
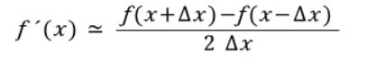
수치미분, 편미분

Simple Linear Regression

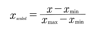
이상치 처리

선형 회귀 & 로지스틱 회귀

Train/Test Data

Logistic Regression 문제

Multinomial Classification

비정형 데이터를 이용한 다중 분류

K-Means, DBSCAN, PCA(차원축소)

SVM(Support Vector Machine)

Decision Tree & KNN

Ensemble(앙상블)

Deep Learning & CNN

CNN(2) - 구현 실습

Dropout & Image Augumentation

전이학습(Transfer Learning) & RNN

Word Cloud

자연어 처리(2)