
Attention is all you need (2017, 구글)RNN이나 CNN 같은 기존의 순차적(sequence-based) 구조를 사용하지 않고, 오직 Attention 메커니즘만을 활용하여 자연어 처리(NLP) 모델을 설계한 최초의 연구이다. 이 모델이 바로

머신러닝 모델을 만드는 핵심 작업 중 하나는 성능을 평가(evaluate)하는 일과연 어떻게 머신러닝 모델의 완성도를 측정할까?언제 학습(train)과 학습평가(evaluation)를 끝내고, 완성했다고 말할 수 있을까?"ML Model Evaluation" 가 의미하

딥러닝에서 가장 많이 사용되는 프레임워크: Tensorflow, Keras, Pytorch프레임워크란?응용 프로그램 개발을 위해 여러 라이브러리나 모듈을 효율적으로 사용할 수 있도록 하나로 묶어 놓은 것Tensorflow2015년 구글이 개발한 딥러닝 프레임워크Pyth

CNN이 무엇일까?CNN(Convolutional Neural Networks):딥러닝에서 주로 이미지나 영상 데이터를 처리할 때 쓰이며, 이름에서 알수있다시피 Convolution(합성곱)이라는 전처리 작업이 들어가는 Neural Network 모델입니다.Convol

CNN 추가 준비0부터 10000까지 나눌 때, 린스페이스 함수가 뭐냐\->np.linspace(0, 10000, 11)는 0에서 10000 사이의 숫자들을 11개의 구간으로 나누어서 생성하는 역할linspace 함수는 시작과 끝 값 사이에서 일정한 간격으로 값들을 생

Diffusion Model데이터를 만들어내는 deep generative model 중하나data로부터 noise를 조금씩 더해가면서 data를 완전한 noise로 만드는 forward procee(diffusion process)와 이와 반대로 noise로부터 조금

Protein Engineering PipelineRFdiffusionBackbone or general structure ProteinMPNNSequence GenerationAlphaFold 2FilteringStructure prediction problemExp

GNN(Graph Neural Network)Feature Vector: 노드 안에 들어있는 정보GNN을 통해 biology를 표현하는게 유용해짐원자/분자를 노드로, 결합을 엣지로, 원자/분자의 특징을 Feature로 생각=> 학습된 내용을 통해, 새 물질이 들어왔을

GAN(Generative Adversarial Networks)존재하지 않는 그럴싸한 이미지를 만들어내는 기술이미지 데이터는 다차원 특징 공간의 한 점으로 표현됨\-> 이미지의 분포를 근사하는 모델을 학습할 수 있음\-> 사람의 얼굴에는 통계적인 평균치가 존재할 수
최신 고성능 모델들은 Transformer 아키텍쳐를 기반으로 함ex) GPT는 Transformer의 Decoder 아키텍쳐 활용Transformer 부터는 RNN을 사용하지 않고, Attention 기법만 사용\-> 성능이 훨씬 좋아짐\-> 입력 시퀀스 전체에서 정
RNN활성화함수로 tanh 함수 사용은닉층의 출력값이 다시 순환되어 은닉층의 입력값으로 들어감 -> 순환 신경망=>1\. 내부적으로 순환 되는 구조2\. 순서(sequence)가 있는 데이터를 처리하는데 강점을 가진 신경망=>RNN은 과거의 데이터를 알기 위해1\. 은
TensorFlow Tensor를 흘려보내면서 머신러닝과 딥러닝 알고리즘을 수행하는 라이브러리 텐서플로를 이용한 프로그램 작성 시 상수, 변수, 텐서연산 등의 노드와 엣지를 먼저 정의하고 세션을 만들고 그 세션을 통해 노드간의 데이터 연산 수행 -> 세션을 만들지 않고
뉴런이전 뉴런부터 입력신호를 받아 또 다른 신호를 발생시킴이때, 입력 값들의 모든 합이 특정 임계점을 넘어야 출력 신호를 발생시킴활성화 함수입력신호를 받아 특정 값의 임계점을 넘어서는 경우에 출력을 생성해주는 함수신경 세포인 뉴런 동작원리를 머신러닝에 적용하기 위해1\
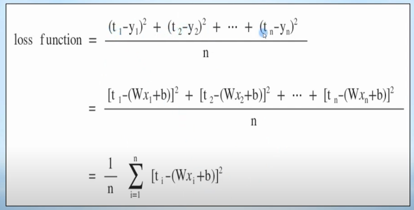
머신러닝: 데이터를 이용하여 데이터 특성과 패턴을 학습하여, 그 결과를 바탕으로 미지의 데이터에 대한 그것의 미래 결과(값, 분포)를 예측지도학습과 비지도 학습으로 나뉨지도학습: 입력 값과 정답을 포함하는 Training Data를 이용하여 학습하고, 그 학습된 결과를

인공지능 -> 머신러닝 -> 딥러닝머신러닝: 데이터를 이용하여 명확하게 정의되지 않은 패턴을 학습하고, 그러한 학습을 바탕으로 미래 결과(값, 분포)를 예측ex) Neural Network(NN)딥러닝: 머신러닝의 한 분야로서, 신경망(Neural Network)을 통

인공지능: 인간의 지능이 갖고 있는 기능을 갖춘 컴퓨터 시스템, 인간의 지능을 기계 등에 인공적으로 구현한 것인공지능의 한 분야, 컴퓨터가 학습할 수 있도록 하는 알고리즘과 기술을 개발하는 분야딥러닝: 머신러닝의 한 분야, 여러 비선형 변환기법의 조합을 통해 높은 수준