
(1) Decision Tree / Source : SKKU IDC Lab Prof. Jaemin Cho

Chain Rule, basics of Backpropagation / Source : SKKU IDC Lab Prof. Jaemin Cho

Ensemble Methods - Bagging, RandomForest, Boosting, AdaBoost / Source - SKKU IDC Lab Prof. Jaemin Cho

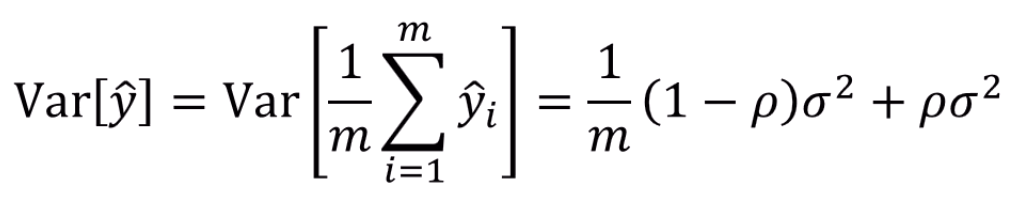
Variance of Bagging, Derivation of a_t in AdaBoost, Manifold / Soruce : SKKU IDC Lab Prof. Jaemin Cho

Neural Network, Backpropagation / Source : SKKU IDC Lab Prof. Jaemin Cho

Backpropagation, Chain Rule / Source : SKKU IDC Lab Prof. Jaemin Cho

K-means, Gaussian Mixture Model (GMM) / Source : SKKU IDC Lab Prof. Jaemin Cho

Hierarchical Clustering, DBSCAN / Source : SKKU IDC Lab Prof. Jaemin Cho

Dimensionality Reduction, PCA, t-SNE / Source : SKKU IDC Lab Prof. Jaemin Cho

SVM / Source : SKKU IDC Lab Prof. Jaemin Cho

Non-linear SVM, Kernel Function, Kernel Trick / Source : SKKU IDC Lab Prof. Jaemin Cho

SVM Revisit / Source : SKKU IDC Lab Prof. Jaemin Cho