는 언어로 바뀌었다.1980년대의 컴퓨터언어는 C와 C++이 개발언어의 표준이었다. C언어는 절차지향 언어이므로, 프

이번 장에서는 개발을 하면서 작성된 소스 코드들이 어떻게 컴퓨터를 동작시키는 명령어로 변환되는지에 대해 다룬다. 1. 핵심 개념 3개 작성된 소스 코드들은 인간이 이해하는 고급 수준의 언어이고, 컴퓨터는 내부적으로 이 언어들을 저급 언어(기계어, 어셈블리어)로 변

CH N. 장 제목 1. 핵심 개념 3개 2. 내 말로 설명하기 이 장에서 배운 내용을 내가 이해한 방식으로 설명해 주세요. 3. 헷갈려서 AI에게 확인한 부분 처음 헷갈렸던 내용: AI에게 물어본 질문: AI 답변을 보고 이해한 내용: 아직 남은 질문:

운이 좋게도 휴학 후 카카오테크 부트캠프 클라우드 네이티브 교육 과정에 합격하게 되어 6개월간 해당 교육과정을 수강할 수 있는 좋은 기회를 얻게 되었다. 5월 12일부터 본격적인 교육과정이 시작하기 전에 기본적인 CS지식에 관한 프리코스를 수강하면서 TIL을 꾸준히

한달여 전, 정보처리기사 필기시험 합격을 했다. 무난히 기출만 잘 풀어봐도 통과할 정도의 난이도였고, 평균 75점 정도 나왔던 기억이 있다.이제 실기를 공부해보려고 한다. 최근에 실기 시험에서 프로그래밍 문제의 비중이 조금 높아지고, 난이도도 어려워진다는 얘기를 듣고,

4과목에서는 프로그래밍 '언어'와 여러 SW 기술에 대해 다룬다. 정보처리기사에서 주로 다루는 C, Java, Python은 실기에서도 중요한 언어이므로 개념을 잘 공부해두는 것이 중요하다.목차는 위와 같고, 거의 2장과 3장에서만 시험에 나온다.C에는 boolean

3과목은 데이터베이스 구축 관련한 내용이다. 안그래도 최근 프로젝트하면서 db 세팅하는데 2학년때 배웠던 전공과목이라 개념이 잘 생각이 안났었다.. 위 이미지 기준으로 1, 2, 3장에서 많이 출제되니, 이 부분에 집중하자. 4장은 조금 난이도가 있고, 5과목은 아

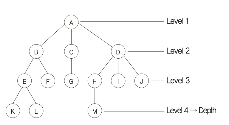
2과목인 SW 개발은 말 그대로 서비스를 '개발'하는데 필요한 지식에 초점이 맞춰져 있다. 1장에 여러 자료 구조 및 알고리즘(트리, 정렬 등등.. 하기 싫다;)과 개발 후 패키징과 테스트 관리, 유지 보수까지의 내용이 주를 이룬다. 작성자의 경우 자료 구조와 알

계속해서 1과목 내용을 정리해보자. 원래 한 게시물에 다 담으려 했는데 생각보다 중요한 내용이 많아서 둘로 나누게 됐다..OOP, 객체 지향 프로그래밍이란 여러 독립적인 부품들의 조합, 즉 객체들의 유기적인 협력과 결합으로 파악하고자 하는 컴퓨터 프로그래밍의 패러다임을