
isinstance는 파이썬 내장 함수로, 특정 값이 지정한 타입(또는 타입들의 집합)에 속하는지를 확인해주는 함수예요.예시:python복사isinstance(10, int) isinstance(3.14, float) isinstance("hello", int)

최종 목표 : 공공기관 (나라장터) 입찰 + 투찰 + 개찰 + 낙찰 입찰 참여 기업 정보 제출 모든 참여 기업의 정보가 초기에 제출되어 자격과 기본 사항 확인 예비가격 선정 및 에정가격 산출 (투찰 단계의 시작) 과거 데이터, 시장 조사 -> 예비 가격 선정 ->

회귀(Regression)란?회귀 분석은 한 변수(종속 변수)가 다른 변수들(독립 변수)에 의해 어떻게 설명되는지를 알아보기 위한 통계적 방법입니다.예) 광고비(독립 변수)가 매출(종속 변수)에 미치는 영향을 분석독립 변수(설명 변수): 결과에 영향을 줄 것으로 예상되

1. 다변량 회귀 분석 여러 개의 독립 변수가 종속 변수에 미치는 영향을 동시에 파악 그 관계를 수학적인 모델로 표현하는 기법 회귀 분석 ? 회귀 분석은 한 가지(또는 여러 개)의 독립 변수(예측 변수)가 종속 변수(목표 변수)에 어떠한 영향을 미치는지, 그 관계를

개념 : 복잡한 수학적 대상을 간단한 형태로 대략적으로 표현하는 방법=> 정확한 계산이 불가능하거나 비효율적인 경우 실제값에 "충분히 가까운"값을 찾는 과정머신러닝 관련 근사 손실 함수의 최적화(2차 근사 사용) 선형 근사(Linear Approximation)미분 가

1️⃣ 강의 소개 및 파이썬 개요 목표와 용어 설명 1-1. 강의 소개 목표 : 컴퓨터와 친구처럼 소통할 수 있는 방법 => 프로그래밍에 대해 배울 것임 프로그래밍이란? 프로그래밍은 컴퓨터에게 “이렇게 해줘!”라고 명령을 내리는 방법 예를 들어, 게임을 만들거나,

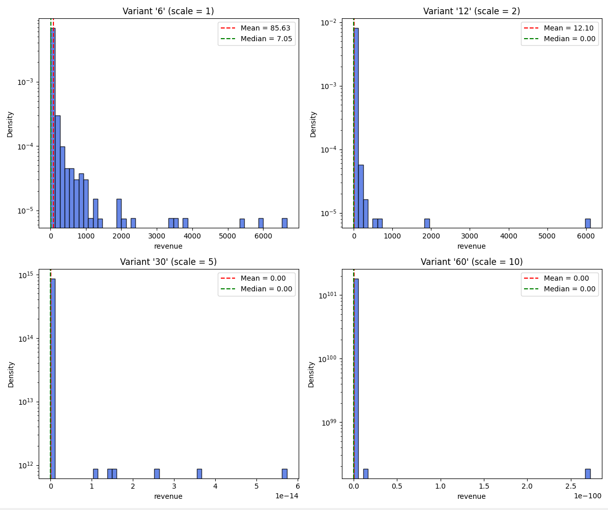
데이터의 분포를 시각적으로 표현하는 도구데이터를 여러 구간(또는 "빈(bin)")으로 나누어 각 구간에 속하는 데이터의 빈도(횟수)를 막대 그래프로 나타낸 것이를 통해 데이터가 어떻게 분포되어 있는지, 특정 구간에 데이터가 몰려 있는지, 분포의 형태(예: 좌우 대칭,

정의: 가능한 모든 결과의 집합. 예를 들어, 동전 던지기의 표본공간은 Ω={H,T} 입니다.특징: 실험이나 관측에서 나올 수 있는 모든 가능성을 포괄.정의: 표본공간의 부분집합으로, 관측 가능한 특정 결과나 그들의 모임.예: 주사위를 던졌을 때 짝수가 나오는 사건 A

1. 수리 통계 1 : 기초 통계 추론과 이론의 탄탄한 기초 마련 1. 표본분포 정의 : 모집단에서 동일한 크기의 표본을 무수히 많이 추출하여 계산한 통계량(예: 평균, 분산, 중앙값 등)의 분포 모집단에서 표본만을 뽑아 통계량을 계산하면 값들이 조금씩 달라짐 -> 표

통계학의 주요 접근법빈도주의 : 데이터를 통해 사건의 빈도를 계산하고, 호가률을 반복 실험의 결과로 이해베이지안 접근법 : 기존의 믿음(사전 정보)을 수치화하여(사전분포) 데이터를 관찰한 후 이 믿음을 업데이트 하는 방식(사후분포)을 사용두 접근법의 주요 차이점확률
참고자료 - https://www.redhat.com/ko/topics/ai/what-is-generative-ai?utm_source=chatgpt.com


실제로 이렇게 작동하지 않을 수 있지만, 내가 사전에 가정한것매일 발생하는 일일 수익률 계산=> 현재 내가 정한 확률 규칙(동전은 50%, 주사위는 1/6) 가운데 매일의 수익률(데이터)이 어떻게 발생하는지에 관한 확률을 계산코드 기준 daily_return 함수 =>

NAS ? 네트워크를 통해 파일 단위로 스토리지를 공유하는 시스템 SMB/CIFS, NFS, AFP 등의 프로토콜로 NAS에 접속해 로컬 드라이브처럼 파일을 읽고 쓸 수 있음 NFS (Network File System) 리눅스/유닉스 환경에서 파일 단위로 공유하는

Numerical Python의 약자. 파이썬에서 수치 연산을 효율적으로 수행하기 위한 핵심 라이브러리다차원 배열을 지원함배열 생성 함수np.array(): 배열 생성np.zeros(): 0으로 채워진 배열 생성np.ones(): 1로 채워진 배열 생성np.arange