
jonathandinu/ํ์ด์คํ์ฑ ยท ํฌ์นํ๋ ์ผ๊ตด (huggingface.co)Image Segmentation - Hugging Face Community Computer Vision Course\[CV] Image Segmentation (์ด๋ฏธ์ง ๋ถํ ) (tist

์์ ๋ฐ์ดํฐ๋ฅผ ๊ธฐ๋ฐ์ผ๋ก ํ ๋ํ์ธ ILSVRC2012์์ ์ฐ์นํ CNN ๊ตฌ์กฐ์ด๋ค. Alex Krzhevsky์ ์ด๋ฆ์ ๋ฐ์ AlexNet์ด๋ผ๊ณ ๋ถ๋ฅธ๋ค. Convolution Layer 5๊ฐ์ Fully Connected Layer 3๊ฐ๋ก ๊ตฌ์ฑ๋์ด ์๋ค.ReLU Acti

๊ณต๋ถ๋ฅผ ํ๋ค๋ณด๋ ๋ฐฐ์น ์ ๊ทํ์ ๋ํ ๋ด์ฉ์ด ๊ถ๊ธํ์ฌ ๊ณต๋ถํ ๊ฒ์ ๊ธฐ๋กํด๋ณด์๋ค.์ ์ฌ์ฉํ๋ ๊ฒ ์ผ๊น. ํํ ๋งํด ํ์ต์๊ฐ์ ์ค์ด๊ฑฐ๋ ๋ชจ๋ธ์ด Local optimum์ ๋น ์ง์ง ์๋๋ก ๋, overfitting์ ๋น ์ง์ง์๋๋ก ํ๊ธฐ์ํด์ ๋ผ๊ณ ํ๋ค. ๊ณต๋ถ๋ฅผ ํ๋ฉฐ ๋จ ํ๋ฒ๋ ๋น

์ฌ๋ฌ ์ธต์ ๋ ธ๋๋ค์ด ์ฐ๊ฒฐ๋์ด ์์ด ์ ์ธต๊ฒฐํฉ(Fully Connected Layer) ๋ผ๊ณ ๋ถ๋ฅธ๋ค. ์ ๋ ฅ์ธต - ์๋์ธต - ์ถ๋ ฅ์ธต ๊ตฌ์กฐ๋ฅผ ์ด๋ฃจ๊ณ ์์ผ๋ฉฐ ์ ํ ๋ฐ์ดํฐ๋ฅผ ์ฒ๋ฆฌํ ๋ ์์ฃผ ํจ๊ณผ์ ์ด๋ค. train_dataset, test_dataset ์ datasets์ผ๋ก MN

์ ํํ๊ท๋ ์ ๋ ฅ ๋ณ์์ ์ถ๋ ฅ ๋ณ์ ์ฌ์ด์ ๊ด๊ณ๋ฅผ ์ค๋ช ํ๋ ์ง์ ์ ์ฐพ๋ ๊ธฐ๋ฒ$y = Wx + b$W(weight) - ๊ฐ์ค์น b(Bias) - ํธํฅ์ ๋ ฅ ๊ฐ x๊ฐ ๋ค์ด์์ ๋ W์ b๋ฅผ ์กฐ์ ํ๋ฉฐ ์ ํํ y๋ฅผ ์์ธกํ๋ ๊ฒ.!x(์ ๋ ฅ ๊ฐ) \[1, 2, 3] ์ด y(์ถ๋ ฅ ๊ฐ)

๋ชจ๋ธ์ด ํ์ต์ ์์ํ๊ธฐ ์ ์ ์ฌ์ฉ์๊ฐ ์ค์ ํด์ฃผ๋ โ๊ฐโํ์ต๋ฅ ๋ก, ๋ชจ๋ธ์ด ํ์ต์ ํ ๋ ์ญ์ ํ(backward)๋ฅผ ํตํด ๋ชจ๋ธ์ ๊ฐ์ค์น๋ฅผ ์ผ๋ง๋ ์ด๋์ํฌ์ง๋ฅผ ๋ํ๋ด๋ ๊ฐ์ด๋ค. $$W\_{t+1} = W_t - \\eta \\nabla L(W_t)$$์ด๋ ํ์ต๋ฅ ์ ๋ฐ๋ผ ๋ํ

์์ค ๊ฐ ํน์ cost ๋ผ๊ณ ๋ถ๋ฆฌ๋ ์ด ๊ฐ์ ์ฐ๋ฆฌ๊ฐ ๋๋ฆฌ๊ณ ์๋ ๋ชจ๋ธ์ ์์ธก๊ฐ๊ณผ ์ค์ ์ ๋ต ์ฌ์ด์ ์ฐจ์ด๋ฅผ ๊ฐ์ ํํํ ๊ฒ์ด๋ค.๋น์ฐํ๊ฒ ์ฐจ์ด์ ๊ฐ์ด ์์ผ๋ฉด ์์์๋ก ์์ธก๊ฐ์ด ์ค์ ์ ๋ต๊ณผ ๊ฐ๊น์์ง๋ค๊ณ ํํํ ์ ์๋ค. ๊ทธ๋ฌ๊ธฐ์ Loss ๊ฐ์ ์ ๊ฒํ๋๊ฒ AI ๊ตฌ์กฐ๋ฅผ ๋ค๋ฃจ๋

Multi-Layer Percenptron์ ์ฝ์๋ก ๋ค์ธต ํผ์ ํธ๋ก ์ด๋ผ๊ณ ๋ ๋ถ๋ฆฐ๋ค. ์ง๋ํ์ต์ ์ฌ์ฉ๋๋ ์ธ๊ณต์ ๊ฒฝ๋ง์ ํ ํํ์ด๋ฉฐ, ๋น์ ํ ์๋๊ณ์ธต์ ํฌํจํ๊ณ ์๋ค.ANN ( ์ธ๊ณต ์ ๊ฒฝ๋ง ) ์ธ๊ฐ์ ๋์ ์ํธ ์ฐ๊ฒฐ๋ ๋ด๋ฐ ๋คํธ์ํฌ ๊ตฌ์กฐ์ ๊ธฐ๋ฅ์ ๋ชจ๋ฐฉํ ๋จธ์ ๋ฌ๋ ๋ชจ๋ธ์ด๋ค.๋ค

AI๋ Artificial Intelligence์ ์ฝ์๋ก ์ธ๊ณต์ง๋ฅ์ด๋ผ๊ณ ํ๋ค. ํ์ต ๋ฅ๋ ฅ, ์ถ๋ก ๋ฅ๋ ฅ, ์ง๊ฐ ๋ฅ๋ ฅ, ์์ฐ์ด ์ดํด ๋ฅ๋ ฅ ๋ฑ ์ง์ ๋ฅ๋ ฅ์ ์ปดํจํฐ ํ๋ก๊ทธ๋์ผ๋ก ๊ตฌํํ๋ ค๋ ๊ณผํ๊ธฐ์ ๋ถ์ผ. ์ฆ, ์ธ๊ฐ์ฒ๋ผ ์๊ฐํ๊ณ ํ์ตํ๋ฉฐ ๋ฌธ์ ๋ฅผ ํด๊ฒฐํ ์ ์๋ ๊ธฐ๊ณ๋ฅผ ๋ง๋ค๊ธฐ ์

๋ฌดํ ์คํฌ๋กค์ ์ด๋ป๊ฒ ๊ตฌํํ๋ ๊ฑธ๊น?๋จ์ํ๊ฒ DB์ ์ ๋ณด๋ค์ ํ๋ฒ์ ๋ค ๋๊ธฐ๋ฉด ๋๋ ๊ฑธ๊นโฆ?๊ฒฐ๋ก ์ ๊ทธ๋ฌ๋ฉด ์๋๋คโฆ ์ ๋ณด์ ์์ด ๋ง๋ค๋ฉด ์๊ธธ ์ ์๋ ๋ฌธ์ ๋ค์ดโฆ ์ดํ๋ฌดํ ์คํฌ๋กค์ ํ์ด์ง ๋ฐฉ๋ฒ๊ณผ ๋ค๋ฅด๊ฒ ์ฌ์ฉ์๊ฐ ํ์ด์ง๋ฅผ ๊ณ์ ์๋๋ก ์คํฌ๋กคํ ๋๋ง๋ค ์๋์ผ๋ก ์๋ก์ด ์ฝํ ์ธ ๋ฅผ

Pageable, PageRequest, Page Spring ์์ ๊ฐ๋ฐ์ ํ๋ค๋ณด๋ฉด ํ๋ฒ ์ฏค ๋ณธ์ ์๋ ์ฝ๋? ํ๋ฒ ์ฏค ๋ณธ์ ์๋ ์ฝ๋๊ฐ ์๋๋ผ ์ ๋๋ก ์๊ณ ์ฐ๊ธฐ์ํด์ ๊ธ์ ์ ์ด๋ณธ๋ค.Page, Pageable, PageRequest๋ Spring Data JPA์ ํ์ด์ง

Created: 2025๋ 1์ 12์ผ ์คํ 3:32์นด์นด์ค ๋ก๊ทธ์ธ ๋ฒํผ์ ๋๋ฅผ ์, ์นด์นด์ค์์ ์ง์ ํ ์ฃผ์๋ก ์์ฒญ์ ๋ณด๋ธ๋ค์ฃผ์์๋ redirect_uri+ client_id + ๋ฑ๋ฑ ์ฌ๋ฌ ์ ๋ณด๋ค์ด ๋ด๊ฒจ ์๋ค!๋ก๊ทธ์ธ ์ฑ๊ณต ์ ์นด์นด์ค์์ ์ ๋ณด๋ฅผ ๋ฐ๋ก ๊ฐ์ง๊ณ ์ค๋ ๊ฒ์ด ์๋

๋ถ๊ธฐ ํ์ ๋ฒ(Branch and Bound)์ ์ต์ ํ ๋ฌธ์ ๋ฅผ ํด๊ฒฐํ๊ธฐ ์ํ ํ์ ์๊ณ ๋ฆฌ์ฆbacktrack ๊ณผ ์ฐจ์ด์ ์ต์ ํด๋ฅผ ์ฐพ์ ๊ฐ๋ฅ์ฑ์ด ์์ผ๋ฉด ๋ถ๊ธฐ๋ฅผ ํ์ง ์๋๋ค.๋ํ Backtracking๊ณผ ๋ฌ๋ฆฌ ์ต์ ํ ๋ฌธ์ ๋ฅผ ํธ๋๋ฐ๋ง ์ฌ์ฉํ๋ค.์ค๊ณ์ ๋ต๋ ธ๋์์ ์ซ์(๊ฒฝ๊ณ)๋ฅผ ๊ณ์ฐํ

๋ฐฐ๋ญ ๋ฌธ์ ๋ฅผ ์ํ๊ณต๊ฐํธ๋ฆฌ์ ์ ์ฉํ์ฌ ๋ฌธ์ ๋ฅผ ํด๊ฒฐํ๋ค. ๋ฟ๋ฆฌ๋ง๋์์ ์ผ์ชฝ์ผ๋ก ๊ฐ๋ฉด ์ฒซ๋ฒ์งธ ์์ดํ ์ ๋ฐฐ๋ญ์ ๋ฃ๋ ๊ฒฝ์ฐ์ด๊ณ ,์ค๋ฅธ์ชฝ์ผ๋ก ๊ฐ๋ฉด ์ฒซ๋ฒ์งธ ์์ดํ ์ ๋ฐฐ๋ญ์ ๋ฃ์ง ์๋ ๊ฒฝ์ฐ์ด๋ค.์ํ๊ณต๊ฐํธ๋ฆฌ๋ฅผ ๊ตฌ์ถํ์ฌ ๋์ถ์ ๊ธฐ๋ฒ์ผ๋ก ๋ฌธ์ ๋ฅผ ํด๊ฒฐํ๋ค.์ต์ ์ ํด๋ฅผ ์ฐพ๋ ๋ฌธ์ ์ด๋ฏ๋ก ๊ฒ์์ด

์ฃผ์ด์ง ๊ทธ๋ํ์์ ๋ชจ๋ ์ ์ ์ ์ ํํ ํ ๋ฒ์ฉ ๋ฐฉ๋ฌธํ๊ณ ์ถ๋ฐ์ ์ผ๋ก ๋์์ค๋ ๊ฒฝ๋ก(์ํ), ์ฆ ํด๋ฐํด ์ํ(Hamiltonian Circuit)์ด ์กด์ฌํ๋๊ฐ?์ํ ์ด์ ํธ๋ฆฌ์์ ๊ธฐ์ค์ด ๋๋ ๋ ธ๋์ ๋ถ๋ชจ๋ ธ๋, ์์๋ ธ๋๊ฐ ๊ธฐ์ค์ด ๋๋ ๋ ธ๋์ ๊ฐ์์ง ํ๋จํ๋ค.๋ถ๋ชจ ๋ ธ๋, ์์

์ง๋์ m๊ฐ์ง ์์ ๊ฐ์ง๊ณ ์์น ํ๋ ๋ฌธ์ .m๊ฐ์ ์์ ๊ฐ์ง๊ณ ์ธ์ ํ ์ง์ญ์ด ๊ฐ์ ์์ด ๋์ง ์๋๋ก ์ง๋์ ์์น ํด์ผ ํ๋ค.์ํ ์ด์ ํธ๋ฆฌ์์ ๊ธฐ์ค์ด ๋๋ ๋ ธ๋์ ๋ถ๋ชจ๋ ธ๋, ์์๋ ธ๋๊ฐ ๊ธฐ์ค์ด ๋๋ ๋ ธ๋์ ๊ฐ์์ง ํ๋จํ๋ค.์ธ์ ํ ๋ ธ๋๋ค๊ณผ ์์ด ๊ฐ๋ค โ ์ ๋งํ์ง ์๋ค.์ธ์ ํ

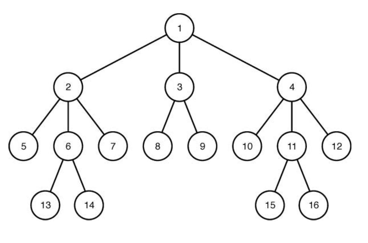
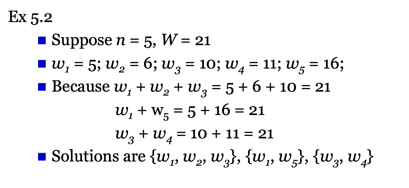
์ฃผ์ด์ง ์ ์ ์งํฉ๊ณผ ๋ชฉํ ํฉ๊ณ๋ฅผ ๊ธฐ๋ฐ์ผ๋ก, ์งํฉ์ ๋ถ๋ถ ์งํฉ ์ค์์ ์์๋ค์ ํฉ์ด ์ฃผ์ด์ง ๋ชฉํ ๊ฐ๊ณผ ์ผ์นํ๋ ๊ฒฝ์ฐ๋ฅผ ์ฐพ๋ ๋ฌธ์ ์กฐ๊ฑด - ๊ฐ์ค์น๋ฅผ ์ค๋ฆ์ฐจ์์ผ๋ก ์ ๋ ฌํ ๊ฒฝ์ฐ, ๋ ธ๋๊ฐ ์ ๋งํ์ง ์์์ ํ๋จํ์ฌ๊น์ง ์ ํํ ๊ฐ์ค์น์ ํฉ (weight)weight : ํ์ฌ ๋ ธ๋์

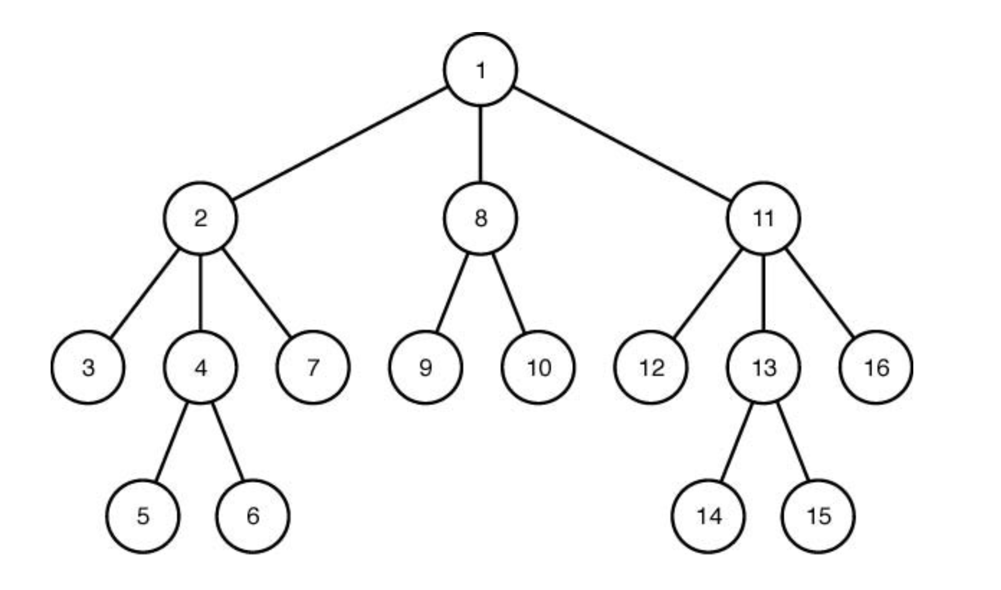
๋ชจ๋ ๊ฒฝ์ฐ์ ์๋ฅผ ์ ๋ถ ๊ณ ๋ คํ๋ ์๊ณ ๋ฆฌ์ฆ. ์ํ๊ณต๊ฐ์ ํธ๋ฆฌ๋ก ๋ํ๋ผ ์ ์์ ๋ ์ ํฉํ ๋ฐฉ์์ด๋ค. ์ด๋ค ๋ ธ๋์์ ์ ๋ง์ฑ์ ์ ๊ฒํ ํ, ์ ๋งํ์ง ์๋ค๊ณ ํ์ ๋๋ฉด ๊ทธ ๋ ธ๋์ ๋ถ๋ชจ๋ ธ๋๋ก ๋์๊ฐ์(โbacktrackโ) ๋ค์ ํ์๋ ธ๋์ ๋ํ ๊ฒ์์ ๊ณ์ ์งํํ๋ ๊ณผ์ ์ด๋ค. P

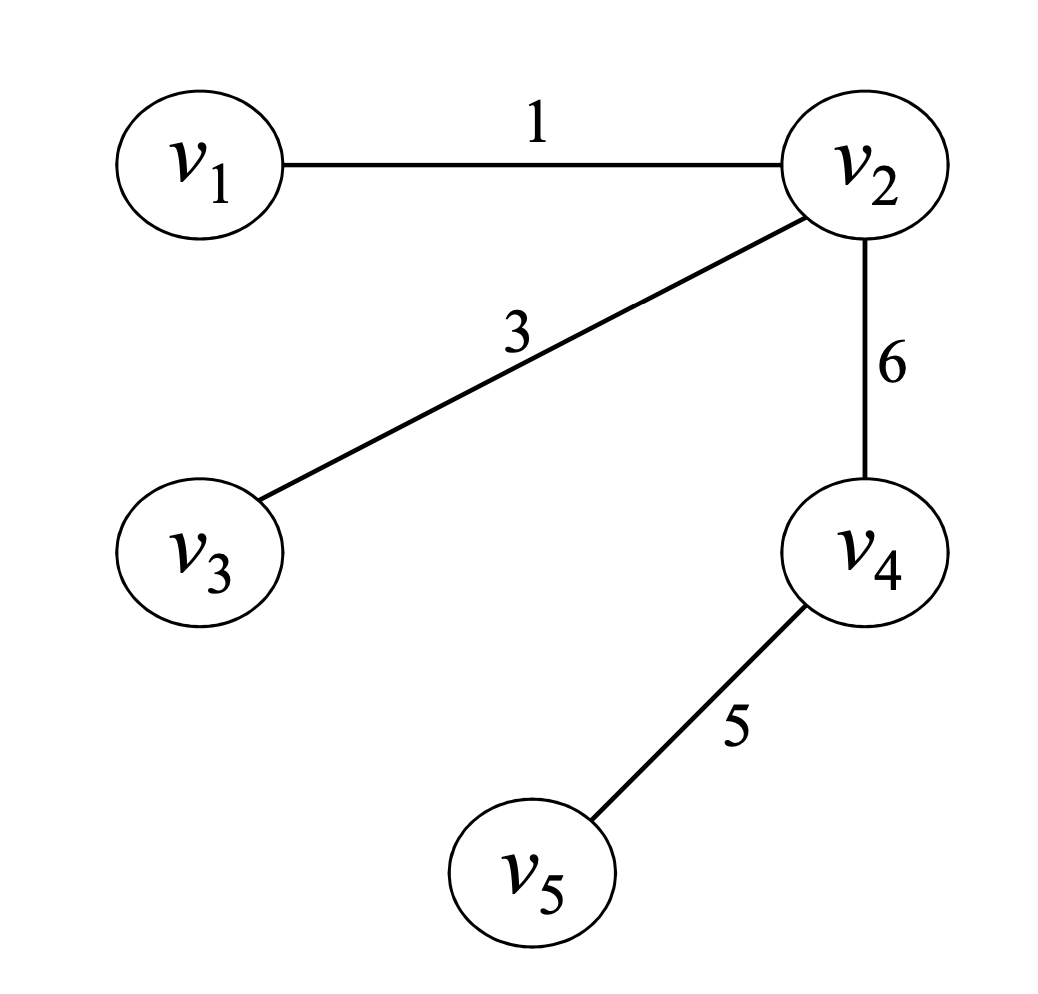
๊ฐ์ค์น๊ฐ ์๋ ๋ฐฉํฅ์ฑ ๊ทธ๋ํ์์ ํ ํน์ ์ ์ ์์ ๋ค๋ฅธ ๋ชจ๋ ์ ์ ์ผ๋ก ๊ฐ๋ ์ต๋จ๊ฒฝ๋ก ๊ตฌํ๋ ๋ฌธ์ tounchi = ํ์ฌ๊น์ง์ ์ต๋จ ๊ฒฝ๋ก์์, v1์์ vi๋ก ๊ฐ๋ ๊ฒฝ๋ก์ ๋ง์ง๋ง์ ์์นํ Y์ ์ํ ์ ์ ์ ์ธ๋ฑ์คlengthi = v1์์ vi๋ก ๊ฐ๋ ํ์ฌ ์ต๋จ ๊ฒฝ๋ก์ ๊ธธ์ด

์ฉ์ด ์ ๋ฆฌ๋น๋ฐฉํฅ์ฑ ๊ทธ๋ํ ( undirected graph )G = (V,E) โ V ๋ Set of Vertex โ E ๋ Set of Edge ๊ฒฝ๋ก path์ฐ๊ฒฐ๋ ๊ทธ๋ํ ( connected graph ) - ์ด๋ค ๋ ์ ์ ์ฌ์ด์๋ ๊ฒฝ๋ก๊ฐ ์กด์ฌ๋ถ๋ถ ๊ทธ๋ํ (