문제 정수와 더하기, 빼기, 곱하기 기호로 이루어진 두 개의 수식 A, B가 주어진다. 주어지는 수식은 모두 올바른 수식이며, 구체적으로는 다음 조건들을 만족한다. 수식의 첫 문자와 마지막 문자는 항상 숫자이다. 수의 맨 첫 문자가 0인 경우는 없다. 예를 들어 03

한 변의 길이가 N인 정사각형 모양의 격자판이 있다. 이 격자판의 각 격자는 길이가 1일 때, 이 격자판의 크고 작은 정사각형의 개수는 총 몇 개일까?예를 들어 위 그림에서 보이는 한 변의 길이가 4인 정사각형 격자판에서 찾을 수 있는 크고 작은 정사각형은 총 30개이
N개의 10진수 정수가 주어진다. 플레이어에게 정수를 그냥 정렬하는 것은 너무 쉽기 때문에, 아래 기준에 따라 정수를 정렬하기로 한다.10진수 정수를 2진수로 나타냈을 때, 2진수에 포함된 1의 개수를 기준으로 내림차순 정렬한다. 1의 개수가 같다면, 원래 10진수를
구름이는 배열에 N개의 정수를 순서대로 넣으려고 한다. 이때 정수 중에서 숫자 문자열 K가 포함되어 있으면 배열에 넣지 않기로 한다. 정수는 순서대로 주어지며, i번째 제공되는 정수는 $a\_{i}$라고 한다.이때 포함되어 있다는 의미는 정수에 숫자 문자열 K가 순서대
구름스퀘어의 타운 홀은 다양한 행사를 진행할 수 있는 공간이다. 타운 홀에 N개의 행사가 예정되어 있다. i번째 행사는 시작 시간 $s{i}$와 종료시간 $e{i}$까지 진행하려고 하고, 행사끼리 진행하는 시간이 서로 겹치지 않게 가장 많은 행사를 여는 것이 목표이다.
부분 문자열(Substring)이란 하나의 문자열 내에 존재하는 연속된 문자로 구성된 문자열을 말한다. 예를 들어서 문자열 'abcd'에는 'a', 'b', 'c', 'd', 'ab', 'bc', 'cd', 'abc', 'bcd', 'abcd'와 같은 부분 문자열이 존
구름이는 8진수 계산기를 만들려고 한다. 8진수 계산기는 N개의 10진수 정수가 주어지면, 주어진 정수를 모두 더한 값을 8진수로 표시한다.구름이를 도와 8진수 계산기를 완성하고, N개의 10진수 정수가 주어졌을 때, 8진수 계산기의 계산 결과를 출력하시오. 첫째 줄에
가상의 배틀로얄 카 레이싱 대회 Dead or Arrive에 출전한 팀 모비스는 이 대회를 완주하기 위해 가장 안전한 차량을 만들려고 한다. 79GHz 코너 레이더와 ADAS 센서를 설치해 장애물과 경쟁자 차량을 피해 안전하게 결승선까지 도달할 수 있도록 하였다.하지만
구름-그라운드 게임에는 통증이라는 시스템이 있다. 통증 수치가 높다면 게임에서 승리하기 어려워지므로, 아이템을 적절히 사용해 통증 수치를 0으로 유지하는 것이 중요하다.게임 안에는 통증 수치를 감소시켜 주는 아이템이 3 종류가 있다. 아이템의 이름은 bandage,me
구름이는 주사위를 수집하는 취미를 가지고 있습니다. 구름이가 가지고 있는 N개의 주사위는 모두 크기가 달라서 한 변의 길이가 1인 주사위부터 N인 주사위까지 1개만 가지고 있습니다.이 때 구름이는 모든 주사위들의 부피를 합한 값을 알고 싶어 합니다. 구름이가 가지고 있
두 문자열이 주어졌을 때, 두 문자열에 모두 포함된 가장 긴 공통 부분 문자열을 찾는 프로그램을 작성하시오.어떤 문자열 s의 부분 문자열 t란, s에 t가 연속으로 나타나는 것을 말한다. 예를 들어, 문자열 ABRACADABRA의 부분 문자열은 ABRA, RAC, D,
피보나치 수는 0과 1로 시작한다. 0번째 피보나치 수는 0이고, 1번째 피보나치 수는 1이다. 그 다음 2번째 부터는 바로 앞 두 피보나치 수의 합이 된다.이를 식으로 써보면 $Fn = F{n-1} + F\_{n-2}$ $(n ≥ 2)$가 된다.n = 17일때 까지
평소 반상회에 참석하는 것을 좋아하는 주희는 이번 기회에 부녀회장이 되고 싶어 각 층의 사람들을 불러 모아 반상회를 주최하려고 한다.이 아파트에 거주를 하려면 조건이 있는데, “a층의 b호에 살려면 자신의 아래(a-1)층의 1호부터 b호까지 사람들의 수의 합만큼 사람들
춘향이는 편의점 카운터에서 일한다.손님이 2원짜리와 5원짜리로만 거스름돈을 달라고 한다. 2원짜리 동전과 5원짜리 동전은 무한정 많이 가지고 있다. 동전의 개수가 최소가 되도록 거슬러 주어야 한다. 거스름돈이 n인 경우, 최소 동전의 개수가 몇 개인지 알려주는 프로그램
달나라 토끼들이 사용하는 화폐는 동전뿐이다. 동전의 종류는 1원, 2원, 5원, 7원 이렇게 4종류가 있다. 물건을 사고 동전으로 계산을 하는데 동전의 개수가 최소가 되도록 지불하지 않는 것은 불법이다. 예를 들어, 17원을 지불할 때 7원짜리 동전 1개와 5원짜리 동
괄호 문자열(Parenthesis String, PS)은 두 개의 괄호 기호인 ‘(’ 와 ‘)’ 만으로 구성되어 있는 문자열이다. 그 중에서 괄호의 모양이 바르게 구성된 문자열을 올바른 괄호 문자열(Valid PS, VPS)이라고 부른다. 한 쌍의 괄호 기호로 된 “(
정수를 저장하는 스택을 구현한 다음, 입력으로 주어지는 명령을 처리하는 프로그램을 작성하시오.명령은 총 다섯 가지이다.push X: 정수 X를 스택에 넣는 연산이다.pop: 스택에서 가장 위에 있는 정수를 빼고, 그 수를 출력한다. 만약 스택에 들어있는 정수가 없는 경
이번 계절학기에 심리학 개론을 수강 중인 평석이는 오늘 자정까지 보고서를 제출해야 한다. 보고서 작성이 너무 지루했던 평석이는 노트북에 엎드려서 꾸벅꾸벅 졸다가 제출 마감 1시간 전에 깨고 말았다. 안타깝게도 자는 동안 키보드가 잘못 눌려서 보고서의 모든 글자가 A와
회문(回文) 또는 팰린드롬(palindrome)은 앞 뒤 방향으로 볼 때 같은 순서의 문자로 구성된 문자열을 말한다. 예를 들어 ‘abba’ ‘kayak’, ‘reviver’, ‘madam’은 모두 회문이다. 만일 그 자체는 회문이 아니지만 한 문자를 삭제하여 회문으로
다솜이는 0과 1로만 이루어진 문자열 S를 가지고 있다. 다솜이는 이 문자열 S에 있는 모든 숫자를 전부 같게 만들려고 한다. 다솜이가 할 수 있는 행동은 S에서 연속된 하나 이상의 숫자를 잡고 모두 뒤집는 것이다. 뒤집는 것은 1을 0으로, 0을 1로 바꾸는 것을 의
정수를 저장하는 큐를 구현한 다음, 입력으로 주어지는 명령을 처리하는 프로그램을 작성하시오.명령은 총 여섯 가지이다.push X: 정수 X를 큐에 넣는 연산이다.pop: 큐에서 가장 앞에 있는 정수를 빼고, 그 수를 출력한다. 만약 큐에 들어있는 정수가 없는 경우에는
겨울 방학에 달에 다녀온 상근이는 여름 방학 때는 화성에 갔다 올 예정이다. (3996번) 화성에서는 지구와는 조금 다른 연산자 @, %, 첫째 줄에 테스트 케이스의 개수 T가 주어진다. 다음 줄에는 화성 수학식이 한 줄에 하나씩 주어진다. 입력으로 주어지는 수는 정수
문자열 S를 입력받은 후에, 각 문자를 R번 반복해 새 문자열 P를 만든 후 출력하는 프로그램을 작성하시오. 즉, 첫 번째 문자를 R번 반복하고, 두 번째 문자를 R번 반복하는 식으로 P를 만들면 된다. S에는 QR Code "alphanumeric" 문자만 들어있다.
0보다 크거나 같고, 99보다 작거나 같은 정수가 주어질 때 다음과 같은 연산을 할 수 있다. 먼저 주어진 수가 10보다 작다면 앞에 0을 붙여 두 자리 수로 만들고, 각 자리의 숫자를 더한다. 그 다음, 주어진 수의 가장 오른쪽 자리 수와 앞에서 구한 합의 가장 오른
KOI 전자에서는 건강에 좋고 맛있는 훈제오리구이 요리를 간편하게 만드는 인공지능 오븐을 개발하려고 한다. 인공지능 오븐을 사용하는 방법은 적당한 양의 오리 훈제 재료를 인공지능 오븐에 넣으면 된다. 그러면 인공지능 오븐은 오븐구이가 끝나는 시간을 분 단위로 자동적으로
서로 다른 N개의 자연수의 합이 S라고 한다. S를 알 때, 자연수 N의 최댓값은 얼마일까?첫째 줄에 자연수 S(1 ≤ S ≤ 4,294,967,295)가 주어진다.첫째 줄에 자연수 N의 최댓값을 출력한다.서로 다른 자연수가 최대한 많이 더해져서 어떤 수가 되려면 당연
평소에 질문을 잘 받아주기로 유명한 중앙대학교의 JH 교수님은 학생들로부터 재귀함수가 무엇인지에 대하여 많은 질문을 받아왔다.매번 질문을 잘 받아주셨던 JH 교수님이지만 그는 중앙대학교가 자신과 맞는가에 대한 고민을 항상 해왔다.중앙대학교와 자신의 길이 맞지 않다고 생
김형택은 지금 몰래 Spider Solitaire(스파이더 카드놀이)를 하고 있다. 형택이는 이 게임을 이길 때도 있었지만, 질 때도 있었다. 누군가의 시선이 느껴진 형택이는 게임을 중단하고 코딩을 하기 시작했다. 의심을 피했다고 생각한 형택이는 다시 게임을 켰다. 그
승택이는 강을 건너려 한다.승택이는 수영을 못하기 때문에, 강에 놓인 징검다리를 밟고 건너갈 것이다.승택이는 수영은 못하지만 제자리뛰기는 정말 잘한다. 원하는 어느 곳으로든지 점프해서 바로 갈 수가 있다.승택이는 이제 강의 한쪽 변 앞에 서 있다.강엔 1번부터 시작해
n명이 입국심사를 위해 줄을 서서 기다리고 있습니다. 각 입국심사대에 있는 심사관마다 심사하는데 걸리는 시간은 다릅니다.처음에 모든 심사대는 비어있습니다. 한 심사대에서는 동시에 한 명만 심사를 할 수 있습니다. 가장 앞에 서 있는 사람은 비어 있는 심사대로 가서 심사
오늘도 서준이는 깊이 우선 탐색(DFS) 수업 조교를 하고 있다. 아빠가 수업한 내용을 학생들이 잘 이해했는지 문제를 통해서 확인해보자.N개의 정점과 M개의 간선으로 구성된 무방향 그래프(undirected graph)가 주어진다. 정점 번호는 1번부터 N번이고 모든
오늘도 서준이는 너비 우선 탐색(BFS) 수업 조교를 하고 있다. 아빠가 수업한 내용을 학생들이 잘 이해했는지 문제를 통해서 확인해보자.N개의 정점과 M개의 간선으로 구성된 무방향 그래프(undirected graph)가 주어진다. 정점 번호는 1번부터 N번이고 모든
상근이는 나무 M미터가 필요하다. 근처에 나무를 구입할 곳이 모두 망해버렸기 때문에, 정부에 벌목 허가를 요청했다. 정부는 상근이네 집 근처의 나무 한 줄에 대한 벌목 허가를 내주었고, 상근이는 새로 구입한 목재절단기를 이용해서 나무를 구할것이다.목재절단기는 다음과 같
사전에 알파벳 모음 'A', 'E', 'I', 'O', 'U'만을 사용하여 만들 수 있는, 길이 5 이하의 모든 단어가 수록되어 있습니다. 사전에서 첫 번째 단어는 "A"이고, 그다음은 "AA"이며, 마지막 단어는 "UUUUU"입니다.단어 하나 word가 매개변수로 주
우리 나라는 가족 혹은 친척들 사이의 관계를 촌수라는 단위로 표현하는 독특한 문화를 가지고 있다. 이러한 촌수는 다음과 같은 방식으로 계산된다. 기본적으로 부모와 자식 사이를 1촌으로 정의하고 이로부터 사람들 간의 촌수를 계산한다. 예를 들면 나와 아버지, 아버지와 할
체스판 위에 한 나이트가 놓여져 있다. 나이트가 한 번에 이동할 수 있는 칸은 아래 그림에 나와있다. 나이트가 이동하려고 하는 칸이 주어진다. 나이트는 몇 번 움직이면 이 칸으로 이동할 수 있을까?https://www.acmicpc.net/upload/imag

어떤 나라에는 1번부터 N번까지의 도시와 M개의 단방향 도로가 존재한다. 모든 도로의 거리는 1이다.이 때 특정한 도시 X로부터 출발하여 도달할 수 있는 모든 도시 중에서, 최단 거리가 정확히 K인 모든 도시들의 번호를 출력하는 프로그램을 작성하시오. 또한 출발 도시
$N$개의 정점과 $M$개의 간선으로 이루어진, 사이클이 없는 방향그래프(DAG)가 주어진다.투어리스트 곰곰이는 종종 이 그래프 위에서 여행을 떠난다. 투어리스트 곰곰이의 여행은 1번 정점에서 출발해 간선을 따라서 이동한다. 그러다가 더 이상 간선을 따라서 이동할 수

철수의 토마토 농장에서는 토마토를 보관하는 큰 창고를 가지고 있다. 토마토는 아래의 그림과 같이 격자모양 상자의 칸에 하나씩 넣은 다음, 상자들을 수직으로 쌓아 올려서 창고에 보관한다.창고에 보관되는 토마토들 중에는 잘 익은 것도 있지만, 아직 익지 않은 토마토들도 있
마법소녀인 마도카는 너무나도 고양이를 좋아하는 나머지 마법을 이용하여 고양이 $N$마리를 집에서 키우기로 결심했다!마도카는 한 번의 행동에서 다음 $2$가지 마법 중 하나를 선택하여 사용한다. 처음에는 마도카의 집에 고양이가 존재하지 않는다.생성 마법: 고양이 $1$마
N장의 카드가 일렬로 놓여있다. 각 카드에는 알파벳이 하나씩 적혀있다. 태욱이는 가장 왼쪽에 있는 카드부터 차례대로 한 장씩 가져올 수 있다. 가장 처음에 가져온 카드는 자신의 앞에 놓는다. 그다음부터는 가져온 카드를 자신의 앞에 놓인 카드들의 가장 왼쪽, 또는 가장
학교에서 그래픽스 수업을 들은 동준이는 수업시간에 들은 내용을 바탕으로 스마트폰 게임을 만들었다. 게임에는 총 N개의 레벨이 있고, 각 레벨을 클리어할 때 마다 점수가 주어진다. 플레이어의 점수는 레벨을 클리어하면서 얻은 점수의 합으로, 이 점수를 바탕으로 온라인 순위
민우는 비비의 신곡 <밤양갱>에 꽂혀 하루 종일 "달디달고 달디달고 달디달고... 달디단"이 머릿속을 맴돌고 있다.민우의 머릿속에선 daldidalgo가 총 $N$번 반복된 후, 반복이 완료되었다면 daldidan으로 끝나게 된다. 예를 들어 $N=3$이라면 민우
한국도로공사는 고속도로의 유비쿼터스화를 위해 고속도로 위에 N개의 센서를 설치하였다. 문제는 이 센서들이 수집한 자료들을 모으고 분석할 몇 개의 집중국을 세우는 일인데, 예산상의 문제로, 고속도로 위에 최대 K개의 집중국을 세울 수 있다고 한다.각 집중국은 센서의 수신
N개의 강의가 있다. 우리는 모든 강의의 시작하는 시간과 끝나는 시간을 알고 있다. 이때, 우리는 최대한 적은 수의 강의실을 사용하여 모든 강의가 이루어지게 하고 싶다.물론, 한 강의실에서는 동시에 2개 이상의 강의를 진행할 수 없고, 한 강의의 종료시간과 다른 강의의
수포자는 수학을 포기한 사람의 준말입니다. 수포자 삼인방은 모의고사에 수학 문제를 전부 찍으려 합니다. 수포자는 1번 문제부터 마지막 문제까지 다음과 같이 찍습니다.1번 수포자가 찍는 방식: 1, 2, 3, 4, 5, 1, 2, 3, 4, 5, ...2번 수포자가 찍는
Leo는 카펫을 사러 갔다가 아래 그림과 같이 중앙에는 노란색으로 칠해져 있고 테두리 1줄은 갈색으로 칠해져 있는 격자 모양 카펫을 봤습니다.Leo는 집으로 돌아와서 아까 본 카펫의 노란색과 갈색으로 색칠된 격자의 개수는 기억했지만, 전체 카펫의 크기는 기억하지 못했습
XX게임에는 피로도 시스템(0 이상의 정수로 표현합니다)이 있으며, 일정 피로도를 사용해서 던전을 탐험할 수 있습니다. 이때, 각 던전마다 탐험을 시작하기 위해 필요한 "최소 필요 피로도"와 던전 탐험을 마쳤을 때 소모되는 "소모 피로도"가 있습니다. "최소 필요 피로
한자리 숫자가 적힌 종이 조각이 흩어져있습니다. 흩어진 종이 조각을 붙여 소수를 몇 개 만들 수 있는지 알아내려 합니다.각 종이 조각에 적힌 숫자가 적힌 문자열 numbers가 주어졌을 때, 종이 조각으로 만들 수 있는 소수가 몇 개인지 return 하도록 soluti
n개의 송전탑이 전선을 통해 하나의 트리 형태로 연결되어 있습니다. 당신은 이 전선들 중 하나를 끊어서 현재의 전력망 네트워크를 2개로 분할하려고 합니다. 이때, 두 전력망이 갖게 되는 송전탑의 개수를 최대한 비슷하게 맞추고자 합니다.송전탑의 개수 n, 그리고 전선 정
돌 게임은 두 명이서 즐기는 재밌는 게임이다.탁자 위에 돌 N개가 있다. 상근이와 창영이는 턴을 번갈아가면서 돌을 가져가며, 돌은 1개 또는 3개 가져갈 수 있다. 마지막 돌을 가져가는 사람이 게임을 이기게 된다.두 사람이 완벽하게 게임을 했을 때, 이기는 사람을 구하
수열 A가 주어졌을 때, 가장 긴 감소하는 부분 수열을 구하는 프로그램을 작성하시오.예를 들어, 수열 A = {10, 30, 10, 20, 20, 10} 인 경우에 가장 긴 감소하는 부분 수열은 A = {10, 30, 10, 20, 20, 10} 이고, 길이는 3이다
수열 A가 주어졌을 때, 그 수열의 증가하는 부분 수열 중에서 합이 가장 큰 것을 구하는 프로그램을 작성하시오.예를 들어, 수열 A = {1, 100, 2, 50, 60, 3, 5, 6, 7, 8} 인 경우에 합이 가장 큰 증가하는 부분 수열은 A = {1, 100,
문제 오른쪽 그림과 같이 삼각형이 나선 모양으로 놓여져 있다. 첫 삼각형은 정삼각형으로 변의 길이는 1이다. 그 다음에는 다음과 같은 과정으로 정삼각형을 계속 추가한다. 나선에서 가장 긴 변의 길이를 k라 했을 때, 그 변에 길이가 k인 정삼각형을 추가한다. 파도반 수
정육면체 모양의 상자가 일렬로 늘어서 있다. 상자마다 크기가 주어져 있는데, 앞에 있는 상자의 크기가 뒤에 있는 상자의 크기보다 작으면, 앞에 있는 상자를 뒤에 있는 상자 안에 넣을 수가 있다. 예를 들어 앞에서부터 순서대로 크기가 (1, 5, 2, 3, 7)인 5개의
KOI 어린이집에는 N명의 아이들이 있다. 오늘은 소풍을 가는 날이다. 선생님은 1번부터 N번까지 번호가 적혀있는 번호표를 아이들의 가슴에 붙여주었다. 선생님은 아이들을 효과적으로 보호하기 위해 목적지까지 번호순서대로 일렬로 서서 걸어가도록 하였다. 이동 도중에 보니
수열 S가 어떤 수 Sk를 기준으로 $S1$ < $S_2$ < ... $S{k-1}$ < $Sk$ > $S{k+1}$ > ... $S\_{N-1}$ > $S_N$을 만족한다면, 그 수열을 바이토닉 수열이라고 한다.예를 들어, {10, 20, 30, 25
카카오에 입사한 신입 개발자 네오는 "카카오계정개발팀"에 배치되어, 카카오 서비스에 가입하는 유저들의 아이디를 생성하는 업무를 담당하게 되었습니다. "네오"에게 주어진 첫 업무는 새로 가입하는 유저들이 카카오 아이디 규칙에 맞지 않는 아이디를 입력했을 때, 입력된 아이
고객의 약관 동의를 얻어서 수집된 1~n번으로 분류되는 개인정보 n개가 있습니다. 약관 종류는 여러 가지 있으며 각 약관마다 개인정보 보관 유효기간이 정해져 있습니다. 당신은 각 개인정보가 어떤 약관으로 수집됐는지 알고 있습니다. 수집된 개인정보는 유효기간 전까지만 보
두 정수 X, Y의 임의의 자리에서 공통으로 나타나는 정수 k(0 ≤ k ≤ 9)들을 이용하여 만들 수 있는 가장 큰 정수를 두 수의 짝꿍이라 합니다(단, 공통으로 나타나는 정수 중 서로 짝지을 수 있는 숫자만 사용합니다). X, Y의 짝꿍이 존재하지 않으면, 짝꿍은
햄버거 가게에서 일을 하는 상수는 햄버거를 포장하는 일을 합니다. 함께 일을 하는 다른 직원들이 햄버거에 들어갈 재료를 조리해 주면 조리된 순서대로 상수의 앞에 아래서부터 위로 쌓이게 되고, 상수는 순서에 맞게 쌓여서 완성된 햄버거를 따로 옮겨 포장을 하게 됩니다. 상
환규와 태욱이는 둘이서 즐길 수 있는 간단한 게임인 탕수육 게임을 하기로 했다. 게임의 규칙은 다음과 같다.누가 먼저 시작할지 순서를 정한다.먼저 시작하는 사람이 단어의 가장 첫 글자를 말한다.이후 두 사람이 번갈아 가며 자신의 차례에 이전 사람이 말한 글자의 다음 글
79를 영어로 읽되 숫자 단위로 하나씩 읽는다면 "seven nine"이 된다. 80은 마찬가지로 "eight zero"라고 읽는다. 79는 80보다 작지만, 영어로 숫자 하나씩 읽는다면 "eight zero"가 "seven nine"보다 사전순으로 먼저 온다.문제는
영어 대소문자와 공백으로 이루어진 문자열이 주어진다. 이 문자열에는 몇 개의 단어가 있을까? 이를 구하는 프로그램을 작성하시오. 단, 한 단어가 여러 번 등장하면 등장한 횟수만큼 모두 세어야 한다.첫 줄에 영어 대소문자와 공백으로 이루어진 문자열이 주어진다. 이 문자열

ACM 호텔 매니저 지우는 손님이 도착하는 대로 빈 방을 배정하고 있다. 고객 설문조사에 따르면 손님들은 호텔 정문으로부터 걸어서 가장 짧은 거리에 있는 방을 선호한다고 한다. 여러분은 지우를 도와 줄 프로그램을 작성하고자 한다. 즉 설문조사 결과 대로 호텔 정문으로부
땅 위에 달팽이가 있다. 이 달팽이는 높이가 V미터인 나무 막대를 올라갈 것이다.달팽이는 낮에 A미터 올라갈 수 있다. 하지만, 밤에 잠을 자는 동안 B미터 미끄러진다. 또, 정상에 올라간 후에는 미끄러지지 않는다.달팽이가 나무 막대를 모두 올라가려면, 며칠이 걸리는지
두 개의 자연수를 입력받아 최대 공약수와 최소 공배수를 출력하는 프로그램을 작성하시오.첫째 줄에는 두 개의 자연수가 주어진다. 이 둘은 10,000이하의 자연수이며 사이에 한 칸의 공백이 주어진다.첫째 줄에는 입력으로 주어진 두 수의 최대공약수를, 둘째 줄에는 입력으로
N개의 수가 주어졌을 때, 이를 오름차순으로 정렬하는 프로그램을 작성하시오.첫째 줄에 수의 개수 N(1 ≤ N ≤ 10,000,000)이 주어진다. 둘째 줄부터 N개의 줄에는 수가 주어진다. 이 수는 10,000보다 작거나 같은 자연수이다.첫째 줄부터 N개의 줄에 오름
자연수(N)와 정수(K)가 주어졌을 때 이항 계수 $\\binom{N}{K}$를 구하는 프로그램을 작성하시오.첫째 줄에 N과 K가 주어진다. (1 ≤ N ≤ 10, 0 ≤ K ≤ N)$\\binom{N}{K}$를 출력한다.문제 자체는 쉽지만 이항 계수의 개념을 잊어버려
알파벳 소문자로 이루어진 N개의 단어가 들어오면 아래와 같은 조건에 따라 정렬하는 프로그램을 작성하시오.1\. 길이가 짧은 것부터2\. 길이가 같으면 사전 순으로단, 중복된 단어는 하나만 남기고 제거해야 한다.첫째 줄에 단어의 개수 N이 주어진다. (1 ≤ N ≤ 20
(앞부분의 산만하고 문제와 관련없는 포켓몬 상황극은 생략)오박사 : 그럼 다솜아 이제 진정한 포켓몬 마스터가 되기 위해 도감을 완성시키도록 하여라. 일단 네가 현재 가지고 있는 포켓몬 도감에서 포켓몬의 이름을 보면 포켓몬의 번호를 말하거나, 포켓몬의 번호를 보면 포켓몬
수 N개가 주어졌을 때, i번째 수부터 j번째 수까지 합을 구하는 프로그램을 작성하시오.첫째 줄에 수의 개수 N과 합을 구해야 하는 횟수 M이 주어진다. 둘째 줄에는 N개의 수가 주어진다. 수는 1,000보다 작거나 같은 자연수이다. 셋째 줄부터 M개의 줄에는 합을 구
비어있는 공집합 S가 주어졌을 때, 아래 연산을 수행하는 프로그램을 작성하시오.add x: S에 x를 추가한다. (1 ≤ x ≤ 20) S에 x가 이미 있는 경우에는 연산을 무시한다.remove x: S에서 x를 제거한다. (1 ≤ x ≤ 20) S에 x가 없는 경우에
정수 X에 사용할 수 있는 연산은 다음과 같이 세 가지 이다.X가 3으로 나누어 떨어지면, 3으로 나눈다.X가 2로 나누어 떨어지면, 2로 나눈다.1을 뺀다.정수 N이 주어졌을 때, 위와 같은 연산 세 개를 적절히 사용해서 1을 만들려고 한다. 연산을 사용하는 횟수의

신종 바이러스인 웜 바이러스는 네트워크를 통해 전파된다. 한 컴퓨터가 웜 바이러스에 걸리면 그 컴퓨터와 네트워크 상에서 연결되어 있는 모든 컴퓨터는 웜 바이러스에 걸리게 된다.예를 들어 7대의 컴퓨터가 <그림 1>과 같이 네트워크 상에서 연결되어 있다고 하자. 1
그래프를 DFS로 탐색한 결과와 BFS로 탐색한 결과를 출력하는 프로그램을 작성하시오. 단, 방문할 수 있는 정점이 여러 개인 경우에는 정점 번호가 작은 것을 먼저 방문하고, 더 이상 방문할 수 있는 점이 없는 경우 종료한다. 정점 번호는 1번부터 N번까지이다.첫째 줄
세준이는 양수와 +, -, 그리고 괄호를 가지고 식을 만들었다. 그리고 나서 세준이는 괄호를 모두 지웠다.그리고 나서 세준이는 괄호를 적절히 쳐서 이 식의 값을 최소로 만들려고 한다.괄호를 적절히 쳐서 이 식의 값을 최소로 만드는 프로그램을 작성하시오.첫째 줄에 식이
널리 잘 알려진 자료구조 중 최소 힙이 있다. 최소 힙을 이용하여 다음과 같은 연산을 지원하는 프로그램을 작성하시오.1\. 배열에 자연수 x를 넣는다.2\. 배열에서 가장 작은 값을 출력하고, 그 값을 배열에서 제거한다.프로그램은 처음에 비어있는 배열에서 시작하게 된다
널리 잘 알려진 자료구조 중 최대 힙이 있다. 최대 힙을 이용하여 다음과 같은 연산을 지원하는 프로그램을 작성하시오.1\. 배열에 자연수 x를 넣는다.2\. 배열에서 가장 큰 값을 출력하고, 그 값을 배열에서 제거한다.프로그램은 처음에 비어있는 배열에서 시작하게 된다.
방향 없는 그래프가 주어졌을 때, 연결 요소 (Connected Component)의 개수를 구하는 프로그램을 작성하시오.첫째 줄에 정점의 개수 N과 간선의 개수 M이 주어진다. (1 ≤ N ≤ 1,000, 0 ≤ M ≤ N×(N-1)/2) 둘째 줄부터 M개의 줄에 간
다음 소스는 N번째 피보나치 수를 구하는 C++ 함수이다.fibonacci(3)을 호출하면 다음과 같은 일이 일어난다.fibonacci(3)은 fibonacci(2)와 fibonacci(1) (첫 번째 호출)을 호출한다.fibonacci(2)는 fibonacci(1)
정수 4를 1, 2, 3의 합으로 나타내는 방법은 총 7가지가 있다. 합을 나타낼 때는 수를 1개 이상 사용해야 한다.1+1+1+11+1+21+2+12+1+12+21+33+1정수 n이 주어졌을 때, n을 1, 2, 3의 합으로 나타내는 방법의 수를 구하는 프로그램을 작
라그랑주는 1770년에 모든 자연수는 넷 혹은 그 이하의 제곱수의 합으로 표현할 수 있다고 증명하였다. 어떤 자연수는 복수의 방법으로 표현된다. 예를 들면, 26은 $5^2$과 $1^2$의 합이다; 또한 $4^2$ + $3^2$ + $1^2$으로 표현할 수도 있다. 역
루트 없는 트리가 주어진다. 이때, 트리의 루트를 1이라고 정했을 때, 각 노드의 부모를 구하는 프로그램을 작성하시오.첫째 줄에 노드의 개수 N (2 ≤ N ≤ 100,000)이 주어진다. 둘째 줄부터 N-1개의 줄에 트리 상에서 연결된 두 정점이 주어진다.첫째 줄부터
N×N개의 수가 N×N 크기의 표에 채워져 있다. (x1, y1)부터 (x2, y2)까지 합을 구하는 프로그램을 작성하시오. (x, y)는 x행 y열을 의미한다.예를 들어, N = 4이고, 표가 아래와 같이 채워져 있는 경우를 살펴보자.$$\\begin{bmatrix}
자연수 A를 B번 곱한 수를 알고 싶다. 단 구하려는 수가 매우 커질 수 있으므로 이를 C로 나눈 나머지를 구하는 프로그램을 작성하시오.첫째 줄에 A, B, C가 빈 칸을 사이에 두고 순서대로 주어진다. A, B, C는 모두 2,147,483,647 이하의 자연수이다.

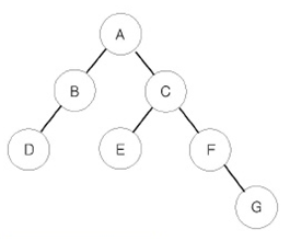
이진 트리를 입력받아 전위 순회(preorder traversal), 중위 순회(inorder traversal), 후위 순회(postorder traversal)한 결과를 출력하는 프로그램을 작성하시오.예를 들어 위와 같은 이진 트리가 입력되면,전위 순회한 결과 :

위 그림은 크기가 5인 정수 삼각형의 한 모습이다.맨 위층 7부터 시작해서 아래에 있는 수 중 하나를 선택하여 아래층으로 내려올 때, 이제까지 선택된 수의 합이 최대가 되는 경로를 구하는 프로그램을 작성하라. 아래층에 있는 수는 현재 층에서 선택된 수의 대각선 왼쪽 또
N개의 도시가 있다. 그리고 한 도시에서 출발하여 다른 도시에 도착하는 M개의 버스가 있다. 우리는 A번째 도시에서 B번째 도시까지 가는데 드는 버스 비용을 최소화 시키려고 한다. A번째 도시에서 B번째 도시까지 가는데 드는 최소비용을 출력하여라. 도시의 번호는 1부터

N줄에 0 이상 9 이하의 숫자가 세 개씩 적혀 있다. 내려가기 게임을 하고 있는데, 이 게임은 첫 줄에서 시작해서 마지막 줄에서 끝나게 되는 놀이이다.먼저 처음에 적혀 있는 세 개의 숫자 중에서 하나를 골라서 시작하게 된다. 그리고 다음 줄로 내려가는데, 다음 줄로
LCS(Longest Common Subsequence, 최장 공통 부분 수열)문제는 두 수열이 주어졌을 때, 모두의 부분 수열이 되는 수열 중 가장 긴 것을 찾는 문제이다.예를 들어, ACAYKP와 CAPCAK의 LCS는 ACAK가 된다.첫째 줄과 둘째 줄에 두 문자
이 문제는 아주 평범한 배낭에 관한 문제이다.한 달 후면 국가의 부름을 받게 되는 준서는 여행을 가려고 한다. 세상과의 단절을 슬퍼하며 최대한 즐기기 위한 여행이기 때문에, 가지고 다닐 배낭 또한 최대한 가치 있게 싸려고 한다.준서가 여행에 필요하다고 생각하는 N개의
수빈이는 동생과 숨바꼭질을 하고 있다. 수빈이는 현재 점 N(0 ≤ N ≤ 100,000)에 있고, 동생은 점 K(0 ≤ K ≤ 100,000)에 있다. 수빈이는 걷거나 순간이동을 할 수 있다. 만약, 수빈이의 위치가 X일 때 걷는다면 1초 후에 X-1 또는 X+1로
수빈이는 동생과 숨바꼭질을 하고 있다. 수빈이는 현재 점 N(0 ≤ N ≤ 100,000)에 있고, 동생은 점 K(0 ≤ K ≤ 100,000)에 있다. 수빈이는 걷거나 순간이동을 할 수 있다. 만약, 수빈이의 위치가 X일 때 걷는다면 1초 후에 X-1 또는 X+1로
상근이는 문자열에 폭발 문자열을 심어 놓았다. 폭발 문자열이 폭발하면 그 문자는 문자열에서 사라지며, 남은 문자열은 합쳐지게 된다.폭발은 다음과 같은 과정으로 진행된다.문자열이 폭발 문자열을 포함하고 있는 경우에, 모든 폭발 문자열이 폭발하게 된다. 남은 문자열을 순서
어떤 수열이 다른 수열의 부분 수열이라는 것은 다음을 의미합니다.해당 수열의 원소들이 다른 수열 내에서 순서대로 등장합니다.예를 들어, ${1,1,5}$는 ${3,\\underline{\\color{blue} 1} ,4,\\underline{\\color{blue} 1
N장의 카드가 있다. 각각의 카드는 차례로 1부터 N까지의 번호가 붙어 있으며, 1번 카드가 제일 위에, N번 카드가 제일 아래인 상태로 순서대로 카드가 놓여 있다.이제 다음과 같은 동작을 카드가 한 장 남을 때까지 반복하게 된다. 우선, 제일 위에 있는 카드를 바닥에
상근이는 요즘 설탕공장에서 설탕을 배달하고 있다. 상근이는 지금 사탕가게에 설탕을 정확하게 N킬로그램을 배달해야 한다. 설탕공장에서 만드는 설탕은 봉지에 담겨져 있다. 봉지는 3킬로그램 봉지와 5킬로그램 봉지가 있다.상근이는 귀찮기 때문에, 최대한 적은 봉지를 들고 가
숫자 카드는 정수 하나가 적혀져 있는 카드이다. 상근이는 숫자 카드 N개를 가지고 있다. 정수 M개가 주어졌을 때, 이 수가 적혀있는 숫자 카드를 상근이가 몇 개 가지고 있는지 구하는 프로그램을 작성하시오.첫째 줄에 상근이가 가지고 있는 숫자 카드의 개수 N(1 ≤ N
요세푸스 문제는 다음과 같다.1번부터 N번까지 N명의 사람이 원을 이루면서 앉아있고, 양의 정수 K(≤ N)가 주어진다. 이제 순서대로 K번째 사람을 제거한다. 한 사람이 제거되면 남은 사람들로 이루어진 원을 따라 이 과정을 계속해 나간다. 이 과정은 N명의 사람이 모
solved.ac는 Sogang ICPC Team 학회원들의 알고리즘 공부에 도움을 주고자 만든 서비스이다. 지금은 서강대뿐만 아니라 수많은 사람들이 solved.ac의 도움을 받아 알고리즘 공부를 하고 있다.ICPC Team은 백준 온라인 저지에서 문제풀이를 연습하는
어떤 자연수 N이 있을 때, 그 자연수 N의 분해합은 N과 N을 이루는 각 자리수의 합을 의미한다. 어떤 자연수 M의 분해합이 N인 경우, M을 N의 생성자라 한다. 예를 들어, 245의 분해합은 256(=245+2+4+5)이 된다. 따라서 245는 256의 생성자가
수를 처리하는 것은 통계학에서 상당히 중요한 일이다. 통계학에서 N개의 수를 대표하는 기본 통계값에는 다음과 같은 것들이 있다. 단, N은 홀수라고 가정하자.산술평균 : N개의 수들의 합을 N으로 나눈 값중앙값 : N개의 수들을 증가하는 순서로 나열했을 경우 그 중앙에

위의 그림과 같이 육각형으로 이루어진 벌집이 있다. 그림에서 보는 바와 같이 중앙의 방 1부터 시작해서 이웃하는 방에 돌아가면서 1씩 증가하는 번호를 주소로 매길 수 있다. 숫자 N이 주어졌을 때, 벌집의 중앙 1에서 N번 방까지 최소 개수의 방을 지나서 갈 때 몇 개
최근에는 새로운 기술 공부보다는 그동안 공부한 것을 복습하는 중이라 관련 포스팅을 하기 어려운데, 코딩 테스트 풀이는 매일 매일 하고 있으니 블로그가 코테 풀이로 도배되고 있다...until 이라는 새로운 블로그 플랫폼도 경험해 볼 겸 당분간은 아래 링크에서 코딩 테스
은하는 긴 막대에 $N$개의 과일이 꽂혀있는 과일 탕후루를 만들었습니다. 과일의 각 종류에는 $1$부터 $9$까지의 번호가 붙어있고, 앞쪽부터 차례로 $S_1, S_2, \\cdots, S_N$번 과일이 꽂혀있습니다. 과일 탕후루를 다 만든 은하가 주문을 다시 확인해보
RGB거리에는 집이 N개 있다. 거리는 선분으로 나타낼 수 있고, 1번 집부터 N번 집이 순서대로 있다.집은 빨강, 초록, 파랑 중 하나의 색으로 칠해야 한다. 각각의 집을 빨강, 초록, 파랑으로 칠하는 비용이 주어졌을 때, 아래 규칙을 만족하면서 모든 집을 칠하는 비
평소에 사이가 좋지 않던 성원이와 형석이가 드디어 제대로 한 판 붙으려고 한다. 성원이와 형석이 둘과 모두 똑같이 친한 인섭이가 대결 종목을 정해 가져왔다. 바로 '나무 탈출' 이라는 보드게임이다.'나무 탈출' 은 N개의 정점이 있는 트리 모양으로 생긴 게임판과 몇 개