
문제 링크 메모리: 73.3 MB, 시간: 0.05 ms코딩테스트 연습 > 탐욕법(Greedy)정확성: 100.0합계: 100.0 / 100.02024년 05월 29일 17:18:39출처: 프로그래머스 코딩 테스트 연습, https://school.progra
문제 링크 성능 요약 메모리: 102172 KB, 시간: 740 ms 분류 누적 합, 두 포인터 제출 일자 2024년 7월 3일 15:20:10 문제 설명 10,000 이하의 자연수로 이루어진 길이 N짜리 수열이 주어진다. 이 수열에서 연속된 수들의 부분합 중에

문제 링크 메모리: 24888 KB, 시간: 212 ms너비 우선 탐색, 자료 구조, 분리 집합, 플러드 필, 기하학, 3차원 기하학, 그래프 이론, 그래프 탐색, 구현2024년 7월 24일 02:11:22BOJ_32031\_석고모형만들기BOJ_32031\_석고모형만들

문제 링크 메모리: 53.5 MB, 시간: 8.09 ms코딩테스트 연습 > 탐욕법(Greedy)정확성: 50.0효율성: 50.0합계: 100.0 / 100.02024년 07월 24일 02:53:42출처: 프로그래머스 코딩 테스트 연습, https://schoo
문제 링크 메모리: 42300 KB, 시간: 456 ms데이크스트라, 그래프 이론, 최단 경로2024년 7월 24일 03:35:55다익스트라 사용

문제 링크 메모리: 76688 KB, 시간: 740 ms누적 합2024년 7월 24일 04:34:46

문제 링크 메모리: 53688 KB, 시간: 648 ms세그먼트 트리, 희소 배열, 자료 구조2024년 7월 31일 03:09:03 M개의 줄에 입력받은 순서대로 각 a, b에 대한 답을 출력한다.세그먼트트리에 대한 공부 후 문제를 바로 풀어보았다. 기본적으로 알아야

문제 링크 메모리: 58600 KB, 시간: 696 ms세그먼트 트리, 자료 구조2024년 7월 31일 03:07:55M개의 줄에 입력받은 순서대로 각 a, b에 대한 답을 최솟값, 최댓값 순서로 출력한다. 이전 풀었던 세그먼트 트리와 같다. 이전 학습하며 정리한 필기
문제 링크 메모리: 102764 KB, 시간: 612 ms세그먼트 트리, 자료 구조2024년 7월 31일 04:23:35세그먼트트리에서 update부분만 고려해보았다.범위 밖이라면 종료리프 노드시 변경해당 노드를 값을 변경하고 그 위 부모도 전부 합 새로 계산
문제 링크 메모리: 119644 KB, 시간: 784 ms세그먼트 트리, 느리게 갱신되는 세그먼트 트리, 자료 구조2024년 7월 31일 05:05:27Lazy propagation 학습 및 적용해보았다Lazy propagation 처음 이해하는데 좀 오래 걸리니 간단

Hashing 에 대한 학습 내용을 정리하고자 한다. 학습은 코드트리의 과정으로 진행되었다.배열에서 값을 찾을 때 인덱스와 같이 값이 있는 위치를 명시하여 그 값을 찾는다. 실제 데이터 관리/접근/조회 및 웹 사이트에서 다루는 경우 이는 최적의 방법은 아니다.예시로 홈

문제 링크 메모리: 226464 KB, 시간: 936 ms해싱2024년 8월 4일 21:34:43문제 풀이문제 풀이
메모리: 106,556 KB, 시간: 546 ms, 코드길이: 3,892 Bytes2024-08-10 10:49출처: SW Expert Academy, https://swexpertacademy.com/main/code/problem/problemList.do

문제 링크 메모리: 25872 KB, 시간: 416 ms자료 구조, 우선순위 큐2024년 8월 12일 03:31:39업로드중..

문제 링크 메모리: 20188 KB, 시간: 168 ms비트마스킹, 다이나믹 프로그래밍, 비트필드를 이용한 다이나믹 프로그래밍, 외판원 순회 문제2024년 8월 19일 21:00:01문제해결

문제 링크 메모리: 14512 KB, 시간: 248 ms구현, 시뮬레이션2024년 8월 20일 15:17:05
문제 링크 메모리: 122684 KB, 시간: 472 ms자료 구조, 스택, 문자열2024년 8월 20일 21:17:21

문제 링크 메모리: 16320 KB, 시간: 144 ms이분 탐색, 다이나믹 프로그래밍, 그리디 알고리즘, 매개 변수 탐색2024년 8월 21일 13:59:16 DP를 이용한 풀이

문제 링크 메모리: 110508 KB, 시간: 620 ms다이나믹 프로그래밍2024년 8월 21일 17:08:35

문제 링크 메모리: 26956 KB, 시간: 240 ms다이나믹 프로그래밍2024년 8월 22일 12:40:24
문제 링크 메모리: 60024 KB, 시간: 432 ms자료 구조, 스택2024년 8월 23일 10:42:10
문제 링크 메모리: 47920 KB, 시간: 300 ms정렬2024년 8월 26일 04:16:51풀이 1 : 메모리 47920KB, 시간 300ms풀이 2 : 메모리 82748KB, 시간 1488ms

문제 링크 메모리: 76480 KB, 시간: 256 msKMP, 문자열2024년 8월 28일 01:16:38
문제 링크 메모리: 55652 KB, 시간: 532 msKMP, 문자열2024년 8월 28일 03:12:40KMP알고리즘을 이용해 풀었다. KMP로직을 이해하고 나니 간단한 코드고 선형시간만에 패턴매칭이 가능해졌다.
문제 링크 메모리: 24096 KB, 시간: 252 msKMP, 문자열2024년 8월 28일 03:32:15광고가 반복된다면, 우리가 본 부분의 앞부분과 뒷부분이 같다. 이 같은 부분을 최대한 길게 찾으면, 그게 반복되는 부분.예시 : abcabcabpi : 0, 0,
문제 링크 메모리: 97008 KB, 시간: 460 msKMP, 문자열2024년 8월 28일 04:10:34KMP알고리즘 문제다. KMP로 마지막까지 반복되는 접두사 길이 체크하고 그 길이만큼 전체 문자열이 딱 떨어진다면 같은 패턴으로 쭉 반복되기에 지수곱 사용가능하므
문제 링크 메모리: 50832 KB, 시간: 532 msKMP, 문자열2024년 8월 28일 16:23:56KMP알고리즘 문제.시계각도가 0~359999까지 있고 회전 가능하므로 회전 고려하여 길이 720000텍스트 clock1과 길이 360000의 패턴 clock2를

문제 링크 메모리: 242104 KB, 시간: 700 ms방향 비순환 그래프, 다이나믹 프로그래밍, 그래프 이론, 위상 정렬2024년 8월 30일 01:08:43

[Gold I] 계단 수 - 1562 문제 링크 성능 요약 메모리: 19936 KB, 시간: 144 ms 분류 비트마스킹, 다이나믹 프로그래밍, 비트필드를 이용한 다이나믹 프로그래밍 제출 일자 2024년 9월 2일 15:34:15 문제 설명 45656이

문제 링크 메모리: 14164 KB, 시간: 100 ms그리디 알고리즘2024년 9월 4일 02:20:56
문제 링크 메모리: 15268 KB, 시간: 112 ms다이나믹 프로그래밍, 배낭 문제2024년 9월 4일 03:03:05
문제 링크 메모리: 16872 KB, 시간: 336 ms백트래킹, 구현2024년 9월 4일 03:56:00비트마스킹으로 세로, 가로, 3x3 격자를 체크한다.재귀적으로 진행하며 조건 만족시 체크 및 재귀호출 후 다시 되돌리는 백트래킹 작업 필요.
문제 링크 메모리: 27052 KB, 시간: 204 ms수학, 정수론, 소수 판정, 에라토스테네스의 체, 두 포인터2024년 9월 4일 13:17:35
문제 링크 메모리: 49020 KB, 시간: 488 ms방향 비순환 그래프, 자료 구조, 그래프 이론, 우선순위 큐, 위상 정렬2024년 9월 5일 00:35:03선행 문제가 필요한 문제들을 진입차수 1 증가시키면서 dfs로 차례대로 풀면서 진입차수 0인 문제 우선순위
문제 링크 메모리: 51328 KB, 시간: 456 ms방향 비순환 그래프, 그래프 이론, 위상 정렬2024년 9월 8일 23:19:24
문제 링크 메모리: 23060 KB, 시간: 140 ms다이나믹 프로그래밍2024년 9월 8일 23:49:15
문제 링크 메모리: 53108 KB, 시간: 408 ms다이나믹 프로그래밍2024년 9월 9일 00:50:40왼발과 오른발을 따로 계산해야된다. dp배열을 3차원으로 횟수, 왼발위치, 오른발위치 를 인자로 사용하고 이때의 최솟값을 dp에 저장한다.board는 2차원배열
문제 링크 메모리: 18572 KB, 시간: 276 ms백트래킹2024년 9월 9일 01:33:43 검은 칸과 흰 칸을 나누어 계산 -> 절대 겹치지 않으므로 첫 검은칸 dfs, 첫 흰칸 dfs 이때, 각 칸에서 대각선으로 쭉 진행, 비숍 놓은칸은 2로.

문제 링크 메모리: 19708 KB, 시간: 184 ms기하학, 다각형의 넓이2024년 9월 9일 02:08:44
문제 링크 메모리: 73020 KB, 시간: 340 ms이분 탐색, 자료 구조, 해시를 사용한 집합과 맵, 누적 합2024년 9월 17일 00:35:10누적합으로 문제를 풀어보았다.누적합 배열 a, b, 에서 i까지의 값은 1~i까지의 합을 나타낸다.이후 HashMap
문제 링크 메모리: 14284 KB, 시간: 100 ms기하학, 선분 교차 판정2024년 9월 17일 10:58:52CCW알고리즘을 이용해 풀었다. CCW 알고리즘이란 두 벡터의 스칼라 곱을 계산하는방법을 응용한 것인데 두 벡터 u, v 의 스칼라 곱 u x v 는 |

문제 링크 메모리: 87836 KB, 시간: 764 ms깊이 우선 탐색, 그래프 이론, 그래프 탐색, 트리2024년 9월 18일 00:52:01 생각의 전환이 필요했다.

문제 링크 메모리: 14940 KB, 시간: 132 ms이분 탐색, 매개 변수 탐색2024년 9월 19일 01:56:49

Eclipse에서 백준 문제를 풀 때 매번 Main함수부터 입출력까지 입력하는 부분이 귀찮아서 자동화했습니다. 이 안에 자주 사용하는 main 도 볼 수 있을것입니다. 저의 경우 다음과 같이 매번 작성하기 때문에 다음과 같이 만들어두었습니다.${cursor}은 템플릿이
문제 링크 메모리: 26468 KB, 시간: 248 ms너비 우선 탐색, 그래프 이론, 그래프 탐색2024년 9월 21일 10:11:57Area 클래스:(r,c) 좌표를 나타내는 클래스로, HashMap에서 키로 사용하기 위해 hashCode와 equals 메서드를 오

문제 링크 메모리: 19176 KB, 시간: 368 ms자료 구조, 분리 집합, 기하학, 선분 교차 판정2024년 9월 22일 14:17:57풀이 방법은 쉽게 떠올렸지만 케이스 처리 부분에서 생각을 오래했던 문제. 일자로 두 선분이 나란히 있을때 어떻게 처리해야할 지
[Gold III] 줄 세우기 - 2252 문제 링크 성능 요약 메모리: 51328 KB, 시간: 456 ms 분류 방향 비순환 그래프, 그래프 이론, 위상 정렬 제출 일자 2024년 9월 8일 23:19:24 문제 설명 N명의 학생들을 키 순서대로 줄
문제 링크 메모리: 85120 KB, 시간: 508 ms자료 구조, 해시를 사용한 집합과 맵, 문자열, 트리, 트라이2024년 9월 22일 20:01:14기본적인 트라이 사용 문제다. 먼저 트라이라는 구조에 대해 공부 후 적용해보았다.트리 구조로 일치하는 항목에 접근하
문제 링크 메모리: 451072 KB, 시간: 2648 ms자료 구조, 우선순위 큐, 트리를 사용한 집합과 맵2024년 9월 25일 05:27:29O(N) 으로 최대 최소 우선순위큐에서 찾아 삭제하면 시간초과가 발생, 지울 값을 map별로 저장해 key를 통해 O(1)
문제 링크 메모리: 14288 KB, 시간: 100 ms다이나믹 프로그래밍2024년 9월 25일 06:10:48수열이 주어지면 여기서 어떤 정수가 가장 오름차순으로 증가하는 수열을 이루는지 찾고 나머지 숫자들은 뽑아서 알맞게 넣어준다고 생각하면된다.LIS 알고리즘 관련

문제 링크 메모리: 56948 KB, 시간: 968 ms자료 구조, 분할 정복, 세그먼트 트리, 스택2024년 9월 30일 02:59:54먼저 세그먼트 트리를 응용하는 것이 어려웠다. 기존 구간합, 구간 곱과 달리 넣는 값이 어려웠다.각 구간에 최소높이를 넣으려 했는데
문제 링크 메모리: 15564 KB, 시간: 132 ms다이나믹 프로그래밍2024년 10월 2일 07:44:13가장 긴 증가하는 부분수열을 풀 줄 알면 쉽게 풀 수 있다. 꺾이는 부분을 생각하면 되는데 이때부턴 감소하므로 그냥 응용해서 한 점에서 양쪽으로 반대로 구하고
문제 링크 메모리: 14304 KB, 시간: 104 ms다이나믹 프로그래밍, 게임 이론, 수학2024년 10월 2일 09:28:31애드혹 문제라고 생각됐다. DP로도 풀 순 있지만 문제 답의 규칙성이 보여 그냥 규칙성으로 풀었다.DP로 푼다면 N번째에 N-1상태와 N-
문제 링크 메모리: 28520 KB, 시간: 332 ms이분 탐색, 두 포인터2024년 10월 6일 08:58:06

문제 링크 메모리: 14264 KB, 시간: 100 ms많은 조건 분기, 기하학, 선분 교차 판정2024년 10월 14일 04:18:15
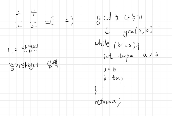
문제 링크 메모리: 14312 KB, 시간: 100 ms수학2024년 10월 22일 05:09:501의배수 - 2의배수 - 4의배수 이런식으로 좁혀 찾아나가고 이렇게 새로 찾으면 /2를 더해주면 된다. 4를 찾으면 2를 더했으므로 나머지 2 더해주기 이런식.
문제 링크 메모리: 65212 KB, 시간: 432 ms자료 구조, 깊이 우선 탐색, 분리 집합, 그래프 이론, 그래프 탐색2024년 10월 22일 05:38:59유니온 파인드로 풀었다.
문제 링크 메모리: 14788 KB, 시간: 112 ms그리디 알고리즘, 정렬2024년 10월 31일 01:59:38

문제 링크 메모리: 92.4 MB, 시간: 8.65 ms코딩테스트 연습 > 2024 KAKAO WINTER INTERNSHIP정확성: 100.0합계: 100.0 / 100.02024년 10월 31일 04:31:55출처: 프로그래머스 코딩 테스트 연습, https
문제 링크 메모리: 93616 KB, 시간: 576 ms너비 우선 탐색, 그래프 이론, 그래프 탐색2024년 11월 2일 22:56:49

문제 링크 메모리: 28228 KB, 시간: 268 ms그리디 알고리즘2024년 11월 3일 16:10:57

문제 링크 메모리: 15812 KB, 시간: 112 ms수학2024년 11월 5일 12:37:39규칙을 찾아내서 풀었다!
문제 링크 메모리: 17140 KB, 시간: 176 ms조합론, 수학2024년 11월 6일 06:06:48

문제 링크 메모리: 49200 KB, 시간: 432 ms누적 합2024년 11월 8일 18:05:43
문제 링크 메모리: 34716 KB, 시간: 320 ms이분 탐색, 매개 변수 탐색2024년 11월 10일 16:08:43
문제 링크 메모리: 280852 KB, 시간: 2268 ms정렬, 스위핑2024년 11월 12일 00:38:46선을 긋는 경우가 두가지 있다. 연결될때/연결되지 않을 때연결되면 오른쪽 max값만 갱신해가면되고 끊어지면 끊어지기 전 길이까지 저장하고 (더해주고) 다시 새

문제 링크 메모리: 52 MB, 시간: 0.96 ms코딩테스트 연습 > 동적계획법(Dynamic Programming)정확성: 55.6효율성: 44.4합계: 100.0 / 100.02024년 11월 12일 11:25:18
문제 링크 메모리: 14412 KB, 시간: 104 ms애드 혹, 게임 이론2024년 11월 13일 20:50:05점 대칭으로 패를 놓을 경우 후공이 항상 이길 수 있다. 보드의 크기가 짝수면 성립하지만 홀수일 경우 점대칭의 중심이 1+ n/2, 1 + n/2에 존재하
문제 링크 메모리: 19636 KB, 시간: 156 ms백트래킹, 브루트포스 알고리즘2024년 11월 14일 16:29:06예를 들어, 식재료 1, 3, 5를 선택하면 영양분은 100, 145, 130, 10으로 조건을 만족하지만 가격은 270이 된다. 대신 2, 3,

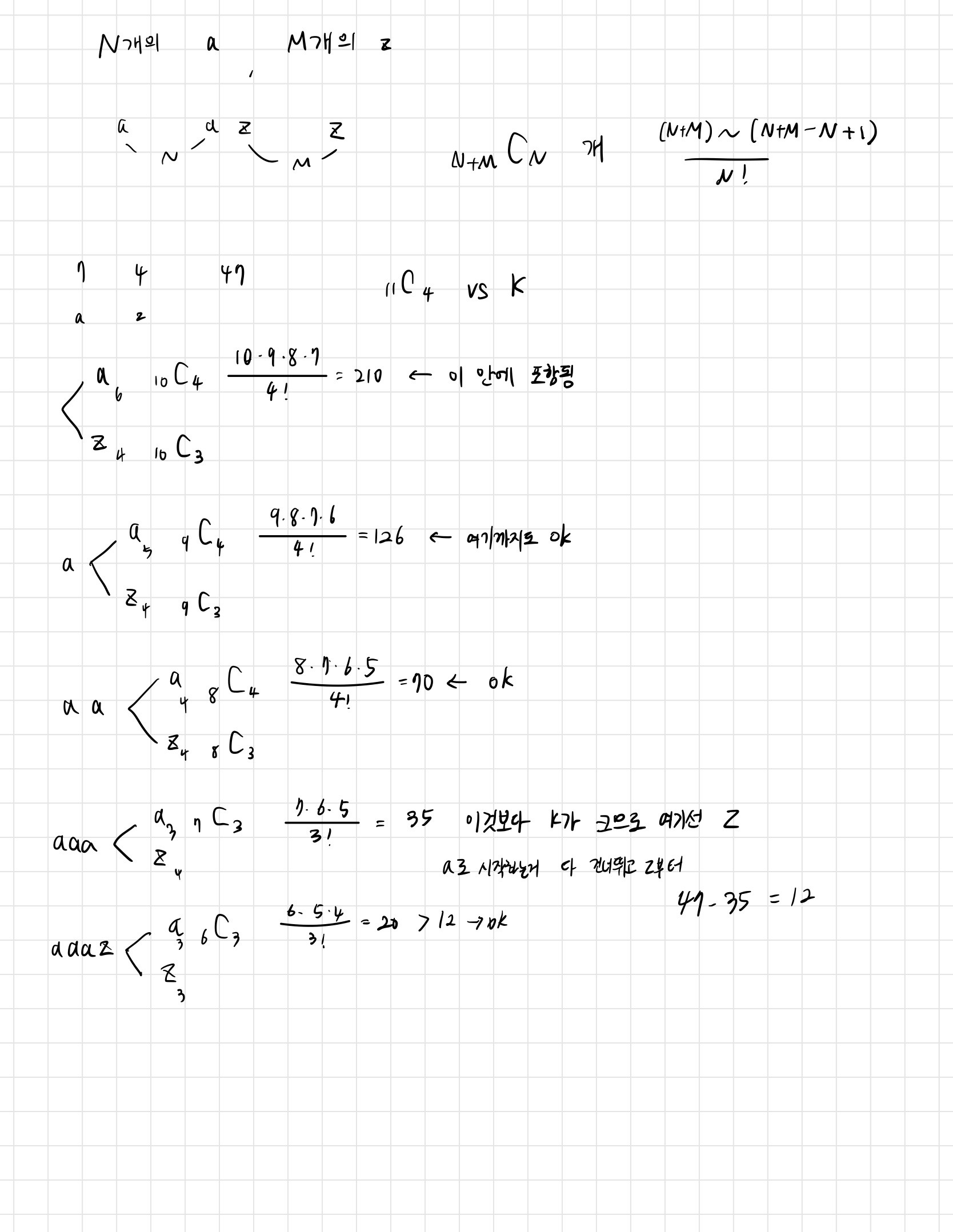
문제 링크 메모리: 21520 KB, 시간: 204 ms브루트포스 알고리즘, 구현, 수학2024년 11월 18일 03:51:48For each test case, output the number of triples $(A,B,C)$ that are consistent

문제 링크 메모리: 14236 KB, 시간: 108 ms게임 이론, 스프라그–그런디 정리2024년 11월 18일 14:39:39처음 접해보는 스프라그-그런디 정리를 사용했다. 재미있는 애드혹 문제풀이인 것 같다.

문제 링크 메모리: 14288 KB, 시간: 108 ms게임 이론, 스프라그–그런디 정리2024년 11월 18일 15:51:18

문제 링크 메모리: 298368 KB, 시간: 732 ms자료 구조, 구현, 시뮬레이션2024년 11월 19일 13:12:13

문제 링크 메모리: 12056 KB, 시간: 84 ms다이나믹 프로그래밍2024년 11월 20일 14:36:19

[Platinum III] Portals - 21815 문제 링크 성능 요약 메모리: 68080 KB, 시간: 756 ms 분류 그래프 이론, 최소 스패닝 트리 제출 일자 2024년 11월 20일 18:05:31 문제 설명
[Gold I] 달이 차오른다, 가자. - 1194 문제 링크 성능 요약 메모리: 16388 KB, 시간: 128 ms 분류 너비 우선 탐색, 비트마스킹, 그래프 이론, 그래프 탐색 제출 일자 2024년 11월 21일 11:05:29 문제 설명 지금 민
문제 링크 메모리: 29816 KB, 시간: 400 ms그리디 알고리즘, 수학, 정렬2024년 11월 21일 14:54:10간단한 그리디 및 정렬 문제다. 무거운 하중을 들 수 있는 로프부터 사용하며 그때그때 각 로프별 들 수 있는 최소 하중을 계산해 사용한 로프 개수

문제 링크 메모리: 29544 KB, 시간: 400 ms그리디 알고리즘, 정렬2024년 11월 21일 16:51:00

[Gold II] 재활용 캠페인 - 22988 문제 링크 성능 요약 메모리: 38760 KB, 시간: 492 ms 분류 그리디 알고리즘, 정렬, 두 포인터 제출 일자 2024년 11월 22일 23:49:58 문제 설명 고등학생 때였다. 친구의 손에 이끌
문제 링크 메모리: 14276 KB, 시간: 108 ms사칙연산, 브루트포스 알고리즘, 수학2024년 11월 25일 13:27:46단순한 완전탐색 수학문제.
문제 링크 메모리: 35308 KB, 시간: 352 ms자료 구조, 해시를 사용한 집합과 맵, 누적 합, 트리를 사용한 집합과 맵2024년 11월 25일 22:31:56
다음과 같은 알고리즘 대회/코딩 테스트 백준, 코드포스 등의 온라인 저지 대량의 데이터를 빠르게 처리해야 하는 상황 수학적 계산이 많이 필요한 문제
문제 링크 메모리: 3808 KB, 시간: 4 ms다이나믹 프로그래밍, 누적 합2024년 12월 1일 22:54:53

문제 링크 메모리: 4528 KB, 시간: 0 ms해 구성하기2024년 12월 2일 03:01:22문제Sokoban is a famous puzzle game, where the player moves around in the $N \\times M$-size grid

문제 링크 메모리: 31000 KB, 시간: 280 ms이분 탐색, 매개 변수 탐색2024년 12월 3일 02:52:41집 간격 res로 이분탐색. 두가지 언어로 푸는데 50분정도 걸린 것 같다.

문제 링크 메모리: 46920 KB, 시간: 896 ms기하학, 수학, 정렬2024년 12월 4일 17:28:10

문제 링크 메모리: 120284 KB, 시간: 3992 ms이분 탐색, 중간에서 만나기, 정렬2024년 12월 5일 02:28:07

문제 링크 메모리: 2024 KB, 시간: 4 ms브루트포스 알고리즘2024년 12월 5일 23:23:08생각보다 간단하게 풀렸다... 그냥 사실상 완전탐색.

Codeforces Round 991 (Div. 3) Codeforces Round 991 (Div. 3) A. Line Breaks 문제 Kostya는 라틴 알파벳으로 구성된 n개의 단어로 이루어진 텍스트를 가지고 있습니다. 그는 이 텍스트를 두 개의 띠에 써야
문제 링크 메모리: 8292 KB, 시간: 4 ms브루트포스 알고리즘, 수학, 정수론2024년 12월 6일 16:24:49
문제 링크 메모리: 2856 KB, 시간: 0 ms자료 구조, 해시를 사용한 집합과 맵, 정렬, 문자열2024년 12월 6일 17:12:10먼저 푼 방법은 완전탐색이다. 반복문을 통해 O(N^2)에도 통과할 것 같아 바로 Java로 작성후 통과했다. 이후 좋은 풀이를
문제 링크 메모리: 157272 KB, 시간: 364 ms너비 우선 탐색, 이분 탐색, 그래프 이론, 그래프 탐색2024년 12월 7일 05:28:49

문제 링크 메모리: 14140 KB, 시간: 104 ms다이나믹 프로그래밍, 그리디 알고리즘2024년 12월 7일 16:06:07각 위치에서 어떤 연산을 먼저 수행하는 것이 최적인지를 판단해야 한다.각 위치 i에서 현재 수 arri를 0으로 만들어야 한다. ai+1과
문제 링크 메모리: 2180 KB, 시간: 0 ms그리디 알고리즘2024년 12월 7일 16:43:43이전 Skyline문제를 이 문제를 풀기 위해 공부했다. 사실상 똑같은 문젠데왜 난이도 차이가 한 티어나 차이나는지 모르겠다. 그리디 문제로 Skyline과 똑같이 풀

문제 링크 메모리: 9836 KB, 시간: 100 ms그리디 알고리즘2024년 12월 7일 16:50:43C++에서 int 대신 long long리턴 시 unsigned main으로 바꾸었다! (++새로운 지식)public class Main { static Buffe

문제 링크 메모리: 2160 KB, 시간: 0 ms분할 정복을 이용한 거듭제곱, 수학2024년 12월 8일 00:42:23map<int, int> fibo;int getFibo(int n) { if (fibo.contains(n)) return fibon;
문제 링크 메모리: 14948 KB, 시간: 124 ms애드 혹, 브루트포스 알고리즘, 문자열2024년 12월 9일 22:43:52
문제 링크 메모리: 107912 KB, 시간: 328 ms자료 구조, 정렬, 문자열, 트리, 트라이2024년 12월 11일 04:53:18두가지 방법으로 풀었다. 첫번째는 startsWith매서드, 두번째는 트라이다.startsWith() 사용 코드import java

문제 링크 메모리: 23536 KB, 시간: 300 ms다이나믹 프로그래밍, 누적 합, 정렬2024년 12월 13일 23:43:43상당히 어려웠다... 아이디어가 매우 중요한데선택하는 책 카테고리를 늘려가기선택하는 책 수를 늘려가기최대값을 dp에 저장 ( dpi는 i종
문제 링크 메모리: 15880 KB, 시간: 124 ms비트마스킹, 수학2024년 12월 14일 19:32:48숫자를 2진수로 표현 후 1의 개수를 세면된다.public class Main { static BufferedReader br; static Buf

문제 링크 메모리: undefined, 시간: 프로그래밍 강의 > PCCP 모의고사 2회 > PCCP 모의고사 2 4번채점 결과정확성: 100.0합계: 100.0 / 100.02024년 12월 15일 11:22:45벽 부수고 이동하기 처럼 3차원 visited로 간단하
문제 링크 메모리: 2020 KB, 시간: 0 ms애드 혹, 수학2024년 12월 15일 23:54:58길이가 $N$인 수열의 $i(1 \\le i \\le N)$번째 원소를 정수 $a_i(1\\le a_i \\le 100)$라고 하자. 동훈이는 이 수열을 잘 정렬해서

문제 링크 메모리: 243664 KB, 시간: 996 ms다이나믹 프로그래밍2024년 12월 16일 01:56:03냥목 게임은 위 그림과 같은 $N \\times N$ 크기의 바둑판에서 흑돌과 백돌을 이용해 진행된다.랑이는 흑돌을, 메리는 백돌을 사용한다.냥목 게임에서

완전 탐색을 생각했다. 이후 어떻게 찾은 문자에 대해서만 진행하지를 생각했을 때 queue에 넣고 그 사이즈만큼 반복해서 돌리면 될 것 같았다. BFS알고리즘과 비슷한 것 같다.이후 어떻게 이 gene들을 비교할 지 생각 중 문자열이기 때문에 contains를 사용시

문제 링크 메모리: 2020 KB, 시간: 20 ms다이나믹 프로그래밍, 슬라이딩 윈도우2024년 12월 16일 17:03:41간단한 dp 문제다. 자바로 풀 땐 dp배열과 board배열을 사용해 전체에 저장하며 풀었다. 이를 c++로 그대로 구현하니 메모리 초과가 발
[Silver I] 신입 사원 - 1946 문제 링크 성능 요약 메모리: 300128 KB, 시간: 868 ms 분류 그리디 알고리즘, 정렬 제출 일자 2024년 11월 21일 18:01:37 문제 설명 언제나 최고만을 지향하는 굴지의 대기업 진영 주식
문제 링크 메모리: 23036 KB, 시간: 284 ms깊이 우선 탐색, 그래프 이론, 그래프 탐색, 트리2024년 10월 29일 07:50:45트리의 행을 dfs로 찾아가며 부여하고 depth를 레벨로 생각하였다.

문제 링크 메모리: 17948 KB, 시간: 268 ms백트래킹2024년 10월 30일 09:26:35

문제 링크 메모리: 46856 KB, 시간: 188 ms다이나믹 프로그래밍2024년 9월 2일 13:18:03

문제 링크 메모리: 94808 KB, 시간: 668 ms깊이 우선 탐색, 그래프 이론, 그래프 탐색, 강한 연결 요소2024년 12월 17일 05:34:02처음 틀린 풀이(14%) 부터 리뷰하겠다.변호관계를 다 저장한 뒤 dfs로 그래프 탐색을 한다. 이때 양방향이거나

[Gold III] 벽 타기 - 23563 문제 링크 성능 요약 메모리: 33392 KB, 시간: 628 ms 분류 0-1 너비 우선 탐색, 데이크스트라, 그래프 이론, 최단 경로 제출 일자 2024년 12월 18일 16:11:27 문제 설명 루시우는
문제 링크 메모리: 353940 KB, 시간: 1464 ms정렬, 두 포인터2024년 12월 19일 21:22:18리스트에 추가 후 오름차순 정렬하여 출력했다.public class Main { static BufferedReader br; static Buffered
문제 링크 메모리: 2376 KB, 시간: 12 ms그리디 알고리즘, 구현2024년 12월 20일 17:07:06생각보다 문제 이해가 잘 안됐다가 아이디어가 번뜩였다. 최대값 - 최소값의 차이가 최소인 구간을 찾는 것 이므로 가장 최대값 - 최소값의 차이가 적은 구간은
문제 링크 메모리: 14300 KB, 시간: 104 ms사칙연산, 그리디 알고리즘, 수학2024년 12월 21일 23:22:43간단한 수학 계산이다. 몫을 저장하고 나머지로 갱신하며 답을 찾았다.public class Main { static BufferedReader
문제 링크 메모리: 2020 KB, 시간: 0 ms애드 혹, 그리디 알고리즘, 수학, 정렬2024년 12월 22일 12:37:38반드시 한바퀴를 돌며 처음부터 끝까지 검사해야하는데 반드시 최소값과 최대값은 지나쳐야하며 최대값 - 최솟값의 절댓값이 있으면 양쪽으로 그 이
문제 링크 메모리: 2020 KB, 시간: 196 ms브루트포스 알고리즘, 수학, 정수론2024년 12월 23일 22:34:45간단하게 m을 1부터 나누어보며 나머지를 저장시키고 모든 학생수만큼 진행했을 떄 겹치는게 없으면 그때가 최소 m이므로 출력.// void so
문제 링크 메모리: 323276 KB, 시간: 2424 ms다이나믹 프로그래밍, 게임 이론, 문자열2024년 12월 25일 04:21:35이미 계산된 값이면 바로 반환 (메모이제이션)num이 9 이하면 -1 반환현재 숫자의 모든 가능한 부분 문자열 생성:앞자리가 0이

문제 링크 메모리: 14348 KB, 시간: 108 ms자료 구조, 그리디 알고리즘, 스택2024년 12월 26일 18:19:39/\*\*Author: nowalex322, Kim HyeonJae\*/import java.io.;import java.util.;publ
문제 링크 메모리: 3896 KB, 시간: 16 ms백트래킹, 브루트포스 알고리즘2024년 12월 29일 18:55:08순열은 재귀로 방문처리와 함께 작성할 수 있었다. 메모리 사용을 좋게 하고자 길이 8 제한을 보고 비트마스킹으로 방문처리를 했다.C++에서 숫자를 문

문제 링크 메모리: 45380 KB, 시간: 684 ms이분 탐색, 누적 합2024년 12월 31일 14:48:28태영이는 SASA의 축제라고 불리는 "인문예술탐사주간"을 보내게 되었다. "인문예술탐사주간"을 맞이하여 세종호수공원에 가게 된 태영이는 아름다운 경치에 놀

문제 링크 메모리: 276848 KB, 시간: 2068 ms그리디 알고리즘, 정렬2024년 12월 31일 20:30:18그리디하게 시작일을 설정하면된다.public class Main { class Work implements Comparable{ int time,
문제 링크 메모리: 15848 KB, 시간: 124 ms백트래킹, 브루트포스 알고리즘2024년 12월 31일 23:49:03보자마자 dfs 문제라고 생각했다. 모든 조합에 대한 완탐이 필요하다고 생각했기 때문이다. trap을 매개변수로 하나씩 늘려가는것이 함정개수다.

문제 링크 메모리: 118868 KB, 시간: 460 ms그래프 이론, 그래프 탐색, 수학, 트리2025년 1월 1일 00:54:45업로드중..

/로 split 한 뒤 ..에 대한 경우의수를 나누었고 아무것도 없는 조건에서 바로 리턴하는 조건문도 추가했다.}

자료구조를 완전구현하듯 진행했다. 노드클래스로 key, value, 이 노드들의 배열과 링크드리스트를 뜻하는 prev, next배열, 노드인덱스 해시맵과 용량이 꽉 찼는지 체크하는 bool까지 사용했다.}/\*\*Your LRUCache object will be in

범위를 좁혀나가면서 최대 넓이 갱신, 투포인터 문제인 것 같다고 생각했다.class Solution { public int maxArea(int\[] height) { int n = height.length; int left = 0;

문제 링크 메모리: 83.2 MB, 시간: 51.36 ms코딩테스트 연습 > 2020 카카오 인턴십정확성: 33.3효율성: 66.7합계: 100.0 / 100.02025년 01월 01일 21:57:58출처: 프로그래머스 코딩 테스트 연습, https://sch
문제 링크 메모리: 23860 KB, 시간: 232 ms0-1 너비 우선 탐색, 너비 우선 탐색, 데이크스트라, 그래프 이론, 그래프 탐색, 최단 경로2025년 1월 2일 14:02:32간단한 BFS 문제다. time을 우선순위큐에 넣어 진행했다. 생각해보니 다익스트라

문제 링크 메모리: 15584 KB, 시간: 112 ms다이나믹 프로그래밍, 배낭 문제2025년 1월 2일 17:15:20양팔 저울과 몇 개의 추가 주어졌을 때, 이를 이용하여 입력으로 주어진 구슬의 무게를 확인할 수 있는지를 결정하려고 한다.무게가 각각 1g과 4g인

문제 링크 메모리: 46140 KB, 시간: 276 ms누적 합, 정렬, 스위핑2025년 1월 3일 12:25:29public class Main { static BufferedReader br; static BufferedWriter bw; static StringT

엔티티 매니저에 대해 알기 위해선 영속성 컨텍스트에 대해 알아야 한다. 영속성 컨텍스트는 엔티티를 영구 저장하는 환경으로 1차 캐싱, 쓰기 지연, 변경 감지를 통해 영속 로직을 효율적으로 할 수 있게 해준다. 이러한 효율적인 영속 로직 수행을 위해서 엔티티는 영속성 컨

문제 링크 메모리: 56632 KB, 시간: 696 ms구현, 수학2025년 1월 4일 14:40:17재밌는 문제!public class Main {// br = new BufferedReader(new InputStreamReader(new FileInputStre

문제 링크 메모리: 81880 KB, 시간: 444 ms너비 우선 탐색, 깊이 우선 탐색, 그래프 이론, 그래프 탐색2025년 1월 5일 22:05:56public class Main { class Node{ int to; int W; public Node(int

문제 링크 메모리: 6004 KB, 시간: 4 ms다이나믹 프로그래밍, 문자열2025년 1월 5일 22:52:41문자가 같은 경우 (str1i-1 == str2j-1)현재 문자를 LCS에 포함이전 상태(dpi-1)에 1을 더함예: "AB"와 "AC"에서 'A' 매칭 시

문제 링크 메모리: 24,960 KB, 시간: 3,595 ms, 코드길이: 4,573 Bytes2025-01-06 04:19출처: SW Expert Academy, https://swexpertacademy.com/main/code/problem/problem

문제 링크 메모리: 73500 KB, 시간: 696 ms해 구성하기, 그리디 알고리즘, 구현2025년 1월 6일 20:36:02처음엔 짝수x짝수부분을 dfs로 풀었는데 시간초과가 났다. 이에 내가 생각하는 최적의 패턴이 존재했기에 이대로 출력해야겠다고 생각했고, 효율적

문제 링크 메모리: 87888 KB, 시간: 816 ms자료 구조, 스택2025년 1월 7일 17:20:49스택이 비었는지 체크하지 않기 위에 맨 앞에 더미데이터로 높이가 무한대이며 순서가 0인 탑을 넣었다.스택에는 이전에 확인한 탑들 중에서 현재 탑보다 높은 탑들만

문제 링크 메모리: 83392 KB, 시간: 548 ms자료 구조, 분리 집합, 그래프 이론, 그래프 탐색2025년 1월 7일 20:22:41보자마자 Union-find 문제라고 생각했다. 모든 점들을 묶으면 2개의 그룹이 생긴다고 생각했다. 그래서 집합으로 묶자고 결

문제 링크 메모리: 37428 KB, 시간: 456 ms깊이 우선 탐색, 다이나믹 프로그래밍, 그래프 이론, 그래프 탐색2025년 1월 8일 14:42:05간단한 dfs, 메모이제이션(백트래킹) 문제. DFS와 DP(동적 계획법)를 결합하여 해결하는 대표적인 문제다.
문제 링크 메모리: 16248 KB, 시간: 120 ms브루트포스 알고리즘, 구현2025년 1월 9일 16:33:20가능한 모든 3자리 숫자를 생성한다. 이때 문제의 조건에 맞는 숫자만을 리스트에 추가한다.추가 조건세 자리의 숫자가 모두 달라야 함0이 포함되지 않아야

문제 링크 메모리: 16600 KB, 시간: 116 ms다이나믹 프로그래밍2025년 1월 10일 16:59:47/\*\*Author: nowalex322, Kim HyeonJae\*/import java.io.;import java.util.;public class M

문제 링크 메모리: 2020 KB, 시간: 0 ms브루트포스 알고리즘, 수학, 정수론2025년 1월 11일 14:53:00기차의 이동 벡터 최적화기차의 이동 방향 (dx, dy)를 최소 단위로 줄인다예: (4,6)으로 이동한다면 GCD인 2로 나눠서 (2,3)으로 변환

문제 링크 메모리: 3.82 MB, 시간: 28.26 ms코딩테스트 연습 > 연습문제정확성: 86.7효율성: 13.3합계: 100.0 / 100.02025년 01월 11일 23:58:47출처: 프로그래머스 코딩 테스트 연습, https://school.prog

문제 링크 메모리: undefined, 시간: .코딩테스트 연습 > 2018 KAKAO BLIND RECRUITMENTEmpty2025년 01월 12일 01:33:30출처: 프로그래머스 코딩 테스트 연습, https://school.programmers.co.

문제 링크 메모리: 92696 KB, 시간: 696 ms덱, 파싱, 구현, 문자열, 자료 구조2025년 1월 12일 18:00:57아무것도 없는 경우에 RRRRR만 하면 \[] 가 출력된다는 반례를 생각해내야한다!public class Main { static Buff
문제 링크 메모리: 120652 KB, 시간: 920 ms이분 탐색, 매개 변수 탐색2025년 1월 13일 20:47:21파라매트릭 서치로 res값을 찾아나갔다. mid값으로 특정 높이를 찾고 그게 최대한 높으면서 M을 만족하도록 찾았다.public class Main
문제 링크 메모리: 449696 KB, 시간: 2008 ms너비 우선 탐색, 깊이 우선 탐색, 그래프 이론, 그래프 탐색2025년 1월 13일 21:57:20bfs로 두 정점 사이의 점수를 구한다.// for(int i=1; i<N; i++) {// for(
문제 링크 메모리: 14256 KB, 시간: 104 ms백트래킹, 비트마스킹, 브루트포스 알고리즘2025년 1월 14일 21:13:23dfs로 모든 조합을 검사해보며 최소값을 갱신했다. 최소 하나의 재료는 골라야한다는 조건을 비트마스킹 방문조건처리인 visited값이

문제 링크 메모리: 22528 KB, 시간: 248 ms이분 탐색, 매개 변수 탐색2025년 1월 14일 22:54:46Bessie the cow has designed what she thinks will be the next big hit video game: "A

문제 링크 메모리: 2024 KB, 시간: 0 ms다이나믹 프로그래밍2025년 1월 15일 15:32:23A 전봇대를 기준으로 오름차순 정렬하면, B 전봇대의 연결 위치들이 증가하는 순서로 있을 때 전깃줄이 교차하지 않는다.A 전봇대의 위치가 증가할 때 B 전봇대의 위
문제 링크 메모리: 2020 KB, 시간: 0 ms다이나믹 프로그래밍2025년 1월 15일 23:07:25유명한 유형인 LIS 유형이다. 이제 역추적까지 곁들인 문제다. 역추적 부분은 dp 배열에서 최대 길이찾고 -1길이 찾고 ... 순으로 진행했다.public cla

문제 링크 메모리: 100136 KB, 시간: 496 ms이분 탐색, 가장 긴 증가하는 부분 수열: O(n log n)2025년 1월 16일 02:50:23LIS알고리즘을 이분탐색을 적용해보았다. N이 클때 O(NlogN)으로 완료해야한다.어떻게 배열을 구상해야할지 참

문제 링크 메모리: 125548 KB, 시간: 528 ms이분 탐색, 가장 긴 증가하는 부분 수열: O(n log n)2025년 1월 16일 02:52:31와 이어지는 문제다.어떻게 배열을 구상해야할지 참고했고, 이분탐색은 남들 코드와는 다르게 항상 작성하던데로 lef

문제 링크 메모리: 155836 KB, 시간: 736 ms이분 탐색, 가장 긴 증가하는 부분 수열: O(n log n)2025년 1월 16일 02:53:33어떻게 배열을 구상해야할지 참고했고, 이분탐색은 남들 코드와는 다르게 항상 작성하던데로 left<=right

문제 링크 메모리: 495940 KB, 시간: 3084 ms이분 탐색, 자료 구조, 가장 긴 증가하는 부분 수열: O(n log n), 세그먼트 트리2025년 1월 17일 03:38:31일반적인 LIS는 이분 탐색을 사용하여 O(N log N)에 해결할 수 있다. 하지
문제 링크 메모리: 2020 KB, 시간: 0 ms자료 구조, 그리디 알고리즘, 구현, 우선순위 큐, 시뮬레이션2025년 1월 17일 23:14:40Priority Queue 자료구조를 이용하면 쉽게 풀 수 있다. 다솜이가 다른사람의 최댓값보다 클 때까지 최대인사람을

문제 링크 메모리: 42356 KB, 시간: 336 ms자료 구조, 분리 집합, 그래프 이론, 트리2025년 1월 18일 18:42:20그림처럼 사이클은 끊고, 연결되지 않은 그룹은 이어주는 연산을 세면 되는데 딱 필요한 알고리즘이 union-find라고 생각했고, 사

문제 링크 메모리: 54.3 MB, 시간: 8.18 ms코딩테스트 연습 > 연습문제정확성: 70.0효율성: 30.0합계: 100.0 / 100.02025년 01월 18일 20:36:40출처: 프로그래머스 코딩 테스트 연습, https://school.progr

문제 링크 메모리: 50688 KB, 시간: 516 ms너비 우선 탐색, 이분 탐색, 자료 구조, 분리 집합, 그래프 이론, 그래프 탐색, 최단 경로2025년 1월 19일 20:27:43전에 풀어본 분리집합문제와 비슷했다. 같은 집합으로 형성되는지를 체크했고 이때 조건

문제 링크 메모리: 71064 KB, 시간: 708 ms자료 구조, 그리디 알고리즘, 우선순위 큐, 정렬2025년 1월 20일 21:09:35/\*\*Author: nowalex322, Kim HyeonJae\*/import java.io.;import java.uti

문제 링크 메모리: 76.7 MB, 시간: 8.39 ms코딩테스트 연습 > 2022 KAKAO BLIND RECRUITMENT정확성: 100.0합계: 100.0 / 100.02025년 01월 21일 00:05:21출처: 프로그래머스 코딩 테스트 연습, https

문제 링크 메모리: 2020 KB, 시간: 0 ms다이나믹 프로그래밍2025년 1월 21일 19:29:21/\*\*Author: nowalex322, Kim HyeonJae\*/import java.io.;import java.util.;public class Main

문제 링크 메모리: 17560 KB, 시간: 160 ms다이나믹 프로그래밍, 배낭 문제2025년 1월 21일 20:14:25dp로 메모이제이션하며 모든 경우의수에 대한 개수를 세주었다./\*\*Author: nowalex322, Kim HyeonJae\*/import

문제 링크 메모리: 14428 KB, 시간: 104 ms수학, 두 포인터2025년 1월 22일 19:22:13/\*\*Author: nowalex322, Kim HyeonJae\*/import java.io.;import java.util.;public class Ma

문제 링크 메모리: 34856 KB, 시간: 300 ms다이나믹 프로그래밍, 트리에서의 다이나믹 프로그래밍, 그래프 이론, 그래프 탐색, 그리디 알고리즘, 트리2025년 1월 23일 01:37:28비트마스크를 사용하여 각 서브트리의 "깊이 정보"를 관리DFS를 통해 트

문제 링크 메모리: 366500 KB, 시간: 2060 ms자료 구조, 누적 합, 트리, 트라이2025년 1월 23일 15:54:10/\*\*Author: nowalex322, Kim HyeonJae\*/import java.io.;import java.util.;pu

문제 링크 메모리: 44860 KB, 시간: 668 ms애드 혹2025년 1월 24일 21:23:54/\*\*Author: nowalex322, Kim HyeonJae\*/import java.io.;import java.util.;public class Main {

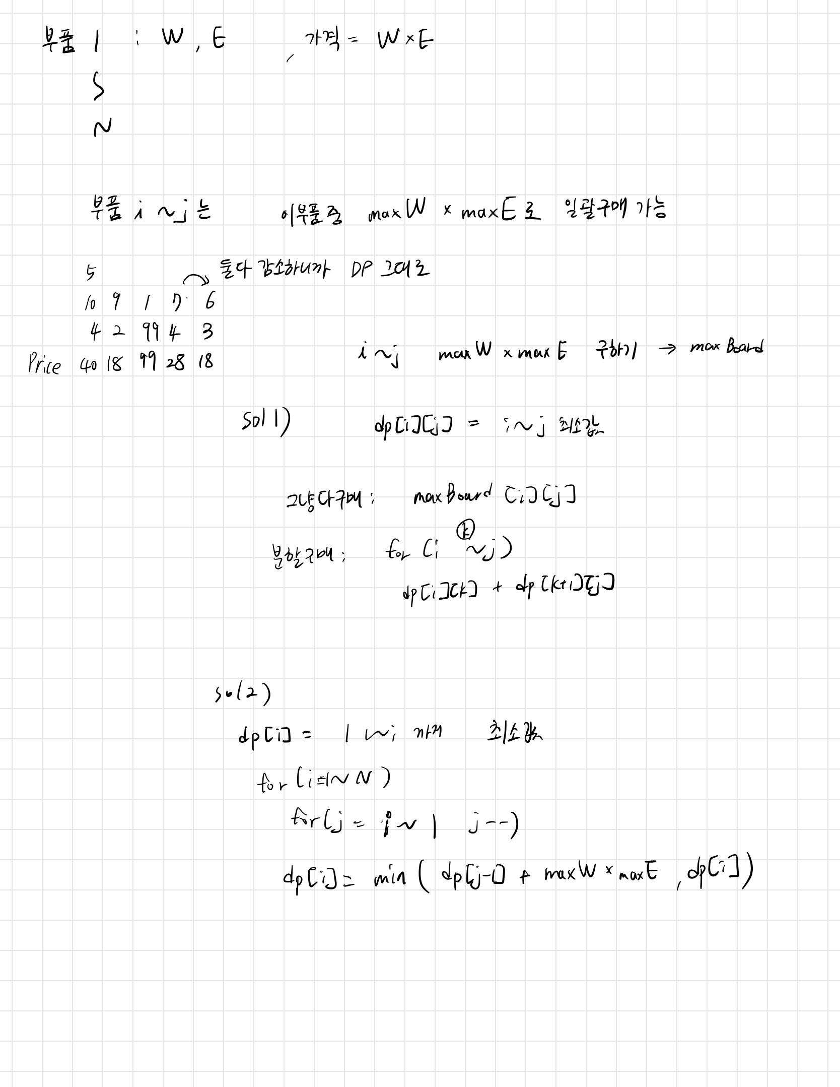
문제 링크 메모리: 2156 KB, 시간: 0 ms다이나믹 프로그래밍2025년 1월 25일 22:59:23<스타로드와 토끼는 토르를 구출하기 위해서 우주선을 만들고 있다.우주선을 만들기 위해서는 총 N개의 부품을 상점에서 모두 구입해야 한다. 모든 부품은 무게 W

문제 링크 메모리: 14312 KB, 시간: 128 ms그리디 알고리즘, 구현, 시뮬레이션2025년 1월 26일 08:35:59랑이 집사는 고양이들이 좋아한다는 캣닢을 직접 재배하려고 한다.일직선으로 놓여진 $N$개의 화분에 캣닢이 하나씩 심어져 있다.각 화분은 초기에

문제 링크 메모리: 14652 KB, 시간: 112 ms백트래킹, 브루트포스 알고리즘, 구현2025년 1월 28일 00:52:40import java.io.;import java.util.;public class Main { static BufferedReader

문제 링크 메모리: 183 MB, 시간: 195.24 ms코딩테스트 연습 > PCCP 기출문제정확성: 100.0합계: 100.0 / 100.02025년 01월 28일 06:38:38출처: 프로그래머스 코딩 테스트 연습, https://school.program

문제 링크 메모리: 5928 KB, 시간: 104 ms다이나믹 프로그래밍, 그리디 알고리즘2025년 1월 29일 03:37:46아이디어는 LIS알고리즘이다. LIS알고리즘을 사용하면서 1씩 증가하는 최장 수열을 찾으면 나머지 숫자을 앞뒤에 최적으로 붙일 수 있기 때문에

문제 링크 메모리: 14372 KB, 시간: 108 ms다이나믹 프로그래밍, 트리에서의 다이나믹 프로그래밍, 그리디 알고리즘, 정렬, 트리2025년 1월 30일 21:35:53일단 정답을 찾기 위해 maxDepth를 사용해야 하는줄 알았다. 하지만 1번부모에 30명의

문제 링크 메모리: 54.5 MB, 시간: 1.05 ms코딩테스트 연습 > Summer/Winter Coding(~2018)정확성: 70.5효율성: 29.5합계: 100.0 / 100.02025년 01월 31일 00:10:27출처: 프로그래머스 코딩 테스트 연습, ht

문제 링크 메모리: 78.8 MB, 시간: 1.37 ms코딩테스트 연습 > 해시정확성: 100.0합계: 100.0 / 100.02025년 01월 31일 03:01:14출처: 프로그래머스 코딩 테스트 연습, https://school.programmers.co.

문제 링크 메모리: 18580 KB, 시간: 168 ms너비 우선 탐색, 데이크스트라, 그래프 이론, 그래프 탐색, 최단 경로2025년 1월 31일 14:49:56벽 부수고 이동하기와 비슷하다고 생각했으며, 거울에 대한 우선순위가 있기 때문에 다익스트라 문제라고 생각했

문제 링크 메모리: 16220 KB, 시간: 168 ms그리디 알고리즘, 정렬2025년 1월 31일 15:34:27

문제 링크 메모리: 16932 KB, 시간: 196 ms이분 탐색, 자료 구조, 해시를 사용한 집합과 맵, 중간에서 만나기2025년 1월 31일 23:53:19첫 풀이는 세 수의 합을 O(N^3)으로 구현하지 않고 a+b+c=k일 때 a+b를 O(N^2)로 구해놓고 k

문제 링크 메모리: 22400 KB, 시간: 408 ms백트래킹, 브루트포스 알고리즘2024년 4월 27일 18:22:12두 팀으로 반반씩 조합으로 나눠 각각 점수를 매긴 뒤 차이를 min갱신해줬다. dfs로 조합만들기./\*\*Author: nowalex322, Ki

문제 링크 메모리: 14636 KB, 시간: 112 ms자료 구조, 덱, 구현, 큐, 시뮬레이션2025년 2월 1일 03:28:43공백은 0, 벽은 -1, 사과는 9, 상하좌우 이동한 뱀의 칸마다 1, 2, 3, 4 를 부여했다. 이로써 2차원 배열 하나로 모든걸 끝낼

문제 링크 메모리: 14776 KB, 시간: 124 ms0-1 너비 우선 탐색, 데이크스트라, 그래프 이론, 그래프 탐색, 최단 경로2025년 2월 1일 21:27:46다익스트라 문제다. breakCnt를 우선순위로 정렬기준을 삼아 PriorityQueue를 사용했다.

문제 링크 메모리: 26200 KB, 시간: 324 ms비트마스킹, 누적 합2025년 2월 2일 03:55:42같은 수를 두 번 XOR하면 0XOR은 순서가 바뀌어도 결과 동일구간 L,R의 XOR 합 = refixSumXOR\[R] ^ prefixSumXOR\[L-1]

문제 링크 메모리: 28436 KB, 시간: 444 ms고속 푸리에 변환, 수학2025년 2월 2일 09:03:38예전에 풀어보고싶었던 주제인 고속 푸리에 변환을 공부해보았다. PS에서 FFT를 convolution을 O(nlogn)에 계산해야 할 상황에 필요한 지식이

문제 링크 메모리: 48496 KB, 시간: 332 ms고속 푸리에 변환, 수학2025년 2월 2일 20:08:33FFT 공부중입니다. 부족한 부분이나 틀린 부분이 있다면 지적해주세요.A. 기본 접근 방식일반적인 O(n²) 곱셈 알고리즘으로는 300,000자리의 곱셈을

문제 링크 메모리: 92168 KB, 시간: 448 ms두 포인터2025년 2월 3일 05:02:12길이가 $N$인 수열 $S$가 있다. 수열 $S$는 1 이상인 정수로 이루어져 있다.수열 $S$에서 원하는 위치에 있는 수를 골라 최대 $K$번 삭제를 할 수 있다.예를

문제 링크 메모리: 56076 KB, 시간: 560 ms너비 우선 탐색, 자료 구조, 그래프 이론, 그래프 탐색2025년 2월 4일 23:16:33간단한 bfs 문제다. 처음에 한참 삽질한 방법은 아직도 왜 틀린지 모르겠다. 그림과 같은 방법으로 풀었었는데 이 방법으로

문제 링크 메모리: 103124 KB, 시간: 900 ms자료 구조, 희소 배열2025년 2월 5일 05:07:06희소 배열을 공부했다. 2의 거듭제곱 단위로 건너뛰는 결과를 미리 저장해두는 배열입니다dpk = x에서 시작해서 2^k번 이동했을 때의 도착점예시로 이해하

문제 링크 메모리: 168500 KB, 시간: 424 ms너비 우선 탐색, 비트마스킹, 그래프 이론, 그래프 탐색2025년 2월 7일 22:47:03bfs 와 비트마스킹으로 풀었다./\*\*Author: nowalex322, Kim HyeonJae\*/import ja

문제 링크 메모리: 14916 KB, 시간: 136 ms이분 탐색, 매개 변수 탐색2025년 2월 8일 22:44:20제한이 매우 크지만 모두 탐색해야하기 때문에 파라매트릭 서치를 사용했다. mid를 이분탐색으로 갱신하면서 mid까지의 개수를 기준으로 짝수개면 mid

문제 풀이 한 줄 이동에 3가지 방법이 있다. 그러므로 8개의 선이 있으므로 24개의 방법이라고 할 수 있다. 완전탐색이면 최대 7번이라고 할 때 24^7 가지의 상태가 발생할 수 있고 약 40억개이므로 시간초과가 발생한다. 이에 2가지 방법이 정해라고 생각된다.
문제 링크 메모리: 17116 KB, 시간: 160 ms유클리드 호제법, 수학, 정수론, 순열 사이클 분할2025년 2월 9일 13:38:15각 위치마다 사이클이 있는데 이 사이클의 최소공배수를 구하면 된다. import java.io.;import java.util.

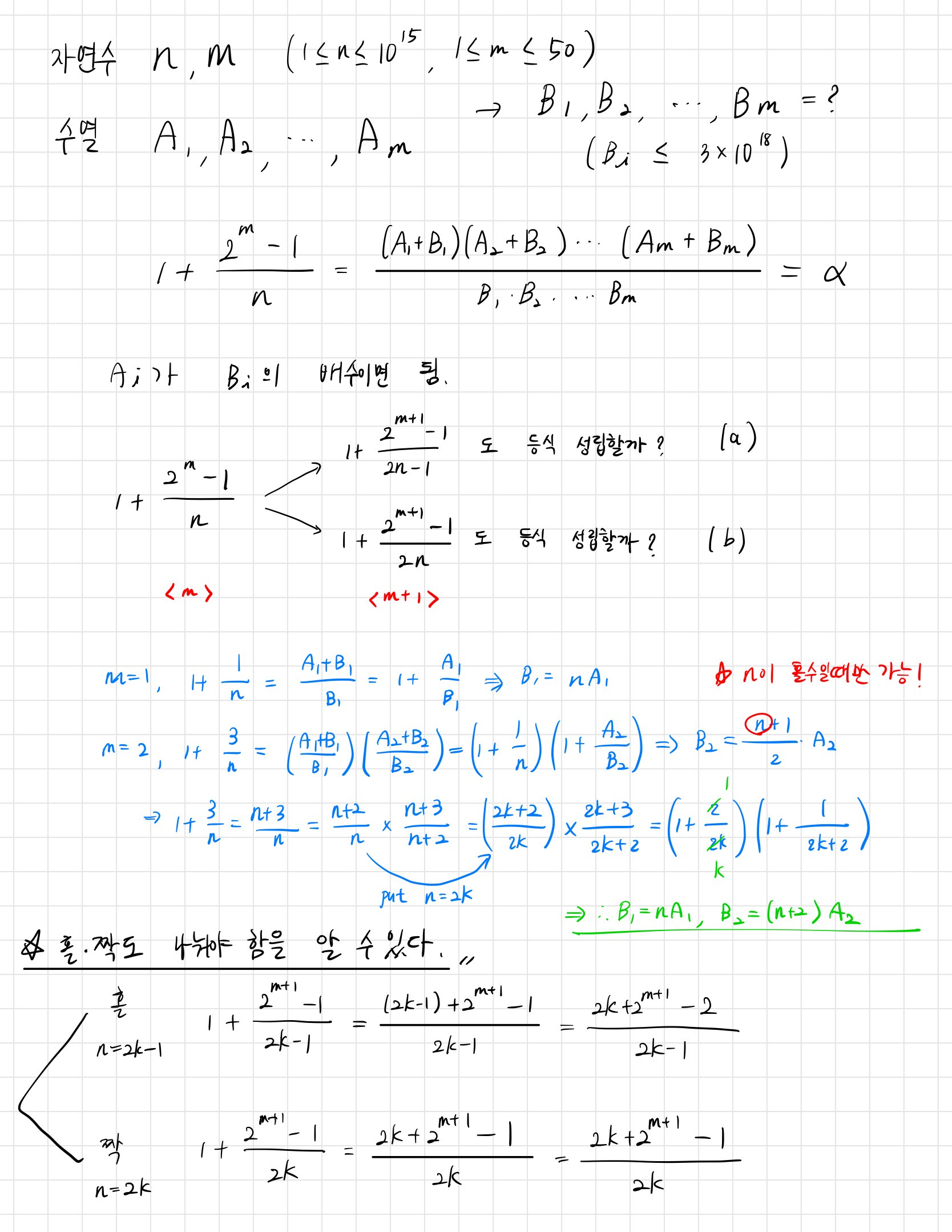
[Platinum I] 간단한 문제 - 15948 문제 링크 성능 요약 메모리: 14212 KB, 시간: 104 ms 분류 애드 혹, 해 구성하기, 수학 제출 일자 2025년 2월 10일 03:36:23 문제 설명 자연수 $n$, $m$과 자연수 수열

문제 링크 메모리: 21952 KB, 시간: 212 ms분할 정복, 다이나믹 프로그래밍2025년 2월 10일 12:07:56아이디어는 겨우 떠올렸는데 분기가 어려웠다.

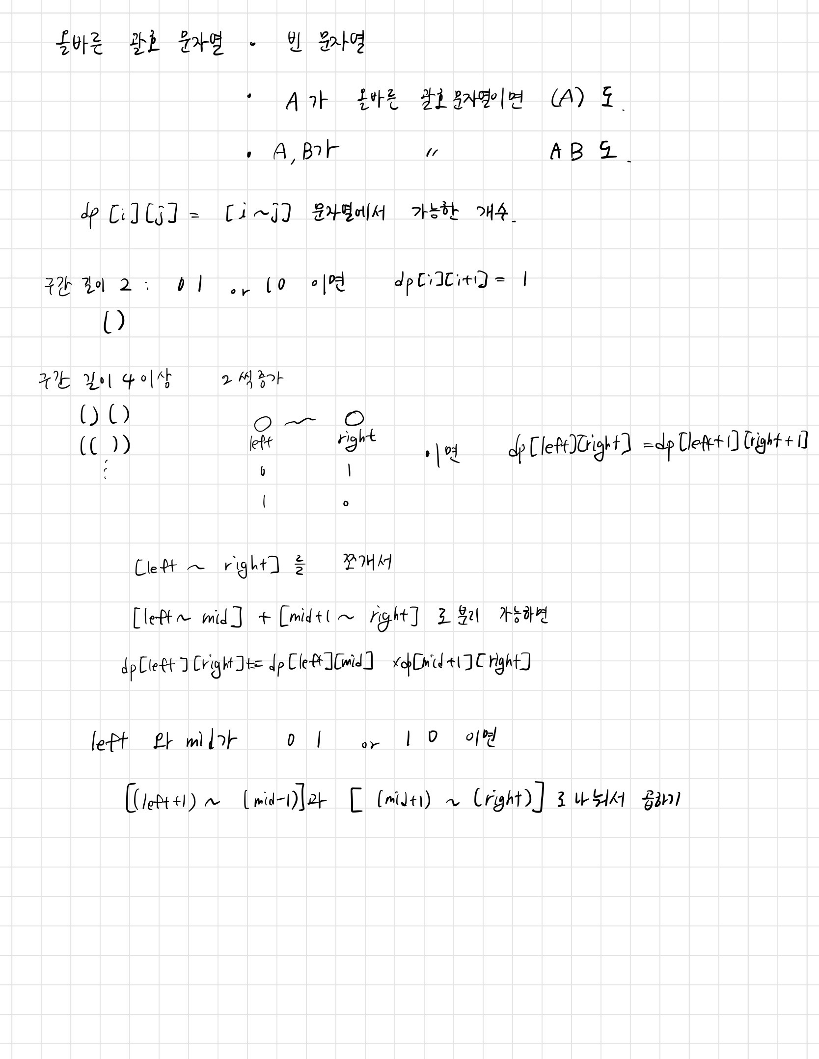
문제 링크 메모리: 15216 KB, 시간: 148 ms다이나믹 프로그래밍2025년 2월 10일 13:01:01$($ 와 $)$로만 이루어진 문자열을 괄호 문자열이라고 한다. 괄호 문자열 중, 다음 규칙을 지키는 문자열을 올바른 괄호 문자열이라고 한다.빈 문자열은 올바

문제 링크 메모리: 36892 KB, 시간: 188 ms다이나믹 프로그래밍, 배낭 문제2025년 2월 10일 23:55:01/\*\*Author: nowalex322, Kim HyeonJae\*/import java.io.;import java.util.;public

문제 링크 메모리: 44284 KB, 시간: 292 ms백트래킹, 브루트포스 알고리즘, 구현, 시뮬레이션2025년 2월 11일 02:47:05

문제 링크 메모리: 100,876 KB, 시간: 2,361 ms, 코드길이: 3,798 Bytes2025-02-11 19:24출처: SW Expert Academy, https://swexpertacademy.com/main/code/problem/proble

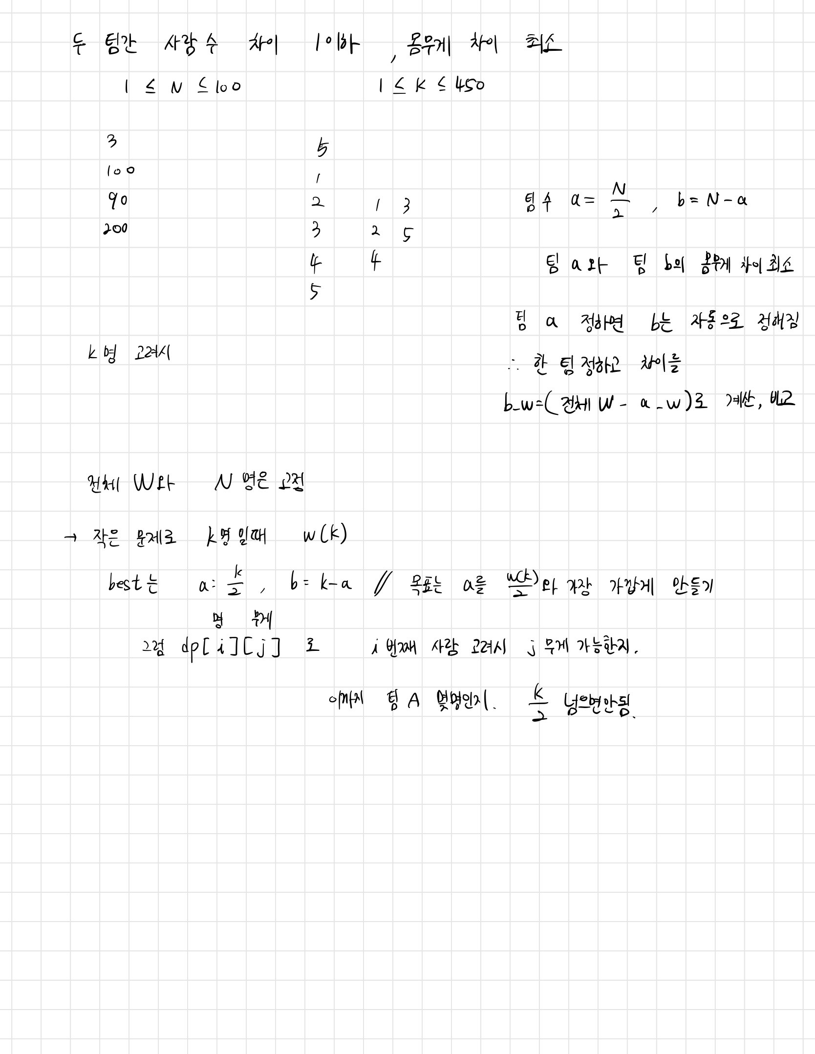
문제 링크 메모리: 20332 KB, 시간: 1268 ms백트래킹, 비트마스킹, 브루트포스 알고리즘2025년 2월 11일 20:38:37이전 비슷한 문제인 스타트와 링크 를 조금만 개선하면된다. 팀마다 인원수 제한이 없으므로 1부터 N-1까지 고려하도록 변경해주었다.i

문제 링크 메모리: 16568 KB, 시간: 120 ms다이나믹 프로그래밍2025년 2월 12일 16:18:35 원형 구조를 선형으로 바꿔 DP로 계산한 후, 원형 특성으로 인한 중복을 제거하는 방식import java.io.;import java.util.;publi

문제 링크 메모리: 15164 KB, 시간: 132 ms다이나믹 프로그래밍, 게임 이론2025년 2월 15일 02:05:23import java.io.;import java.util.;public class Main { static BufferedReader br

문제 링크 메모리: 85.5 MB, 시간: 0.21 ms코딩테스트 연습 > 연습문제정확성: 100.0합계: 100.0 / 100.02025년 02월 15일 04:00:25출처: 프로그래머스 코딩 테스트 연습, https://school.programmers.c

문제 링크 메모리: 15012 KB, 시간: 144 ms깊이 우선 탐색, 플로이드–워셜, 그래프 이론, 그래프 탐색, 최단 경로2025년 2월 15일 18:40:57연결 그래프를 입력받을 때 대소 비교를 오름차순과 내림차순을 구분하여 입력했다.기본 compareTo의

문제 링크 메모리: 105944 KB, 시간: 1624 ms깊이 우선 탐색, 그래프 이론, 그래프 탐색, 트리2025년 2월 16일 20:52:11정점이 $N$개인 트리가 있다. 정점에는 1부터 $N$까지 번호가 붙어있다. 트리의 루트는 항상 1번 정점이며 맨 처음에

문제 링크 메모리: 14240 KB, 시간: 104 ms조합론, 다이나믹 프로그래밍, 수학2025년 2월 19일 00:49:23combination 수를 구했다./\*\*Author: nowalex322, Kim HyeonJae\*/import java.io.;impo

문제 링크 메모리: 18468 KB, 시간: 196 ms다이나믹 프로그래밍2025년 2월 19일 02:30:21간단한 3차원 dp문제다. 이전 방향을 포함해서 고려해야하기때문이다import java.io.;import java.util.;public class Main

문제 링크 메모리: 22040 KB, 시간: 268 ms그리디 알고리즘, 정렬2025년 2월 19일 04:11:26날짜를 정렬한다. 정렬 기준은 시작일을 오름차순, 끝일을 내림차순으로.모든 날짜가 연속되도록 만들었다.이후 선택을할건데 최대한 지금까지 한 구간이랑 한 날

문제 링크 메모리: 56844 KB, 시간: 1544 ms자료 구조, 분리 집합, 오프라인 쿼리2025년 2월 19일 16:39:34제일 작은수를 제거해나가는 대신 빈 칸에서 제일 큰수를 넣어가며 진행했다. 이때 그룹을 이루는 것끼리 union-find로 진행할 수 있

문제 링크 메모리: 182 MB, 시간: 516.01 ms코딩테스트 연습 > 연습문제정확성: 100.0합계: 100.0 / 100.02025년 02월 20일 15:24:28출처: 프로그래머스 코딩 테스트 연습, https://school.programmers.

문제 링크 메모리: 31356 KB, 시간: 552 ms이분 탐색, 매개 변수 탐색2025년 2월 20일 16:26:32이분탐색을 2번 활용해주었다./\*\*Author: nowalex322, Kim HyeonJae\*/import java.io.;import java

문제 링크 메모리: 46272 KB, 시간: 396 ms이분 탐색, 자료 구조, 스택2025년 2월 23일 01:02:13A histogram is a polygon made by aligning $N$ adjacent rectangles that share a com

문제 링크 메모리: 54.4 MB, 시간: 13.68 ms코딩테스트 연습 > 2022 KAKAO TECH INTERNSHIP정확성: 50.0효율성: 50.0합계: 100.0 / 100.02025년 02월 23일 13:45:07출처: 프로그래머스 코딩 테스트 연습, ht

문제 링크 메모리: 20392 KB, 시간: 140 ms다이나믹 프로그래밍, 그리디 알고리즘, 정렬2025년 2월 23일 23:34:57풀이가 꽤 난해했다. 인원 짝이 맞으면 정렬해서 다 연결하면 되겠지만 그게 안된다. N과 M이 달라 그때그때 최적의 선택을 해줘야하면

문제 링크 메모리: 56196 KB, 시간: 276 ms이분 탐색, 누적 합2025년 2월 24일 18:33:26누적합으로 풀었다. 종유석과 석순 각각 누적합으로 겹치는 공간의 숫자를 세주었다. 그 개수별 map을 만들었고 value에는 그 구간들을 넣어주었다. 그래서

88. Merge Sorted ArrayEasyYou are given two integer arrays nums1 and nums2, sorted in non-decreasing order, and two integers m and n, representing the number of elements in nums1 and nums2 respectivel...

문제 링크 메모리: 25356 KB, 시간: 272 ms그리디 알고리즘, 누적 합2025년 2월 26일 00:04:35아래와 같이 좌우로 $N$개의 장소가 있다.위의 그림과 같이 배치된 경우 두 마리의 벌 모두 $4 + 1 + 4 + 9 + 9 = 27$의 꿀을 따서,

문제 링크 메모리: 18520 KB, 시간: 188 ms비트마스킹, 브루트포스 알고리즘2025년 2월 27일 22:06:49최대 4\*4 개의 비트라고 생각하고 가로를 0, 세로를 1로 두고 숫자를 계산했다.import java.io.;import java.util.;

문제 링크 메모리: 14316 KB, 시간: 104 ms구현, 시뮬레이션2025년 2월 28일 18:39:00각 위치에서 좌우 최대높이를 저장한 뒤, 그 중 작은 값을 기준으로 물이 고이게 된다. 그리고 고이는 양은 그 위치에서의 높이를 빼주면 된다. 이때 그 위치에서

문제 링크 메모리: 41760 KB, 시간: 584 ms그리디 알고리즘, 정렬2025년 3월 1일 05:21:19/\*\*Author: nowalex322, Kim HyeonJae\*/import java.io.;import java.util.;public class
문제 링크 메모리: 304568 KB, 시간: 1100 ms이분 탐색, 자료 구조, 해시를 사용한 집합과 맵, 문자열2025년 3월 2일 21:48:02모든 문자열을 생각해보고 각 문자열을 행마다 Hashset으로 비교했다.import java.io.;import ja

Wordlist에 있는 문자들로 탐색을 이어나가야하는데 하나씩 문자가 다른 것들을 찾는 bfs를 생각했다.}

문제 링크 메모리: 28008 KB, 시간: 272 ms조합론, 자료 구조, 해시를 사용한 집합과 맵, 수학, 문자열2025년 3월 4일 02:42:06암호의 길이가 M일때 1~(M-1)까지의 경우의수는 모두 더해줘야한다. 그걸 다 더해주고, 길이 M일땐 각 위치마다

왼쪽K개중 최솟값, 오른쪽 K개중 최솟값을 O(1)에 찾으며 삽입시 log(N)으로 정렬하는 최소힙 2개를 사용했다. 그리고 서로의 구간을 침범하지 않게 left<=right를 유지했다.}

문제 링크 메모리: 290 MB, 시간: 718.45 ms코딩테스트 연습 > 2025 프로그래머스 코드챌린지 1차 예선정확성: 100.0합계: 100.0 / 100.02025년 03월 04일 16:35:14출처: 프로그래머스 코딩 테스트 연습, https://

문제 링크 메모리: 15620 KB, 시간: 196 ms백트래킹, 브루트포스 알고리즘2025년 3월 5일 15:56:25dfs로 모든 경우의수를, 백트래킹 적용해서 풀었다. import java.io.;import java.util.;public class Main {

문제 링크(https://school.programmers.co.kr/learn/courses/30/lessons/389481메모리: 154 MB, 시간: 129.59 ms코딩테스트 연습 > 2025 프로그래머스 코드챌린지 2차 예선정확성: 100.0합계: 1

문제 링크 메모리: 20996 KB, 시간: 324 ms그리디 알고리즘, 정렬2025년 3월 7일 13:55:58import java.io.;import java.util.;public class Main { class Package implements Compa

문제 링크 메모리: 121 MB, 시간: 89.95 ms코딩테스트 연습 > 2025 프로그래머스 코드챌린지 본선정확성: 100.0합계: 100.0 / 100.02025년 03월 07일 20:11:02출처: 프로그래머스 코딩 테스트 연습, https://scho

문제 링크 메모리: 34456 KB, 시간: 44 ms다이나믹 프로그래밍, 수학2025년 3월 8일 18:48:44import java.io.;import java.util.;public class Main { static BufferedReader br;

문제 링크 메모리: 20244 KB, 시간: 232 ms자료 구조, 그리디 알고리즘, 우선순위 큐, 정렬2025년 3월 10일 20:56:48현재 위치에서 갈 수 있는 모든 주유소 중에서 가장 많은 연료를 제공하는 곳을 선택우선순위 큐를 사용하여 방문 가능한 주유소 중

문제 링크 메모리: 204196 KB, 시간: 1884 ms자료 구조, 느리게 갱신되는 세그먼트 트리, 누적 합, 세그먼트 트리2025년 3월 10일 23:26:53

문제 링크 메모리: 16396 KB, 시간: 124 ms 브루트포스 알고리즘 2025년 3월 13일 15:23:25import java.io.;import java.util.;public class Main { static BufferedReader br;

문제 링크 메모리: 14368 KB, 시간: 116 ms수학, 정수론, 소수 판정, 에라토스테네스의 체2025년 3월 14일 15:03:12무조건 K만큼 들어야하므로 나눗셈을 적용했다. 나눌 수 없는수는 소수이므로 소수로 계속 나누어주었다./\*\*Author: now

문제 링크 메모리: 69936 KB, 시간: 260 ms너비 우선 탐색, 그래프 이론, 그래프 탐색2025년 3월 14일 15:33:01import java.io.;import java.util.;public class Main { static BufferedRe

문제 링크 메모리: 314360 KB, 시간: 1664 ms너비 우선 탐색, 이분 탐색, 그래프 이론, 그래프 탐색, 매개 변수 탐색2025년 3월 16일 16:59:34

문제 링크 메모리: 28544 KB, 시간: 296 ms슬라이딩 윈도우, 문자열2025년 3월 18일 05:00:291번 답 구하기와 2번 답 구하기를 각각 나누어서 설명하겠다.왼쪽(left)과 오른쪽(right) 포인터를 사용하여 윈도우를 조절윈도우 내에서 각 문자의

문제 링크 메모리: 14220 KB, 시간: 104 ms브루트포스 알고리즘, 기하학, 수학2025년 3월 18일 18:33:54좌우 건물들의 높이를 이용했다. 기울기의 증감이 일정하게 증가하느냐 감소하느냐를 보면된다.import java.io.;import java.u

LeetCode_Ones and Zeroes

문제 링크 메모리: 78.3 MB, 시간: 21.13 ms코딩테스트 연습 > 2023 KAKAO BLIND RECRUITMENT정확성: 100.0합계: 100.0 / 100.02025년 03월 19일 04:54:15출처: 프로그래머스 코딩 테스트 연습, https&#x

문제 링크 메모리: 102656 KB, 시간: 1816 ms구현, 누적 합, 정렬2025년 3월 19일 06:11:23

문제 링크 메모리: 89348 KB, 시간: 532 ms다이나믹 프로그래밍2025년 3월 19일 19:19:15dfs로 접근하면 시간초과가 발생한다. 이에 dp를 사용했다. 각 층마다 진행하면 위에서 내려오는것, 왼쪽으로 이동하는것, 오른쪽으로 이동하는것으로 생각할 수

문제 링크 메모리: 14284 KB, 시간: 100 ms구현, 수학2025년 3월 19일 20:04:13자릿수별 개수 파악1자리 숫자: 2개 (4, 7) = 2¹2자리 숫자: 4개 (44, 47, 74, 77) = 2²3자리 숫자: 8개 (444, 447, ...) =

문제 링크 메모리: 54876 KB, 시간: 516 ms자료 구조, 스택2025년 3월 22일 17:44:04Farmer John's $N$ cows ($N \\leq 3 \\times 10^5)$ have heights $1, 2, \\ldots, N$. One da

문제 링크 메모리: 105 MB, 시간: 75.97 ms 코딩테스트 연습 > 월간 코드 챌린지 시즌3 정확성: 100.0합계: 100.0 / 100.0 2025년 03월 24일 04:20:44 }

[Gold IV] 여행 가자 - 1976 문제 링크 성능 요약 메모리: 19060 KB, 시간: 160 ms 분류 자료 구조, 분리 집합, 그래프 이론, 그래프 탐색 제출 일자 2025년 3월 25일 19:22:21 문제 설명 동혁이는 친구들과 함께 여

}

문제 링크 메모리: 279312 KB, 시간: 2468 ms 자료 구조, 그리디 알고리즘, 우선순위 큐 2025년 3월 25일 21:40:00 import java.io.; import java.util.; public class Main { static

문제 링크 메모리: 14460 KB, 시간: 132 ms 백트래킹 2025년 3월 25일 23:22:57 import java.io.; import java.util.; public class Main { static BufferedReader br;

문제 링크 메모리: 32412 KB, 시간: 116 ms구현, 시뮬레이션, 정렬2025년 3월 27일 20:06:08리스트 맨 뒤에서부터 제대로 찾아갈 때 까지 cnt를 늘려가고 이후 다시 정렬. import java.io.; import java.util.; publ

문제 링크 메모리: 85.3 MB, 시간: 59.33 ms코딩테스트 연습 > 2023 KAKAO BLIND RECRUITMENT정확성: 100.0합계: 100.0 / 100.02025년 03월 27일 21:28:02출처: 프로그래머스 코딩 테스트 연습, https&#x

문제 링크 메모리: 21208 KB, 시간: 336 ms 데이크스트라, 플로이드–워셜, 그래프 이론, 최단 경로 2025년 3월 28일 15:40:31플로이드 워셜로 경유지중심으로 O($N^3$)으로 풀었다. 다익스트라 하면 O(N\*MlogN)인데 M이 매우 크

문제 링크 메모리: 19564 KB, 시간: 256 ms 벨만–포드, 그래프 이론, 최단 경로 2025년 3월 28일 16:08:59벨만 포드를 풀기위해 풀었다. 벨만포드는 생각보다 구현이 쉽다. 그리고 어떤 문제에 사용해야하는지도 거의 정해져있는것같다. 간선의

처음에는 단순히 정렬을 통해서만 비교했다. 하지만 다음과 같은 반례가 생겼다.\[\[2,100], \[3,200], \[4,300], \[5,500], \[5,400], \[5,250], \[6,370], \[6,360], \[7,380]]이렇게 했을 때 단순히 너비

문제 링크 메모리: 21660 KB, 시간: 288 ms자료 구조, 그리디 알고리즘, 우선순위 큐, 정렬2025년 3월 31일 21:06:40처음에 d일이하인줄 모르고 d일만 가능한줄 알고 너무 쉽게 풀었다가 다시 풀었다. d일 이하의 최대 일수에 배치하도록 TreeS

문제 링크 메모리: 14060 KB, 시간: 104 ms다이나믹 프로그래밍, 그리디 알고리즘2025년 3월 31일 22:01:50import java.io.;import java.util.;public class Main { static BufferedReader

문제 링크 메모리: 83.5 MB, 시간: 13.12 ms코딩테스트 연습 > 2022 KAKAO BLIND RECRUITMENT정확성: 100.0합계: 100.0 / 100.02025년 04월 02일 03:31:41출처: 프로그래머스 코딩 테스트 연습, https&#x

문제 링크 메모리: 85.6 MB, 시간: 125.89 ms 코딩테스트 연습 > 2021 KAKAO BLIND RECRUITMENT 정확성: 50.0효율성: 50.0합계: 100.0 / 100.0 2025년 04월 04일 19:48:47플로이드-워셜로 풀었다cla

문제 링크 메모리: 21568 KB, 시간: 260 ms 구현 2025년 4월 11일 20:59:58

문제 링크 메모리: 48580 KB, 시간: 488 ms 깊이 우선 탐색, 다이나믹 프로그래밍, 그래프 이론, 그래프 탐색 2025년 4월 15일 22:39:47Top-Down DP + dfs를 활용하려 하다가 메모이제이션을 해도 시간복잡도가 dfs는 매우 커지니

Leethub 으로 간단하게 Github에 문제와 코드를 업로드하세요!dfs와 백트래킹으로 간단하게 풀 수 있다. 답을 만들 때는 Stringbuilder을 사용했다. 다시 백트래킹시킬때 setLength로 이전상황으로 만들었다.class Solution { st

문제 링크 메모리: 128 MB, 시간: 33.98 ms코딩테스트 연습 > 월간 코드 챌린지 시즌1정확성: 100.0합계: 100.0 / 100.02025년 04월 16일 00:47:01출처: 프로그래머스 코딩 테스트 연습, https://school.prog

문제 링크 메모리: 108964 KB, 시간: 952 ms 자료 구조, 최소 공통 조상, 희소 배열, 트리 2025년 4월 16일 23:37:54 트리에 대한 정보가 주어지고 두 노드의 가장 가까운 공통 조상 노드를 결과로 출력루트 노드는 항상 1번트리의 각 정

문제 링크 메모리: 819 MB, 시간: 1025.94 ms코딩테스트 연습 > 2020 KAKAO BLIND RECRUITMENT정확성: 25.0효율성: 75.0합계: 100.0 / 100.02025년 04월 23일 00:14:06출처: 프로그래머스 코딩 테스트 연습,

문제 링크 메모리: 111 MB, 시간: 35.45 ms코딩테스트 연습 > 2019 KAKAO BLIND RECRUITMENT정확성: 100.0합계: 100.0 / 100.02025년 04월 23일 02:22:35출처: 프로그래머스 코딩 테스트 연습, https

누적합으로 풀이했다. 한 쪽에서 연속으로 뽑을 수 있고 왼쪽과 오른쪽만 선택 가능하므로 양쪽에서 각각 연속으로 몇개를 뽑는가가 중요하다. 순서는 상관없고 개수가 중요하다.class Solution { public int maxScore(int\[] cardPoin

문제 링크 메모리: 32644 KB, 시간: 288 ms해 구성하기, 그리디 알고리즘2025년 5월 5일 01:58:41minHeap의 작동원리상 특정 노드에 영향을 주려면 연결된 부모이거나 자식노드여야한다.그러므로 p와 연결된 브랜치 중 부모와 자식을 결정지으면 된다

문제 링크 메모리: 57164 KB, 시간: 608 ms이분 탐색, 정렬2025년 5월 6일 03:32:53import java.io.;import java.util.;public class Main { static BufferedReader br; stat

문제 링크 메모리: 43920 KB, 시간: 492 ms그리디 알고리즘, 정렬2025년 5월 6일 15:16:41가격 기준으로 오름차순한다. 가격이 같으면 더해야하고 가격이 높아지면 그 가격으로도 아래가격 고기 다 살 수 있다. 그리고 고기 무게는 내림차순으로 무거운것

문제 링크 메모리: 98592 KB, 시간: 672 ms이분 탐색, 중간에서 만나기2025년 5월 10일 18:15:10중간에서 만나기를 사용했다.너무 길어 $2^{40}$이 되면 연산이 초과나므로$2^{20}$으로 두 부분으로 나눴다. 이러면 10억보다 작아서 가능.

문제 링크 메모리: 15868 KB, 시간: 148 ms누적 합2025년 5월 16일 00:43:59$\\texttt{(, )}$로 구성된 문자열 $S$에서 정확히 하나의 괄호를 지워 올바른 괄호열을 만들 수 있는 경우의 수를 출력하자.올바른 괄호열은 다음과 같이 정의

문제 링크 메모리: 118492 KB, 시간: 540 ms그래프 이론, 브루트포스 알고리즘, 그래프 탐색, 너비 우선 탐색, 비트마스킹2025년 5월 26일 11:03:27핵심 아이디어 : 로봇이 어떤 더러운 칸들을 청소했는지를 비트마스크로 상태를 관리하는 것더러운 칸

문제 링크 메모리: 31372 KB, 시간: 364 ms다이나믹 프로그래밍2025년 5월 27일 21:30:36핵심 아이디어 : dpi를 "(i,j)를 우하단 꼭짓점으로 하는 가장 큰 정사각형의 한 변의 길이"로 정의하는 것.점화식:첫 번째 행과 열은 기본값으로 초기화

문제 링크 메모리: 20772 KB, 시간: 4420 ms다이나믹 프로그래밍, 배낭 문제2025년 5월 27일 22:30:13냅색 문제다. 1차원 배열로 풀었고 역순으로 진행했다. import java.io.;import java.util.;public class Ma

문제 링크 메모리: 57644 KB, 시간: 492 ms너비 우선 탐색, 그래프 이론, 그래프 탐색, 구현2025년 5월 27일 23:54:02bfs문제로, 조금의 복잡함이 있지만 쭉 구현하면 풀 수 있다. 플레이어별 queue를 유지하는것으로 진행했다.import

문제 링크 메모리: 52332 KB, 시간: 296 ms다이나믹 프로그래밍2025년 6월 3일 04:12:42dpi = 상덕이가 마지막으로 i까지 부르고 희원이가 마지막으로 j까지 불렀을 때 최솟값public class Main { static BufferedRe

문제 링크 메모리: 20540 KB, 시간: 192 ms그래프 이론, 그래프 탐색, 최단 경로, 데이크스트라, 격자 그래프2025년 6월 29일 16:16:25간단한 다익스트라 문제다.

문제 링크 메모리: 47068 KB, 시간: 1076 ms그리디 알고리즘, 문자열, 정렬, 게임 이론2025년 7월 8일 16:47:38항상 맨 앞에 본인의 턴에 알파벳을 넣는게 디폴트다. (당연히 사람별로 koo는 가장 작은걸 맨앞, cube는 가장 큰걸 맨앞)하지만

문제 링크 메모리: 96.1 MB, 시간: 3.00 ms코딩테스트 연습 > PCCP 기출문제정확성: 100.0합계: 100.0 / 100.02025년 07월 30일 09:38:25출처: 프로그래머스 코딩 테스트 연습, https://school.programm

문제 링크 메모리: 20460 KB, 시간: 212 ms그래프 이론, 자료 구조, 그래프 탐색, 분리 집합2025년 8월 1일 20:17:14union-find를 바로 떠올렸다.이후 그 그룹마다 최솟값을 더해 k와 비교했다import java.io.;import jav

[Gold III] 앱 - 7579 문제 링크 성능 요약 메모리: 24228 KB, 시간: 184 ms 분류 다이나믹 프로그래밍, 배낭 문제 제출 일자 2025년 8월 6일 01:51:06 문제 설명 우리는 스마트폰을 사용하면서 여러 가지 앱(App)을

문제 링크 메모리: 21636 KB, 시간: 224 ms다이나믹 프로그래밍, 그래프 이론, 방향 비순환 그래프, 위상 정렬2025년 8월 12일 05:05:23위상정렬 문제다. 진입차수를 순서에 맞게 잘 설정해 준 뒤 (선행되어야 할 것에 뒤에 따라올 친구들을 넣는 식

문제 링크 메모리: 147364 KB, 시간: 3040 ms다이나믹 프로그래밍, 트리, 트리에서의 다이나믹 프로그래밍2025년 8월 20일 03:09:29dfs와 tree 구조를 사용했다.백트래킹으로 경로도 탐색했다.import java.io.;import java.u

[level 2] 귤 고르기 - 138476 문제 링크 성능 요약 메모리: 108 MB, 시간: 59.84 ms 구분 코딩테스트 연습 > 연습문제 채점결과 정확성: 100.0합계: 100.0 / 100.0 제출 일자 2025년 08월 27일 04:27:36 문제 설명 경화는 과수원에서 귤을 수확했습니다. 경화는 수확한 귤 중 'k'개를 ...

[Platinum III] 자물쇠 - 1514 문제 링크 성능 요약 메모리: 18068 KB, 시간: 144 ms 분류 다이나믹 프로그래밍, 그래프 이론, 최단 경로 제출 일자 2025년 9월 3일 03:35:58 문제 설명 세준이는 노트북을 누가 가져갈까봐 자물쇠로 잠가놓는다. 자물쇠는 동그란 디스크 N개로 구성되어 있다. 각 디스크에는 ...

[level 3] [1차] 추석 트래픽 - 17676 문제 링크 성능 요약 메모리: 83.2 MB, 시간: 100.74 ms 구분 코딩테스트 연습 > 2018 KAKAO BLIND RECRUITMENT 채점결과 정확성: 100.0합계: 100.0 / 100.0 제출 일자 2025년 09월 10일 11:40:34 문제 설명 추석 트래픽 ...

[level 2] 거리두기 확인하기 - 81302 문제 링크 성능 요약 메모리: 75.7 MB, 시간: 0.19 ms 구분 코딩테스트 연습 > 2021 카카오 채용연계형 인턴십 채점결과 정확성: 100.0합계: 100.0 / 100.0 제출 일자 2025년 09월 10일 10:44:45 문제 설명 개발자를 희망하는 죠르디가 카카오에 면접...

[level 2] 스킬트리 - 49993 문제 링크 성능 요약 메모리: 79.6 MB, 시간: 0.21 ms 구분 코딩테스트 연습 > Summer/Winter Coding(~2018) 채점결과 정확성: 100.0합계: 100.0 / 100.0 제출 일자 2025년 09월 17일 10:33:38 문제 설명 선행 스킬이란 어떤 스킬을 배우기...

[level 3] 2차원 동전 뒤집기 - 131703 문제 링크 성능 요약 메모리: 74 MB, 시간: 3.49 ms 구분 코딩테스트 연습 > 연습문제 채점결과 정확성: 100.0합계: 100.0 / 100.0 제출 일자 2025년 09월 17일 11:28:01 문제 설명 한수는 직사각형 모양의 공간에 놓인 동전들을 뒤집는 놀이를 하고 ...

문제 링크 메모리: 72.8 MB, 시간: 1.71 ms코딩테스트 연습 > 스택/큐정확성: 100.0합계: 100.0 / 100.02025년 11월 09일 16:19:03출처: 프로그래머스 코딩 테스트 연습, https://school.programmers.c

문제 링크 메모리: 76.2 MB, 시간: 19.20 ms코딩테스트 연습 > 스택/큐정확성: 100.0합계: 100.0 / 100.02025년 11월 09일 16:19:21출처: 프로그래머스 코딩 테스트 연습, https://school.programmers.

문제 링크 메모리: 72.4 MB, 시간: 42.60 ms코딩테스트 연습 > 스택/큐정확성: 66.7효율성: 33.3합계: 100.0 / 100.02025년 11월 15일 18:25:39출처: 프로그래머스 코딩 테스트 연습, https://school.prog

[Gold II] 가운데를 말해요 - 1655 문제 링크 성능 요약 메모리: 34180 KB, 시간: 428 ms 분류 자료 구조, 우선순위 큐 제출 일자 2025년 11월 18일 17:21:19 문제 설명 백준이는 동생에게 "가운데를 말해요" 게임을 가르쳐주고 있다. 백준이가 정수를 하나씩 외칠때마다 동생은 지금까지 백준이가 말한 수 중에...