2024년 9월 2일 월요일 대한상공회의소 지하 2층 중회의실A 오전 10시 ~ 오후 18시 Key Impressions & Insights 마이크로소프트 MS AI School 5기가 시작되었다. 지금까지 AI 엔지니어란 코딩을 잘 다룰 수 있는 사람이라고 생각해왔
1교시: AI 기본의 이해 및 활용 김승준 강사님 인공지능 시대의 소프트웨어 개발 업무 인공지능(AI)가 소프트웨어 개발 업무에 미치는 영향은 급격히 증가하고 있다. Google과 Microsoft의 최신 연구 결과를 보면서 AI가 소프트웨어 엔지니어링과 업무 환경에
강명호 강사님 2024 AI Index Report 스탠포드 대학교가 매년 발간하는 AI Index Report는 인공지능(AI)의 현재 상태와 미래 전망을 다양한 측면에서 분석한다. 2024년 보고서에서는 연구개발, 기술 성능, 경제적 영향 등 총 9개 분야에서 A
김승준 강사님 1교시 : 데이터 분석 및 인공지능 개발 환경 IDE: 통합 개발 환경으로, 코드 작성, 편집, 디버깅을 한 곳에서 할 수 있다. 확장 프로그램도 다양하게 지원되어 생산성이 높다. VS Code는 특히 Python 개발에 유용하고, GitHub와 연동해
이은정 강사님 강의 파이썬이란 개발자: Guido van Rossum 개발년도: 1990년 특징: 인터프리터 방식의 프로그래밍 언어로써, 대화형으로 명령을 해석하고 실행함 파이썬 장점 문법이 간결하고 빠르게 배울 수 있음 다양한 플랫폼에서 동작 머신러닝, 데이터 분
김수정 강사님 Python 설치 및 개발 환경 설치 기반: IDLE, VS Code, pyCharm, Jupyter Notebook (Anaconda) 클라우드 기반: GitHub, Alice, Codingground, Colab 단일 자료형 숫자형: int, fl
김수정 강사님 Summarise CSV 파일은 쉼표로 구분된 텍스트 데이터를 저장하며, 단순함 덕분에 데이터 분석에 많이 사용된다. 반면 xlsx는 엑셀의 다양한 기능과 서식을 포함하는 파일 형식으로 더 복잡한 데이터를 처리하는 데 적합하다. CSV는 주로 데이터 분
김수정 강사님 강의 Pandas 강력한 데이터 분석 라이브러리 Series: 1차원 배열 / DataFrame: 2차원 배열 형태 loc [pandas.loc]는 데이터프레임의 행과 열을 라벨(인덱스와 컬럼 이름) 기반으로 선택하는 데 사용된다. 인덱스 값이나 조건
김수정 강사님 아르테미스 달탐사 데이터 분석 링크텍스트 문제 정의 목표: 아폴로 임무 데이터를 분석하여 2024년 아르테미스 임무 시 달에서 효율적으로 암석 샘플을 찾는 방법 연구 환경 설정 필수 개발환경: Python, Visual Studio Code 필요한
김수정 강사님 내용 데이터 수집 및 가공: 따릉이 데이터의 여러 CSV 파일을 Pandas로 읽어들여 결합. 대여 시간, 요일, 주말 여부 등 시간 정보와 대여소 위치 데이터를 추가로 처리함. 분석 도구: Matplotlib, Seaborn으로 시각화. Folium으
특강 해외 기업 트렌드: Azure를 사용하는 기업이 많으므로, 영어 공부와 클라우드 기술(Azure, AWS, Google)을 더 배워두는 것이 유리함. 메타버스(Metaverse): 메타(가상)와 유니버스(현실)의 결합으로, VR보다 진보된 가상-현실 공존 기술.
박온순 강사님 인공지능과 클라우드 컴퓨팅 인공지능(AI)이란? 인공지능은 컴퓨터가 사람처럼 생각하고 배우는 기술이다. 마치 로봇이 사람처럼 일을 할 수 있게 만드는 것! 인공지능은 여러 가지 일을 할 수 있다: 미래 예측: 과거의 데이터를 보고 앞으로 무슨 일이 일
박온순 강사님 Linux 운영체제란? 운영체제(OS)는 컴퓨터의 '교사' 같은 역할을 한다. 우리가 컴퓨터에게 프로그램을 실행하도록 명령을 내리면, 운영체제가 그 명령을 컴퓨터 하드웨어에 전달하고, 프로그램이 잘 실행될 수 있도록 도와준다 만약 운영체제가 없다면, 컴
박온순 강사님 WordPress 실습 MariaDB에 접속하기 MariaDB에 root 사용자로 접속. -u root: 루트 사용자로 로그인하기 -p: 비밀번호 입력 WordPress용 데이터베이스 만들기 MariaDB에 접속했으면, WordPress에서 사용할
박온순 강사님 Stable Diffusion 실습 Azure에서 Stable Diffusion Web UI 설치하기 Stable Diffusion Web UI는 AI 이미지 생성 도구로, Azure에서 우리는 Azure Machine Learning을 사용해서 설치했
Realised I lacked effort in job prep. Now I know job searching requires active info exploration. Grateful for MS AI School's support.
박온순 강사님 스테이블 디퓨전 복습 Azure ML 실행 및 SSH 접속 Azure 포털 접속: 포털 로그인 후, VM 페이지로 이동하여, 중지되어 있는 VM 선택, '시작' 버튼 눌러 실행 SSH로 접속: SSH를 이용해 가상 머신 실행 후 접속할 수 있다. .pe

Stable Diffusion practicals

A fast-paced, hands-on day with challenges for non-majors, yet supportive peers. I love ya all 🥰
Struggled to focus in class due to flu, but grateful to be able to attend and review the material afterwards. Grateful for the learning opportunity.

The instructor's lessons are engaging, well-prepared, and interactive, making learning enjoyable. The convenience of ML Studio adds to the fun!

though the tasks are challenging, feeling myself growing, step by step, like completeing a puzzle and becoming more skilled with each piece.
강명호 강사님 프로야구 선수능력 측정 모델 주성분 분석 K-means 군집화 K-means 군집화 알고리즘으로 선수들을 여러 그룹으로 나눈다. 각 군집마다 유사한 선수들이 모여 있고, 중심점(centroid)은 군집의 중심을 나타낸다. 초기 중심점은 무자위로 설정
강명호 강사님 붓꽃 군집화 모델 K-means 군집화 군집(K)의 개수를 정하고 임의의 중심점을 선택 데이터 포인트들을 가까운 중심점에 할당해 군집을 형성 새로운 중심점을 계산하고 이를 반복하여 군집의 변동이 없으면 종료 로지스틱 회귀 (Logistic Regres
김자영 강사님 회귀 분석 선형 회귀 (Linear Regression) 목적 독립변수와 종속변수 간의 선형적 관계를 찾는다. 즉, 독립변수가 변할 때 종속변수가 어떻게 변하는지를 설명하는 직선을 찾는다. 수식 $$ y = wx + b $$ y: 예측값(종속변수) x
김자영 강사님 공공자전거 수요예측 원핫인코딩 데이터 분리 및 원핫인코딩 모델 학습에 앞서 데이터를 훈련 세트와 테스트 세트로 나누고, 범주형 변수에 대해 원핫인코딩을 진행. pd.get_dummies: 범주형 데이터를 숫자로 변환하는 방법으로, 각각의 범주를 이진

김자영 강사님 로켓발사 실습 모델링 변수 선택 데이터 분할 모델 생성 및 훈련 분류 모델의 평가지표 predict(X_test): 테스트 데이터를 사용해 모델이 예측한 발사 여부 계산 predict(X_train): 훈련 데이터를 사용해 모델이 예측한 발사 여
김승준 강사님 소프트웨어 프로젝트 관리 방법론 Waterfall(폭포수 모델) 소프트웨어를 개발할 때 단계별로 차근차근 진행하는 방법. 단계는 보통 요구사항 분석 -> 설계 -> 구현 -> 테스트 -> 배포 및 유지보수로 나뉜다. 장점: 각 단계를 끝내고 나서 다음
정찬훈 강사님 Personal Insight 경력단절 질문: 어떻게 설명할까? 경력단절자는 아니지만 졸업 후 취업까지 시간 공백이 커서 그에 대한 질문이 나온다면 공격질문일거라고만 생각했는데 그것을 '경력단절 기간 동안 우리 회사를 위해 무엇을 준비했는가?'를 묻는

권\민, 김\호, 김\민, 김\영, 박\비, 이\상, 주\영, 최\환, 이\형, 홍\민 회사 및 제품 소개 우리가 구상한 회사는 인공지능(AI) 기술을 활용하여 게임의 그래픽 맵을 자동으로 생성하는 혁신적인 플랫폼을 제공한다. 클라이언트가 입력한 특정 컨셉이나 이미지

강명호 강사님 퍼셉트론 뉴런과 퍼셉트론 퍼셉트론은 인간의 뇌 신경세포(뉴런) 를 본떠 만든 인공지능의 기본 모델이다. 뉴런은 신호를 받아들이고 일정한 값을 넘으면 다음 뉴런으로 신호를 보낸다. 퍼셉트론도 비슷한 원리로 작동한다. 퍼셉트론은 입력값과 가중치를 더해 계산

강명호 강사님 신경망 3층 신경망 init_network(): 신경망의 가중치(W1,W2,W3) 와 편향(b1,b2,b3) 을 설정하고 초기화한다. W1,W2,W3: 각 층에서 입력 데이터를 다음 층으로 전달하는 데 필요한 가중치 행렬 b1,b2,b3: 각
강명호 강사님 신경망 학습 신경망 기울기 평가 load_mnist: MNIST 데이터셋을 로드하는 함수. 학습용과 테스트용 데이터셋을 반환한다. normalize=True: 데이터를 0~1 범위로 정규화. onehotlabel=True: 레이블을 원핫 인코딩으로 변
강명호 강사님 오차역전파법 이미지 예측 실험 np.random.choice를 사용해 테스트 데이터셋에서 임의로 5개의 이미지를 선택한다. 선택된 인덱스를 xsample과 tsample에 저장하여 각각 이미지 데이터와 실제 모델 레이블로 사용한다. TwoLayerN

강명호 강사님 합성곱 신경망 전체 구조 CNN (Convolution Neural Network) CNN은 주로 이미지 데이터에서 패턴을 찾아내기 위해 고안된 신경망이다. 사진을 찍으면 인접한 픽셀들이 비슷한 색이나 모양을 가지며 CNN은 이처럼 공간적으로 가까운 데

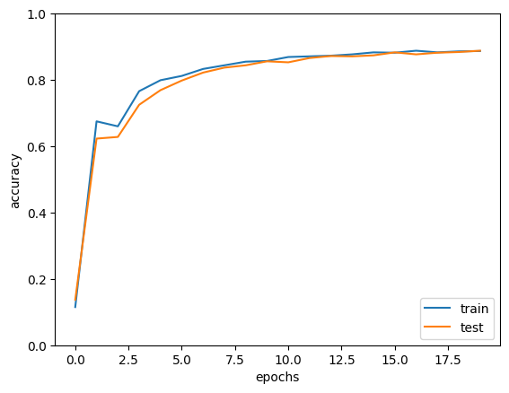
강명호 강사님 암석식별머신 구현 개발 환경 설정 파이토치 (딥러닝 라이브러리) torch: 딥러닝 모델을 구축하고 학습시키는 데 널리 사용되는 라이브러리. GPU를 활용하여 빠른 학습이 가능하고, 신경망 구축과 최적화에 필요한 다양한 기능을 제공한다. to
정종현 강사님 인공신경망 인공지능 개요 인간의 지적 능력을 컴퓨터에서 구현하는 기술로 고도의 문제 해결 능력을 지닌 인공적인 지능. AI는 인간의 학습능력, 추론능력, 지각능력 등을 컴퓨터 과학을 통해 구현하려는 목표를 가지고 있고, 데이터 분석, 추론, 예측, 분류

아이디어 브레인스토밍 홈 트레이닝 자세 교정 사용자의 운동 자세를 실시간으로 분석하고 피드백을 제공하는 AI 기반 홈 트레이닝 보조 프로그램을 만들고 싶었지만,, 현재 시장에 이미 여러 AI 기반 홈 트레이닝 앱들이 존재했다. 차별점을 두기에는 너무 많은 앱들이 존재해
김승준 강사님 Intro Gartner Hype Cycle 신기술이 등장한 후 사회적으로 어떻게 수용되고 성숙해지는지를 시각적으로 표현하는 그래프. Innovation Trigger: 새로운 기술이 등장하여 주목받는 단계. Peak of Inflated Expect
김자영 강사님 개발환경 구축 확장프로그램 설치 한국어 Material Icon Theme: 파일 아이콘을 직관적으로 표시 Prettier - Code formatter: 코드를 일관된 스타일로 자동 포맷팅 Auto Rename Tag: 태그의 이름을 변경할 때 여는

김자영 강사님 CSS CSS 개념 CSS는 웹 페이지의 시각적 요소(색상, 글꼴, 레이아웃 등)를 제어하기 위해 HTML과 함께 사용된다. Cascading Style sheets라는 이름처럼, 여러 스타일 규칙이 겹쳐 적용될 때 우선순위에 따라 계단식(Cascade
김자영 강사님 JavaScript 기본문법 JavaScript JavaScript는 웹 브라우저에서 실행되며 주로 프론트엔드와 백엔드 양쪽에서 사용된다. 대표적인 프레임워크로는 React, Vue.js, Angular가 있고, Node.js는 서버 측에서 JavaSc

김자영 강사님 JavaScript DOM, Event 브라우저의 렌더링 과정 HTML 파싱 브라우저가 서버로부터 HTML 문서를 수신하면, 이를 토큰화하고 구문 분석(Syntax Analysis) 하여 DOM(Document Object Model) 트리를 생성한다
김자영 강사님 JavaScript Event 이벤트 이벤트의 종류 마우스 이벤트: 사용자의 마우스와 관련된 동작을 감지한다. click: 요소를 클릭할 때 발생. dbclick: 요소를 더블 클릭할 때 발생. mousedown: 요소 위에서 마우스 버
김수진 강사님 Azure OpenAI 시작 생성 AI와 GPT 생성 AI는 인공지능이 다양한 형태의 콘텐츠를 생성하는 기술로, 텍스트, 이미지, 코드 등 여러 유형의 데이터를 다룰 수 있다. 이 기술은 딥러닝과 자연어 처리(NLP) 모델을 기반으로 한다. GPT(Ge

리소스 그룹 및 리소스 생성 Azure에서 리소스 그룹을 생성하고, OpenAI 관련 리소스를 생성한다. 엔드포인트 및 키값 확인 생성된 리소스에서 Azure OpenAI 모델의 엔드포인트와 키값 확인. Azure OpenAI Studio 활용 Azure OpenA

김수진 강사님 프롬프트 엔지니어링 구현 프롬프트 엔지니어링 개요 프롬프트의 품질 프롬프트의 구체성과 명확성은 모델 성능에 큰 영향을 미친다. 잘 설계된 프롬프트는 관련 있고 정확한 응답을 생성하도록 돕는다. 프롬프트 설계의 중요성 모델의 성능은 주어진 프롬프트에 의

김수진 강사님 코드 & 이미지 생성 자연어에서 코드 생성 코드 생성을 위한 모델 GPT-35-Turbo 및 GPT-4 모델은 코드와 언어를 함께 이해하고 생성하며, 간단한 명령어부터 복잡한 응요 프로그램 코드까지 작성 가능. 코드 개선 및 자동화 부분 코드 완료:

인선미 강사님 그라디오(Gradio) 란,, 사용자가 손쉽게 머신러닝 모델을 웹 인터페이스로 배포할 수 있는 강력한 Python 라이브러리이다. (출처: ChatGPT) 기본 라이브러리 설정 라이브러리를 먼저 살펴보면 gradio: 오늘의 주인공. 머신러닝 애플리
To complete the sentence, select the appropriate option in the answer area. When developing an AI system for self-driving cars, the Microsoft (Blank)

음.. 혼자 실습에 실패했다. 그래서 완성 코드 분석으로 가보기로. ~(cond1 | cond2 | cond3 | cond4): 각 조건에서 True인 데이터를 제외하고 조건에 맞지 않는 데이터를 남긴다. ~는 반전 연산자로 조건이 True인 데이터를 제외시키는 역할

Azure Portal을 사용하여 VM 부하를 분산하는 공용 부하 분산 장치 만들기 NAT 게이트웨이 만들기 기본 사항 공용 IP 설정 ![NAT 게이트웨이]

수업 때 강사님께서 제시해주신 버섯 분류 모델 실습을 수업이 끝나고서야 성공,, 복습이 아닌 나머지 학습은 참 오랜만이다. 나머지 학습이 끝났으니 복습을 다시 해야겠지. 데이터 준비 데이터 다운로드 데이터링크: 버섯데이터 링크에서 제공하는 버섯 데이터를 받아서 .da
blob storage랑 연동하는 부분에서 계속 에러가 나서 꽤 애를 먹었다.두 개의 필드를 사용: URL 저장용 숨김 필드(이게 없어서 에러가 났던)와 실제 파일 업로드용 필드Bootstrap 스타일 적용을 위한 'form-control' 클래스 추가파일 크기와 타입
AI 파트에서 넘겨준 ipynb 파일 Django에 통합하기.def generate_prompt_with_gpt4o(user_input): response = GPT_CLIENT.chat.completions.create( model="gpt-4o-m
AI 이미지 생성 관련 코드 통합
생성된 프롬프트가 어제 특정 작업 영역까지는 aigeneration DB에 저장되고 있었는데 언제부턴가 데이터베이스에 저장되지 않는 문제가 발생했다.어제 Blob Storage 업로드 시점을 변경하면서 generated prompt가 POST DB 쪽으로 넘어갔었던 것

기존에 있던 Comment 모델에 필요한 필드들을 추가했다. 이때 기존 DB 데이터를 유지하기 위해 새로 추가되는 필드들은 null을 허용하도록 설정했다.어제 DB를 날려먹은 뼈아픈 기억..댓글의 목록 조회와 작성을 위한 API 엔드포인트를 구현했다.

공개 갤러리의 이미지들을 전체화면 슬라이드쇼로 표시10초 간격 자동 전환마우스 움직임에 따른 UI 요소 자동 숨김/표시전체화면 모드 지원프레임 템플릿을 사용하지 않고 독립적인 전체화면 구현ESC 키 이벤트 처리 (전체화면 모드와 페이지 나가기 구분)이미지 비율 유지하면