
제곱했을때 양수가 되는수실수가 아닌수제곱했을때 음수인수.√-5 , √-3 실수 \* √-1 = 허수.실수 \* √-1 이 허수이기때문에, √-1 를 허수단위라고 부르며, i라고 표현한다.대소판별이 불가함i의 지수 규칙이처럼 i의 지수가 늘어나도 값이 일정하여 i의 지수
켤레복소수란? a + bi인 복소수에서, 허수부의 부호를 바꾼수 = a - biz + 𝑧¯ = 실수부 \* 2(3 + 2i) + (3 - 2i) = 6z𝑧¯ = 실수부^2 + 허수부^2(3 + 2i)(3 - 2i) = 3^2 - (2i)^2 = 9 - (-4) =
근의 공식(Quadratic Formula)은 이차 방정식의 해를 구하는 데 사용되는 공식입니다. 유도 과정 $ax^2 + bx + c = 0$ 양변을 a로 나눈다. $x^2 + \frac{b}{a}x + \frac{c}{a} = 0$ 상수항 $\frac{c}{a
복이차식 이란? 짝수차 항으로만 이루어진 식을 말한다.상수항은 0차니까 짝수차 항으로 취급한다.$x^4 + x^2 - 20$$x^4 + 6x^2 + 25$이때, $x^2$를 $t$로 치환해 풀면 인수분해 하기 쉬워진다.$x^4 + x^2 - 20$$t^2 + t - 2
조립제법이란? 다항식을 일차식 $x-a$ 로 나눌때 직접 나눗셈을 하지않고 다항식의 계수만을 이용해, 몫 과 나머지를 구하는 방법입니다.
$x^3 - 1 = 0$ 삼차방정식을 다르게 표현하면$x^3 - 1^3 = 0$ 이고, $(x-1)(x^2 + x + 1)$ 으로 인수분해 된다.$(x^2 + x + 1)$ 의 $D$는 0보다 작기때문에, 이차식은 허근을 갖는다.$(x^2 + x + 1)$의 한 허근을
$ax^2 + bx + c = 0, (a \\neq 0)$의 두근을 $\\alpha,\\beta$라 하면$\\alpha + \\beta = -\\frac{b}{a}$ , $\\alpha\\beta = \\frac{c}{a}$ $ax^2 + bx + c = 0$ 의 근을
$x > 0, b > 0$일때, $\\sqrt{x} ,\\sqrt{y}$ 또한 실수이다.제곱근 안의 수가 양수면 실수이기때문에$실수 - 실수 = 실수$ 이기때문에,$\\sqrt{x} - \\sqrt{y} = 실수$ 이다.그리고, $실수^2 >= 0$ 이기 때문에 그래서

x차함수는 x차식 으로 표현할수있다. $x차함수 = x차식$ 함수에 대응하는 수의 집합을 여러 점으로 나타낸것을 함수의 그래프 라고 부른다. 일차함수의 그래프는 직선이다. 그래서, 일차함수를 직선의 방정식 이라고 부른다. 일차함수는, $y = ax + b,(a \ne

$y = ax^2$ 형태로 표현할수있는 식을 이차함수라고 부른다.포물선 형태의 그래프가 그려진다.$y = ax^2$ 의 형태의 이차함수는 $(0,0)$ 의 점을 꼭짓점으로 갖는다.이 꼭짓점을 기준으로 대칭한다.이차항의 계수의 절댓값이 클수록 포물선이 좁아진다.이차항의
정비례 관계한 변수가 증가하면 다른 변수도 일정한 비율로 증가하는 관계를 의미합니다.$x$ 와 $y$의 정비례 관계를 $y = ax,(a \\neq 0)$로 표현할수있다.반비례 관계한 변수가 증가하면 다른 변수가 일정한 비율로 작아지는 관계를 의미합니다.$x$ 와 $y
모든 다각형은 삼각형으로 쪼개어 질수있다.두 도형을 포개었을때, 완전히 일치하는것SSS (Side-Side-Side, 삼변 합동)두 삼각형의 세 변의 길이가 모두 같을 때, 두 삼각형은 합동입니다.SAS (Side-Angle-Side, 두 변과 끼인 각 합동)두 삼각형

원의 둘레의 길이를 의미한다.원의 둘레 와 지름의 비율을 의미한다.$원주율 = \\frac{원의 \\:둘레의 \\:길이}{원의 \\:지름의 \\:길이}$$\\pi$ 기호로 표현한다.$3.14592...$ 로 순환하지 않는 무한소수이다.$\\pi r^2$

이등변삼각형은 두 변의 길이가 같은 삼각형이다.이등변삼각형의 두 밑각의 크기는 서로 같다.꼭지각을 이등분하는 선을 긋는다.나누어진 삼각형은 두 변의 길이와 끼인각의 크기가 같으므로 SAS합동이다.\*합동인 삼각형의 대응각인 B와 C은 같다.꼭지각의 이등분선은 밑변을 수

직각을 가진 삼각형직각을 마주보는 변두 직각삼각형은 빗변(Hypotenuse)의 길이와 한 예각의 크기가 같다면, 합동이다.두 삼각형은 두 각의 크기가 같다는건, 모든 각의 크기가 같다는 의미. 그렇기에, RHA합동 이전에 ASA합동이 성립한다.두 직각삼각형은 빗변의

삼각형을 밖에서 접하는 원외접원의 중심

두 쌍의 대변이 평행하는 사각형각 대변의 길이와 대각의 크기가 같다.두 대각선이 서로를 이등분한다.모든 각의 크기가 같은 사각형직사각형은 평행사변형이기에, 평행사변형의 모든 성질을 갖는다.두 대각선의 길이가 같다.모든 변의 길이가 같은 사각형마름모는 평행사변형이기에,

확대하거나 축소하면 서로 합동이 되는 관계$\\triangle ABC$와 $\\triangle DEF$가 닮은 관계라면, $\\triangle ABC \\sim \\triangle DEF$ 로 표기한다.닮은 관계의 두 도형은 대응각의 크기가 일정하고, 대응변의 길이의

삼각형안에 밑변과 평행하는 선을 그으면 닮음 관계의 삼각형인 생긴다.$\\overline{BC}$와 $\\overline{DE}$ 는 평행하기에, $\\triangle ABC$ 와$\\triangle ADE$ 는 닮음 관계이다. $\\angle B$ 와 $\\angle

평행한 세 직선이 다른 두 직선을 만날때, 선분의 길이 비가 같다.$\\overline{AB}$ : $\\overline{BC}$ = $\\overline{DE}$ : $\\overline{EF}$

$a : b = c:d$각의 이등분선을 기준으로 수선을 그린다.$\\square AED$ 와 $\\square AFD$ 은 RHA합동이 성립하므로 합동이다.$\\triangle ABD$ 와 $\\triangle ACD$의 넓이를 구할때, $\\overline{AB}$

삼각형의 한 꼭짓점과 그 대변의 중점을 연결하는 성분중점이란? 변을 이등분하는 점삼각형의 세 중선의 교점쪼개어진 삼각형들의 넓이가 모두 같다.$\\triangle ABM$ 과 $\\triangle ACM$은 넓이가 같다.$\\triangle ABM$ 의 넓이는 $a +

두 닮은 도형의 닮은비가 $m : n$ 이면,그림과 같은 도형을 그릴수있다.이때, 두 도형의 넓이의 비는 $m^2 : n^2$ 이다.작은 사각형의 넓이는 $ma \\times mb$ = $m^2ab$이고큰 사각형의 넓이는 $na \\times nb$ = $n^2ab$

그림과 같은 직각삼각형에서, 빗변의 길이의 제곱 = 나머지변의 제곱의 합이 성립한다.$a^2 + b^2 = c^2$합동인 직각삼각형을 돌려 그림과 같은 정사각형을 만들었다.정사각형의 넓이는 4개의 삼각형의 넓이 + $\\square EFGH$의 넓이이다.즉, $(a +
직각삼각형의 세변중 어느 두변의 길이의 비사인(sin)$\\frac{높이}{빗변}$ / 고개너머 직각코사인(cos)$\\frac{밑변}{빗변}$ / 기준각의 끼인변탄젠트(tan)$\\frac{높이}{밑변}$ / 바로 직각으로$tan = \\frac{sin}{cos}$

원 위의 한 점에서 그은 두현이 이루는 각$\\overset{\\frown}{AB}$의 원주각 $\\angle a$ , 중심각 $\\angle b$원주각은 중심각의 $1 : 2$ 비율로 비례한다.원주각이 $50^\\circ$ 이라면, 중심각은 $100^\\circ$ 이

안에서 나누는점밖에서 나누는점내분점은 선분안에 존재하고, 외분점은 선분밖에 존재한다.$P = \\frac{mx_2 + nx_1}{m+n}$$x-x_1 : x_2 - x = m : n$$m(x_2 - x) = n(x-x_1)$$mx_2 -mx = nx -nx_1$$mx_

한 점에서 만난다. = 교점이 1개라는 뜻평행한다. = 교점이 없다.일치한다. = 교점이 무수히 많다.두 직선이 평행하거나 일치한다면, 두 일차함수의 기울기는 같다.= 기울기가 다르다면, 한 점에서 만난다.기울기와 y절편이 같다면, 두 직선을 일치한다.두 일차함수의 기

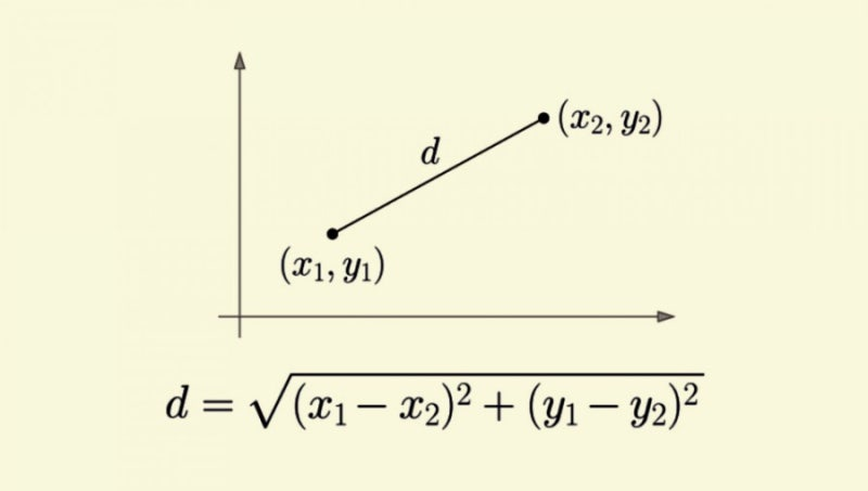
$d = \\sqrt{(x_2 - x_1)^2 + (y_2 - y_1)^2}$직선 y = ax + b 와 점(x_1,y_1)이 있다.직선과 수직으로 만나는 직선의 방정식은 $y = -\\frac{1}{a}x + c$ 이고,점($a',b'$)을 지나는 직선은 $y = -

$(y - a)^2 + (x - b)^2 = r^2$원을 지나는 점 $(a,b)$와 원의 중심$(x,y)$의 거리는 $\\sqrt{(x-a)^2 + (y-b)^2}$ 로 구할수있다.원의 중심부터 지나는 점까지의 거리는 반지름$(r)$ 이기때문에, $\\sqrt{(x-a
원 $x^2 + y^2 = r^2$ 와 직선 $y = mx + n$의 위치관계는 두 방정식을 연립하여 만든 이차방정식의 $D$로 알수 있다.$x^2 + y^2 = r^2$$x^2 + (mx + n)^2 = r^2$$x^2 + m^2x^2 + 2mnx + n^2 = r^

$y=mx \\pm r\\sqrt{m^2+1}$기울기가 $m$인 직선의 방정식은 $y = mx + b$원의 중심$(0,0)$ 과 직선 $y = mx + b$의 거리가 $r$과 같으면 원과 직선은 접한다.점과 직선의 거리공식으로 거리를 구하면, $\\frac{|b|}{\

역함수란? 함수의 정의역$(x)$ 과 치역$(y)$가 바뀐 함수이다.역함수는 $f^{-1}$ 로 표현한다.$f(x) = y$ 의 역함수 $f^{-1}(y) = x$일대일 대응인 함수만 역함수를 가질수 있다.$y = -3x + 2$인 함수가 있다.$y$ 와 $x$를 바꿔

통분한 셈을 분리하는것

유리함수는 다항함수와 분수함수로 구성된다.다항함수는 1차함수,2차함수 등등이고분수함수는 $y = 분수식$ 인 꼴이다.분수식이란? 기약분수인 상태에서, 분모에 미지수$x$가 포함된 식이다.$\\frac{a}{x}$분수함수는 쌍곡선의 형태를 가진다.점근선 점점 근접하는선$

무리식이란? 근호안에 미지수가 들어있는 식이다.ex) $\\sqrt{x-5},-\\sqrt{3x}$무리함수는 $y = a\\sqrt{bx}$ 인꼴인 함수이다.무리함수는 4개의 형상을 가질수 있다.$a$와 $b$의 부호에 따라 함수의 정의역과 치역이 결정된다.
$a,b,x,y$가 실수일때, $(a^2+b^2)(x^2+y^2) \ge (ax +by)^2$ 이 성립한다. 유도과정 식을 전개한다. $a^2x^2+a^2y^2+b^2x^2+b^2y^2 \ge a^2x^2 + 2axby + b^2y^2$ 모든 항을 좌변으로 이항하고
$(a+b)^2 - (a-b)^2 = 4ab$
$x + \\frac{1}{x} = t$$x^2 + \\frac{1}{x^2} = t^2 - 2$$x^3 + \\frac{1}{x^3} = t^3 - 3t$$x^4 + \\frac{1}{x^4} = (x^2)^2 + (\\frac{1}{x^2})^2 = (x^2 + \
나머지정리 다항식 $f(x)$를 일차식 $ax + b$로 나눈 나머지를 쉽게 구하는 공식 > $f(x) = (ax+b)Q(x) + R$ $f(-\frac{b}{a}) = R$ 유도과정 $f(x) \div (ax+b) = Q(x) ... R$ $f(x) = (ax + b)Q(x) + R$ > $f(x) = (ax + b)Q(x) + R$은 $x$ 에 대해 ...

실수나 복소수가 원점으로 부터 떨어진 거리를 나타내는 양수문자 $a$의 절댓값이 3이라면, $a$ 는 -3 혹은 3이다.문자로 나타낸 수는 부호를 정확히 알 수 없기 때문에, 양수인 경우, 음수인 경우를 모두 고려해야한다.
어떤 수를 제곱하여 되는 수제곱근(루트) 5 = $\\sqrt{5}$5의 제곱근 : $\\pm\\sqrt{5}$둘은 다르다.$(\\sqrt{3})^2 = 3$$(\\sqrt{-3})^2 = -3$제곱근의 제곱은 알맹이가 그대로 튀어 나오고$\\sqrt{3^2} = 3$
$ax^3 + bx^2 + cx + d = 0$ 의 근을 $a',b',c'$ 라고 할때$a(x - a')(x - b')(x - c') = 0$ 으로 표현할 수 있고,$a(x^3 -(a'+b'+c')x^2 + (a'b'+b'c'+a'c')x - a'b'c') = 0$$a
숫자나 기호를 직사각형 모양으로 배열한 것.m개의 행(row)과 n개의 열(column)로 이루어진 행렬을 m × n 행렬이라고 한다.ex) 2 × 3 행렬$$A = \\begin{pmatrix} 1 & 2 & 3 \\ 4 & 5 & 6 \\end{pmatrix}$$n
크기와 방향을 동시에 갖는 양화살표로 표기함길이가 크기를 의미하고, 방향은 방향을 의미함.두 벡터를 더하면 같은 자리끼리 더합니다.$$\\begin{pmatrix} 3 \\ 2 \\end{pmatrix} + \\begin{pmatrix} 1 \\ 4 \\end{pmat